收藏 分销(赏)

气体动理论作业答案.doc

上传人:仙人****88 文档编号:8518905 上传时间:2025-02-16 格式:DOC 页数:3 大小:117.50KB 下载积分:10 金币
下载 相关 举报
气体动理论作业答案.doc_第1页
第1页 / 共3页
气体动理论作业答案.doc_第2页
第2页 / 共3页


点击查看更多>>
资源描述
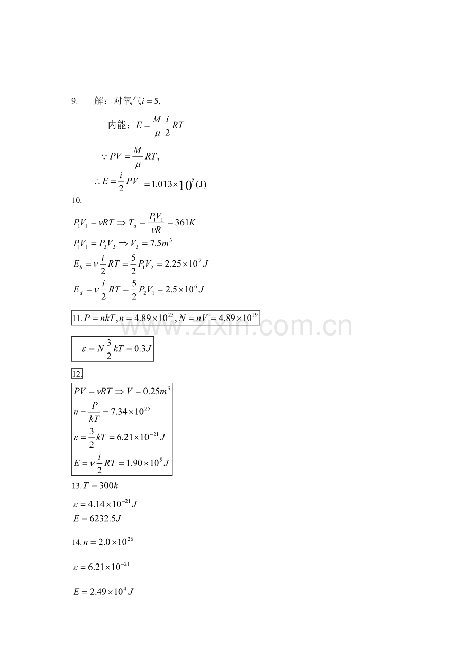
1. (1)表示理想气体分子每个自由度所具有的平均能量 (2)表示分子的平均平动动能 (3)表示自由度数为的分子的平均能量 (4)表示分子自由度数为的1mol理想气体的内能 (5)表示分子自由度数为的mol理想气体的内能 2.不能,因为温度是表征大量分子热运动激烈程度的宏观物理量,也就是说是大量分子热运动的集体表现,所以说温度是一个统计值,对单个分子说温度高低是没有意义的。 3.d 4.b 5.c 6. 7. 8. 9. 10. 11. 12. 13. 14. 15.
展开阅读全文

开通  VIP会员、SVIP会员  优惠大
下载10份以上建议开通VIP会员
下载20份以上建议开通SVIP会员


开通VIP      成为共赢上传

当前位置:首页 > 教育专区 > 小学其他

移动网页_全站_页脚广告1

关于我们      便捷服务       自信AI       AI导航        抽奖活动

©2010-2025 宁波自信网络信息技术有限公司  版权所有

客服电话:0574-28810668  投诉电话:18658249818

gongan.png浙公网安备33021202000488号   

icp.png浙ICP备2021020529号-1  |  浙B2-20240490  

关注我们 :微信公众号    抖音    微博    LOFTER 

客服