收藏 分销(赏)

2026届江苏省苏州市震泽中学高一数学第一学期期末经典模拟试题含解析.doc

上传人:zj****8 文档编号:12794007 上传时间:2025-12-08 格式:DOC 页数:15 大小:1.22MB 下载积分:12.58 金币
下载 相关 举报
2026届江苏省苏州市震泽中学高一数学第一学期期末经典模拟试题含解析.doc_第1页
第1页 / 共15页
2026届江苏省苏州市震泽中学高一数学第一学期期末经典模拟试题含解析.doc_第2页
第2页 / 共15页


点击查看更多>>
资源描述
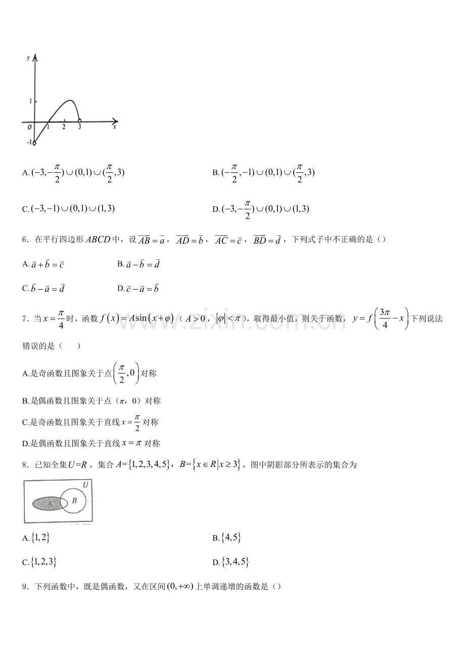
2026届江苏省苏州市震泽中学高一数学第一学期期末经典模拟试题 注意事项 1.考生要认真填写考场号和座位序号。 2.试题所有答案必须填涂或书写在答题卡上,在试卷上作答无效。第一部分必须用2B 铅笔作答;第二部分必须用黑色字迹的签字笔作答。 3.考试结束后,考生须将试卷和答题卡放在桌面上,待监考员收回。 一、选择题:本大题共10小题,每小题5分,共50分。在每个小题给出的四个选项中,恰有一项是符合题目要求的 1.已知且,则( ) A.有最小值 B.有最大值 C.有最小值 D.有最大值 2.已知,则=( ) A. B. C. D. 3.函数的零点个数为() A.0 B.1 C.2 D.3 4.为了得到函数的图像,只需把函数的图像上( ) A.各点的横坐标缩短到原来的倍,再向左平移个单位 B.各点的横坐标缩短到原来的倍,再向左平移个单位 C.各点的横坐标缩短到原来的2倍,再向左平移个单位 D.各点的横坐标缩短到原来的2倍,再向左平移个单位 5.如果函数是定义在上的奇函数,当时,函数的图象如图所示,那么不等式的解集是 A. B. C. D. 6.在平行四边形中,设,,,,下列式子中不正确的是() A. B. C. D. 7.当时,函数(,),取得最小值,则关于函数,下列说法错误的是( ) A.是奇函数且图象关于点对称 B.偶函数且图象关于点(π,0)对称 C.是奇函数且图象关于直线对称 D.是偶函数且图象关于直线对称 8.已知全集,集合,图中阴影部分所表示的集合为 A. B. C. D. 9.下列函数中,既是偶函数,又在区间上单调递增的函数是() A. B. C. D. 10.设.若存在,使得,则的最小值是() A.2 B. C.3 D. 二、填空题:本大题共6小题,每小题5分,共30分。 11.已知一个圆锥的母线长为1,其高与母线的夹角为45°,则该圆锥的体积为____________. 12.已知,,则____________ 13.已知函数=___________ 14.正实数a,b,c满足a + 2-a = 2,b + 3b = 3,c + = 4,则实数a,b,c之间的大小关系为_________ . 15.奇函数的定义域为,若在上单调递减,且,则实数的取值范围是________________ . 16.无论实数k取何值,直线kx-y+2+2k=0恒过定点__ 三、解答题:本大题共5小题,共70分。解答时应写出文字说明、证明过程或演算步骤。 17.已知函数. (1)求函数最大值及相应的的值; (2)求函数的单调增区间. 18.已知函数,其中,再从条件①、条件②、条件③这三个条件中选择两个作为已知.条件①:;条件②:的最小正周期为;条件③:的图象经过点 (1)求的解析式; (2)求的单调递增区间 19.已知为二次函数,且 (1)求的表达式; (2)设,其中,m为常数且,求函数的最值 20.如图,在平面四边形中,,,,,,于点E (1)求四边形面积的最大值; (2)求的取值范围 21.已知函数 (1)求的值 (2)求函数的最小正周期及其图像的对称轴方程 (3)对于任意,均有成立,求实数的取值范围 参考答案 一、选择题:本大题共10小题,每小题5分,共50分。在每个小题给出的四个选项中,恰有一项是符合题目要求的 1、A 【解析】根据,变形为,再利用不等式的基本性质得到,进而得到,然后由,利用基本不等式求解. 【详解】因为, 所以, 所以, 所以, 所以, 所以, 当且仅当时取等号, 故选:A. 【点睛】思路点睛:本题思路是利用分离常数法转化为,再由,利用不等式的性质构造,再利用基本不等式求解. 2、B 【解析】根据两角和的正切公式求出,再根据二倍角公式以及同角三角函数的基本关系将弦化切,代入求值即可. 【详解】解: 解得 故选: 【点睛】本题考查三角恒等变换以及同角三角函数的基本关系,属于中档题. 3、B 【解析】作出函数图像,数形结合求解即可. 【详解】解:根据题意,,故, 故函数与的图像如图, 由于函数与的图像只有一个交点, 所以方程有且只有一个实数根, 所以函数的零点个数为1个. 故选:B 4、B 【解析】各点的横坐标缩短到原来的倍,变为,再向左平移个单位,得到. 5、B 【解析】图1图2 如图1为f(x)在(-3,3)的图象,图2为y=cosx图象,要求得的解集,只需转化为在寻找满足如下两个关系的区间即可:,结合图象易知当时,,当时,,当时,,故选B. 考点:奇函数的性质,余弦函数的图象,数形结合思想. 6、B 【解析】根据向量加减法计算,再进行判断选择. 【详解】; ; ; 故选:B 【点睛】本题考查向量加减法,考查基本分析求解能力,属基础题. 7、C 【解析】根据正弦型函数的性质逐一判断即可. 【详解】因为当时,函数取得最小值, 所以,因为, 所以令,即,所以, 设, 因为, 所以函数是奇函数,因此选项B、D不正确; 因为,, 所以,因此函数关于直线对称,因此选项A不正确, 故选:C 8、A 【解析】由题意可知,阴影部分所表示的元素属于,不属于,结合所给的集合求解即可确定阴影部分所表示的集合. 【详解】由已知中阴影部分在集合中,而不在集合中,故阴影部分所表示的元素属于,不属于(属于的补集),即. 【点睛】本题主要考查集合表示方法,Venn图及其应用等知识,意在考查学生的转化能力和计算求解能力. 9、D 【解析】根据常见函数的单调性和奇偶性可直接判断出答案. 【详解】是奇函数,不满足题意; 的定义域为,是非奇非偶函数,不满足题意; 是非奇非偶函数,不满足题意; 是偶函数,且在区间上单调递增,满足题意; 故选:D 10、D 【解析】由题设在上存在一个增区间,结合、且,有必为的一个子区间,即可求的范围. 【详解】由题设知:,,又, 所以在上存在一个增区间,又, 所以,根据题设知:必为的一个子区间,即, 所以,即的最小值是. 故选:D. 【点睛】关键点点睛:结合题设条件判断出必为的一个子区间. 二、填空题:本大题共6小题,每小题5分,共30分。 11、## 【解析】由题可得,然后利用圆锥的体积公式即得. 【详解】设圆锥的底面半径为r,高为h,由圆锥的母线长为1,其高与母线的夹角为45°, ∴, ∴该圆锥的体积为. 故答案为:. 12、 【解析】,, 考点:三角恒等变换 13、2 【解析】, 所以 点睛:本题考查函数对称性的应用.由题目问题可以猜想为定值,所以只需代入计算,得.函数对称性的问题要大胆猜想,小心求证 14、## 【解析】利用指数的性质及已知条件求a、b的范围,讨论c的取值范围,结合对数的性质求c的范围 【详解】由, 由,又, 当时,,显然不成立; 当时,,不成立; 当时,; 综上,. 故答案为: 15、 【解析】因为奇函数的定义域为,若在上单调递减,所以在定义域上递减,且,所以 解得,故填. 点睛:利用奇函数及其增减性解不等式时,一方面要确定函数的增减性,注意奇函数在对称区间上单调性一致,同时还要注意函数的定义域对问题的限制,以免遗漏造成错误. 16、 【解析】由kx-y+2+2k=0,得(x+2)k+(2-y)=0,由此能求出无论实数k取何值,直线kx-y+2+2k=0恒过定点 【详解】∵kx-y+2+2k=0,∴(x+2)k+(2-y)=0, 解方程组,得 ∴无论实数k取何值,直线kx-y+2+2k=0恒过定点 故答案为: 三、解答题:本大题共5小题,共70分。解答时应写出文字说明、证明过程或演算步骤。 17、(1)时,;(2). 【解析】(1)利用倍角公式对函数进行化简得:,进而得到函数的最大值及对应的的值; (2)将代入的单调递增区间,即可得答案; 【详解】解:(1), 当,即时,; (2)由题意得:, 函数的单调增区间为. 【点睛】本题考查三角恒等变换、正弦函数的最值和单调区间,考查函数与方程思想、转化与化归思想,考查逻辑推理能力、运算求解能力. 18、(1)条件选择见解析,; (2)单调递增区间为,. 【解析】(1)利用三角恒等变换化简得出. 选择①②:由可求得的值,由正弦型函数的周期公式可求得的值,可得出函数的解析式; 选择②③:由正弦型函数的周期公式可求得的值,由可求得的值,可得出函数的解析式; 选择①③:由可求得的值,由结合可求得的值,可得出函数的解析式; (2)解不等式,可得出函数单调递增区间. 【小问1详解】 解:. 选择①②:因为,所以, 又因为的最小正周期为,所以,所以; 选择②③:因为的最小正周期为,所以,则, 又因为,所以,所以; 选择①③:因为,所以,所以 又因为,所以, 所以,又因为,所以,所以 【小问2详解】 解:依题意,令,, 解得,, 所以的单调递增区间为,. 19、(1) (2); 【解析】(1)利用待定系数法可求的表达式; (2)利用换元法结合二次函数的单调性可求函数的最值 【小问1详解】 设, 因为, 所以 整理的, 故有,即,所以. 【小问2详解】 ,设,故 又, ∵,所以,在为增函数, ∴即时,; 即时, 20、(1) (2) 【解析】(1)依题意可得,,再由,得到,,再根据,利用三角恒等变换化简,再根据正弦函数的性质计算可得; (2)依题意可得,再令,则,再根据二次函数的性质计算可得; 【小问1详解】 解:因为,,, 所以,. 又因为,所以, 则 因为,,所以, 当时,即时,S四边形ABCD最大值为 【小问2详解】 解: 设,则, 所以,则. 因为,,所以 而在单调递增, 可得的取值范围 21、(1)0; (2); (3). 【解析】(1)由三角函数的和差公式,倍角公式,辅助角公式化简原式,带入求值即可. (2)由化简后的表达式代入公式即可求的. (3)恒成立问题,第一步求出函数的单调区间,结合函数性质即可解得. 【小问1详解】 化简如下: . 【小问2详解】 由(1)可知,周期,对称轴. 【小问3详解】 ,所以任意,均有,解出函数的单调性增区间,,所以在递增,成立,递减,由对称性可知,所以,所以
展开阅读全文

开通  VIP会员、SVIP会员  优惠大
下载10份以上建议开通VIP会员
下载20份以上建议开通SVIP会员


开通VIP      成为共赢上传

当前位置:首页 > 教育专区 > 高中数学

移动网页_全站_页脚广告1

关于我们      便捷服务       自信AI       AI导航        抽奖活动

©2010-2025 宁波自信网络信息技术有限公司  版权所有

客服电话:0574-28810668  投诉电话:18658249818

gongan.png浙公网安备33021202000488号   

icp.png浙ICP备2021020529号-1  |  浙B2-20240490  

关注我们 :微信公众号    抖音    微博    LOFTER 

客服