收藏 分销(赏)

三峡大学高等数学上期末模拟试卷2.doc

上传人:二*** 文档编号:4672001 上传时间:2024-10-09 格式:DOC 页数:3 大小:71.54KB 下载积分:5 金币
下载 相关 举报
三峡大学高等数学上期末模拟试卷2.doc_第1页
第1页 / 共3页
本文档共3页,全文阅读请下载到手机保存,查看更方便
资源描述
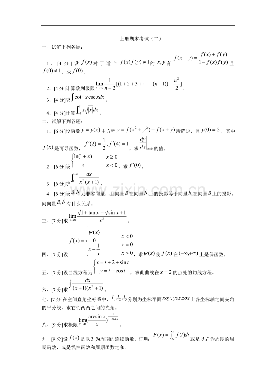
上册期末考试(二) 一、试解下列各题: 1.[4分]设对于适合的有且,求。 2.[4分]计算数列极限。 3.[4分]求。 4.[4分]计算。 二、试解下列各题: 1.[6分]设函数由方程所确定,且,其中是可导函数,,求的值。 2.[6分]设 ,求。 3.[6分]求。 4.[6分]设为非零向量,且向量在向量上的投影等于向量在向量上的投影。问向量有什么关系。 三、[7分]求。 四、[7分]设 ,求使在上是偶函数。 五、[7分]设曲线方程为,求此曲线在的点处的切线方程。 六、[7分]求。 七、[7分]在空间直角坐标系中,分别为坐标平面上各坐标轴之间夹角的平分线,求它们两两之间的夹角。 八、[9分]求极限。 九、[9分]设是以为周期的连续函数,证明:或是以为周期的周期函数,或是线性函数和周期函数之和。 十、[7分] 两厂在直河岸的同侧,沿河岸,离岸4公里,与相距5公里,今在河岸边建一水厂,从水厂到厂的每公里水管材料费是厂的倍,问水厂设在离厂多远才使两厂所耗总的水管材料费为最省? 参考答案: 一、1. 2. 3. 4. 二、1. 2. 3. 4.. 三、 四、 五、 六、 七、 八、 十、当时两厂所耗总的水管材料费最省。
展开阅读全文

开通  VIP会员、SVIP会员  优惠大
下载10份以上建议开通VIP会员
下载20份以上建议开通SVIP会员


开通VIP      成为共赢上传

当前位置:首页 > 教育专区 > 其他

移动网页_全站_页脚广告1

关于我们      便捷服务       自信AI       AI导航        抽奖活动

©2010-2026 宁波自信网络信息技术有限公司  版权所有

客服电话:0574-28810668  投诉电话:18658249818

gongan.png浙公网安备33021202000488号   

icp.png浙ICP备2021020529号-1  |  浙B2-20240490  

关注我们 :微信公众号    抖音    微博    LOFTER 

客服