收藏 分销(赏)

高中数学解三角形知识点及历年各地高考真题汇总.doc

上传人:快乐****生活 文档编号:4306825 上传时间:2024-09-05 格式:DOC 页数:13 大小:1.46MB 下载积分:8 金币
下载 相关 举报
高中数学解三角形知识点及历年各地高考真题汇总.doc_第1页
第1页 / 共13页
高中数学解三角形知识点及历年各地高考真题汇总.doc_第2页
第2页 / 共13页


点击查看更多>>
资源描述
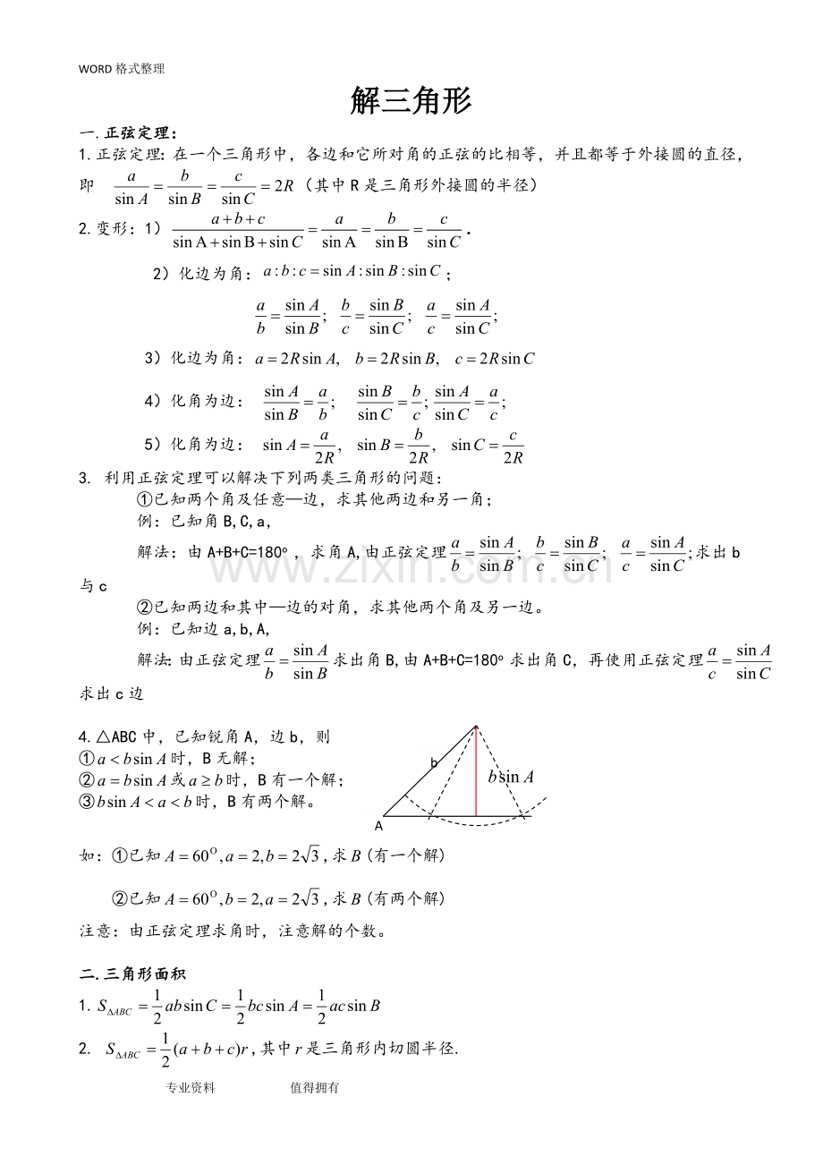
WORD格式整理 无忧数学 ——解三角形 (复习二) 专业资料 值得拥有 WORD格式整理 解三角形 一. 正弦定理: 1.正弦定理:在一个三角形中,各边和它所对角的正弦的比相等,并且都等于外接圆的直径,即 (其中R是三角形外接圆的半径) 2.变形:1). 2)化边为角:; 3)化边为角: 4)化角为边: 5)化角为边: 3. 利用正弦定理可以解决下列两类三角形的问题:     ①已知两个角及任意—边,求其他两边和另一角; 例:已知角B,C,a, 解法:由A+B+C=180o ,求角A,由正弦定理 求出b与c     ②已知两边和其中—边的对角,求其他两个角及另一边。 例:已知边a,b,A, 解法:由正弦定理求出角B,由A+B+C=180o 求出角C,再使用正弦定理求出c边 A b 4.△ABC中,已知锐角A,边b,则 ①时,B无解; ②或时,B有一个解; ③时,B有两个解。 如:①已知,求(有一个解) ②已知,求(有两个解) 注意:由正弦定理求角时,注意解的个数。 二.三角形面积 1. 2. ,其中是三角形内切圆半径. 3. , 其中, 4. ,R为外接圆半径 5.,R为外接圆半径 三.余弦定理 1.余弦定理:三角形中任何一边的平方等于其他两边平方的和减去这两边与它们夹角的余弦的积的2倍,即 2.变形: 注意整体代入,如: 3. 利用余弦定理判断三角形形状: 设、、是的角、、的对边,则: ①若,,所以为锐角 ②若 ③若, 所以为钝角,则是钝角三角形 3 利用余弦定理可以解决下列两类三角形的问题: 1) 已知三边,求三个角 2) 已知两边和它们的夹角,求第三边和其他两个角 四、应用题 1.已知两角和一边(如A、B、C),由A+B+C = π求C,由正弦定理求a、b. 2.已知两边和夹角(如a、b、c),应用余弦定理求c边;再应用正弦定理先求较短边所对的角,然后利用A+B+C = π,求另一角. 3.已知两边和其中一边的对角(如a、b、A),应用正弦定理求B,由A+B+C = π求C,再由正弦定理或余弦定理求c边,要注意解可能有多种情况. 4.已知三边a、b、c,应用余弦定理求A、B,再由A+B+C = π,求角C. 5.方向角一般是指以观测者的位置为中心,将正北或正南方向作为起始方向旋转到目 标的方向线所成的角(一般指锐角),通常表达成.正北或正南,北偏东××度, 北偏西××度,南偏东××度,南偏西××度. 6. 俯角和仰角的概念:在视线与水平线所成的角中,视线在水平线上 铅直线 水平线 视线 视线 仰角 俯角 方的角叫仰角,视线在水平线下方的角叫俯角.  五、 三角形中常见的结论 1) 三角形三角关系:A+B+C=180°;C=180°—(A+B); 2) 三角形三边关系: 两边之和大于第三边:,,; 两边之差小于第三边:,,; 3) 在同一个三角形中大边对大角: 4) 三角形内的诱导公式: 5) 两角和与差的正弦、余弦、正切公式 (1)sin(α±β)=sin αcos β±cos αsin β. (2)cos(α±β)=cos αcos β∓sin αsin β. (3)tan(α±β)=. 6) 二倍角的正弦、余弦、正切公式 (1)sin 2α=2sin αcos α. (2)cos 2α=cos2α-sin2α=2cos2α-1=1-2sin2α. (3) (4)tan 2α=. 7) 三角形的五心: 垂心——三角形的三边上的高相交于一点 重心——三角形三条中线的相交于一点 外心——三角形三边垂直平分线相交于一点 内心——三角形三内角的平分线相交于一点 旁心——三角形的一条内角平分线与其他两个角的外角平分线交于一点 解三角形高考真题及答案解析 1.(15北京理科)在中,,,,则 . 【答案】1 【解析】 试题分析: 考点:正弦定理、余弦定理 2.(15北京文科)在中,,,,则 . 【答案】 【解析】 试题分析:由正弦定理,得,即,所以,所以. 考点:正弦定理. 3.(15年广东理科)设的内角,,的对边分别为,,,若, ,,则 【答案】. 【考点定位】本题考查正弦定理解三角形,属于容易题. 4.(15年广东文科)设的内角,,的对边分别为,,.若,,,且,则( ) A. B. C. D. 【答案】B 【解析】 试题分析:由余弦定理得:,所以,即,解得:或,因为,所以,故选B. 考点:余弦定理. 5.(15年安徽理科) 在中,,点D在边上,,求的长。 6.(15年安徽文科)在中,,,,则 。 【答案】2 【解析】 试题分析:由正弦定理可知: 考点:正弦定理. 7.(15年福建理科)若锐角的面积为 ,且 ,则 等于________. 【答案】 【解析】 试题分析:由已知得的面积为,所以,,所以.由余弦定理得,. 考点:1、三角形面积公式;2、余弦定理. 8.(15年福建文科)若中,,,,则_______. 【答案】 【解析】 试题分析:由题意得.由正弦定理得,则, 所以. 考点:正弦定理. 10.(15年新课标2理科)∆ABC中,D是BC上的点,AD平分∠BAC,∆ABD是∆ADC面积的2倍。 (Ⅰ)求; (Ⅱ) 若=1,=求和的长. 11.(15年新课标2文科)△ABC中D是BC上的点,AD平分BAC,BD=2DC. (I)求 ; (II)若,求. 【答案】(I);. 考点:解三角形 12.(15年陕西理科) 的内角,,所对的边分别为,,.向量 与平行. (I)求; (II)若,求的面积. 【答案】(I);(II). 试题解析:(I)因为,所以, 由正弦定理,得 又,从而, 由于,所以 (II)解法一:由余弦定理,得 而 得,即 因为,所以. 故ABC的面积为. 考点:1、平行向量的坐标运算;2、正弦定理;3、余弦定理;4、三角形的面积公式. 13.(15年陕西文科)的内角所对的边分别为,向量与平行. (I)求; (II)若求的面积. 【答案】(I) ;(II) . 试题解析:(I)因为,所以 由正弦定理,得, 又,从而, 由于 所以 (II)解法一:由余弦定理,得 ,而,, 得,即 因为,所以, 故面积为. 解法二:由正弦定理,得 从而 又由知,所以 故 , 所以面积为. 考点:1.正弦定理和余弦定理;2.三角形的面积. 14.(15年天津理科)在 中,内角 所对的边分别为 ,已知的面积为 , 则的值为 . 【答案】 【解析】 试题分析:因为,所以, 又,解方程组得,由余弦定理得 ,所以. 考点:1.同角三角函数关系;2.三角形面积公式;3.余弦定理. 15.(15年天津文科)△ABC中,内角A,B,C所对的边分别为a,b,c,已知△ABC的面积为, (I)求a和sinC的值; (II)求 的值. 【答案】(I)a=8,;(II). 【解析】 考点:1.正弦定理、余弦定理及面积公式;2三角变换. 山水是一部书,枝枝叶叶的文字间,声声鸟鸣是抑扬顿挫的标点,在茂密纵深间,一条曲径,是整部书最芬芳的禅意。春风翻一页,桃花面,杏花眼,柳腰春细;夏阳读一页,蔷花满架,木槿锦绣、合欢幽香、蜀葵闲澹,一派峥嵘;秋风传一页,海棠妆欢,野菊淡姿,高远深邃;冬雪润一页,水仙临水一舞,腊梅素心磬口,向爱唱晚。 专业资料 值得拥有
展开阅读全文

开通  VIP会员、SVIP会员  优惠大
下载10份以上建议开通VIP会员
下载20份以上建议开通SVIP会员


开通VIP      成为共赢上传

当前位置:首页 > 考试专区 > 高考

移动网页_全站_页脚广告1

关于我们      便捷服务       自信AI       AI导航        抽奖活动

©2010-2025 宁波自信网络信息技术有限公司  版权所有

客服电话:0574-28810668  投诉电话:18658249818

gongan.png浙公网安备33021202000488号   

icp.png浙ICP备2021020529号-1  |  浙B2-20240490  

关注我们 :微信公众号    抖音    微博    LOFTER 

客服