收藏 分销(赏)

半导体物理学(第七版)课后习题解第1章习题解.doc

上传人:天**** 文档编号:4361717 上传时间:2024-09-13 格式:DOC 页数:5 大小:809.50KB 下载积分:6 金币
下载 相关 举报
半导体物理学(第七版)课后习题解第1章习题解.doc_第1页
第1页 / 共5页
半导体物理学(第七版)课后习题解第1章习题解.doc_第2页
第2页 / 共5页


点击查看更多>>
资源描述
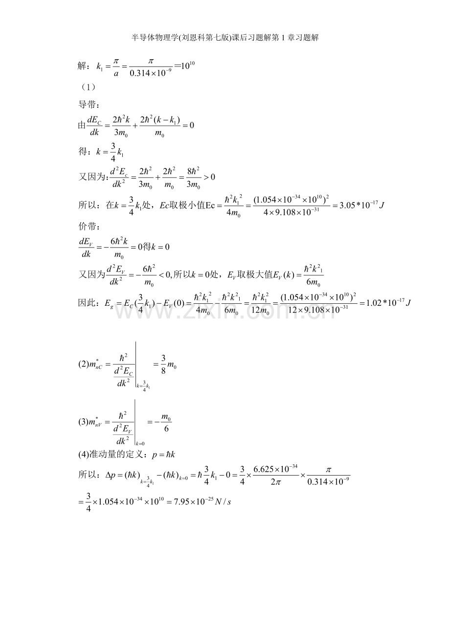
<p>半导体物理学(第七版)课后习题解第1章习题解 半导体物理学 第一章习题 (公式要正确显示,请安装字体MT extra) 1.设晶格常数为a的一维晶格,导带极小值附近能量Ec(k)和价带极大值附近能量EV(k)分别为: 1 2. 晶格常数为0.25nm的一维晶格,当外加102V/m,107 V/m的电场时,试分别计算电子自能带底运动到能带顶所需的时间。 3 &nbsp;1.设晶格常数为a的一维晶格,导带极小值附近能量Ec(k)和价带极大值附近能量EV(k)分别为: (1)禁带宽度; (2)导带底电子有效质量; (3)价带顶电子有效质量; (4)价带顶电子跃迁到导带底时准动量的变化 解: (1) 2. 晶格常数为0.25nm的一维晶格,当外加102V/m,107 V/m的电场时,试分别计算电子自能带底运动到能带顶所需的时间。 解:根据: &nbsp; 得 &nbsp; &nbsp; 补充题1 分别计算Si(100),(110),(111)面每平方厘米内的原子个数,即原子面密度(提示:先画出各晶面内原子的位置和分布图) Si在(100),(110)和(111)面上的原子分布如图1所示: &nbsp; &nbsp; &nbsp; (a)(100)晶面 &nbsp; &nbsp; &nbsp; &nbsp; &nbsp; &nbsp; &nbsp; &nbsp; &nbsp; &nbsp; &nbsp; &nbsp; (b)(110)晶面 (c)(111)晶面 &nbsp; &nbsp; &nbsp; 补充题2 &nbsp;一维晶体的电子能带可写为, 式中a为 晶格常数,试求 &nbsp; &nbsp; &nbsp; &nbsp; (1)布里渊区边界; &nbsp; &nbsp; &nbsp; &nbsp; (2)能带宽度; &nbsp; &nbsp; &nbsp; &nbsp; (3)电子在波矢k状态时的速度; &nbsp; &nbsp; &nbsp; &nbsp; (4)能带底部电子的有效质量; (5)能带顶部空穴的有效质量 解:(1)由 得 &nbsp; (n=0,±1,±2…) 进一步分析 ,E(k)有极大值, 时,E(k)有极小值 所以布里渊区边界为 (2)能带宽度为 (3)电子在波矢k状态的速度 (4)电子的有效质量 能带底部 &nbsp; 所以 (5)能带顶部 , 且, 所以能带顶部空穴的有效质量</p>
展开阅读全文

开通  VIP会员、SVIP会员  优惠大
下载10份以上建议开通VIP会员
下载20份以上建议开通SVIP会员


开通VIP      成为共赢上传

当前位置:首页 > 教育专区 > 其他

移动网页_全站_页脚广告1

关于我们      便捷服务       自信AI       AI导航        抽奖活动

©2010-2026 宁波自信网络信息技术有限公司  版权所有

客服电话:0574-28810668  投诉电话:18658249818

gongan.png浙公网安备33021202000488号   

icp.png浙ICP备2021020529号-1  |  浙B2-20240490  

关注我们 :微信公众号    抖音    微博    LOFTER 

客服