收藏 分销(赏)

由牛顿莱布尼兹公式知计算定积分市公开课一等奖百校联赛特等奖课件.pptx

上传人:精**** 文档编号:3704717 上传时间:2024-07-15 格式:PPTX 页数:17 大小:384.85KB 下载积分:8 金币
下载 相关 举报
由牛顿莱布尼兹公式知计算定积分市公开课一等奖百校联赛特等奖课件.pptx_第1页
第1页 / 共17页
由牛顿莱布尼兹公式知计算定积分市公开课一等奖百校联赛特等奖课件.pptx_第2页
第2页 / 共17页


点击查看更多>>
资源描述
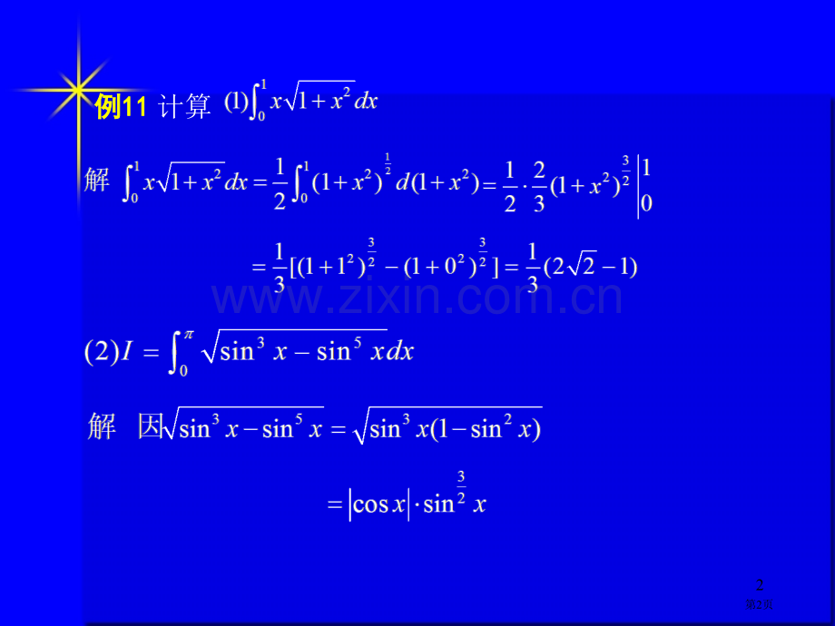
由牛顿莱布尼兹公式知:计算定积分 因用凑微分法计算不定积分时自始至终没有引入新变量,故用凑微分法计算定积分时,也应自始至终不改变积分限.下面举例说明.6.4 6.4 定积分计算方法定积分计算方法一一.凑微分法凑微分法第五章知求函数原函数(即不定积分)方法有凑微分法、换元法和分部积分法.因而在一定条件下,也可用这几个方法来计算定积分.关键在于求出(x)在a,b上一个原函数F(x);而由1第1页例例1111 计算2第2页3第3页(1)在,上单调连续且含有连续导数;(2)()=a,()=b,则二二.换元积分法换元积分法定理定理8 8 若(x)在a,b上连续,而 x=(t)又满足证证 设F(x)是(x)一个原函数,4第4页此式称为定积分换元公式.(3)求出在应用换元公式计算定积分时,应注意以下几个问题:(1)所选择代换式x=(t)必须满足定理中两个条件;(2)换元积分关键是换限.记住“上限对上限,下限对下限”;求不定积分那样把(t)还原成 x 函数,而只须直接将 t 上、下限代入相减即可.后,无须象5第5页例例12 12 当 a 0时,计算6第6页注注1 1 由几何意义知,此定积分即为圆7第7页在第象限面积.性质性质1 1 设(x)在a,a上连续,则证证 (1)若为(x)偶函数,则有(x)=(x)令x=t,则 d x=d t,且8第8页从而(2)若为(x)奇函数,则有(x)=(x)令x=t,则 d x=d t,且从而9第9页注注2 2 利用此结论可简化奇函数及偶函数在对称区间上利用此结论可简化奇函数及偶函数在对称区间上定积分计算定积分计算.例例1313 计算解 (1)被积函数为奇函数.则原式=0.令x=tanu,则(2)被积函数为偶函数,故10第10页例例14.14.设解 设x=t+2,则 t=x2,d x=d t11第11页性质性质2 2 设(x)在0,1上连续,则12第12页三三.分部积分法分部积分法定理定理9 9 若u=u(x)及v=v(x)在a,b上有连续导数,则13第13页证证 因d(uv)=udv+vdu,两边积分得注注3 3注注4 4 用分部积分法计算定积分用分部积分法计算定积分,因没有引入新变量因没有引入新变量,故故在计算过程中自始至终均不变限在计算过程中自始至终均不变限,u、v选择与不定积选择与不定积分分部积分法相同分分部积分法相同.例例15 15 计算14第14页15第15页16第16页例例16 16 设 在0,1上连续,求解 17第17页
展开阅读全文

开通  VIP会员、SVIP会员  优惠大
下载10份以上建议开通VIP会员
下载20份以上建议开通SVIP会员


开通VIP      成为共赢上传

当前位置:首页 > 教育专区 > 其他

移动网页_全站_页脚广告1

关于我们      便捷服务       自信AI       AI导航        抽奖活动

©2010-2026 宁波自信网络信息技术有限公司  版权所有

客服电话:0574-28810668  投诉电话:18658249818

gongan.png浙公网安备33021202000488号   

icp.png浙ICP备2021020529号-1  |  浙B2-20240490  

关注我们 :微信公众号    抖音    微博    LOFTER 

客服