收藏 分销(赏)

微分中值定理及其应用.doc

上传人:精**** 文档编号:2669908 上传时间:2024-06-04 格式:DOC 页数:10 大小:770.50KB 下载积分:8 金币
下载 相关 举报
微分中值定理及其应用.doc_第1页
第1页 / 共10页
微分中值定理及其应用.doc_第2页
第2页 / 共10页


点击查看更多>>
资源描述
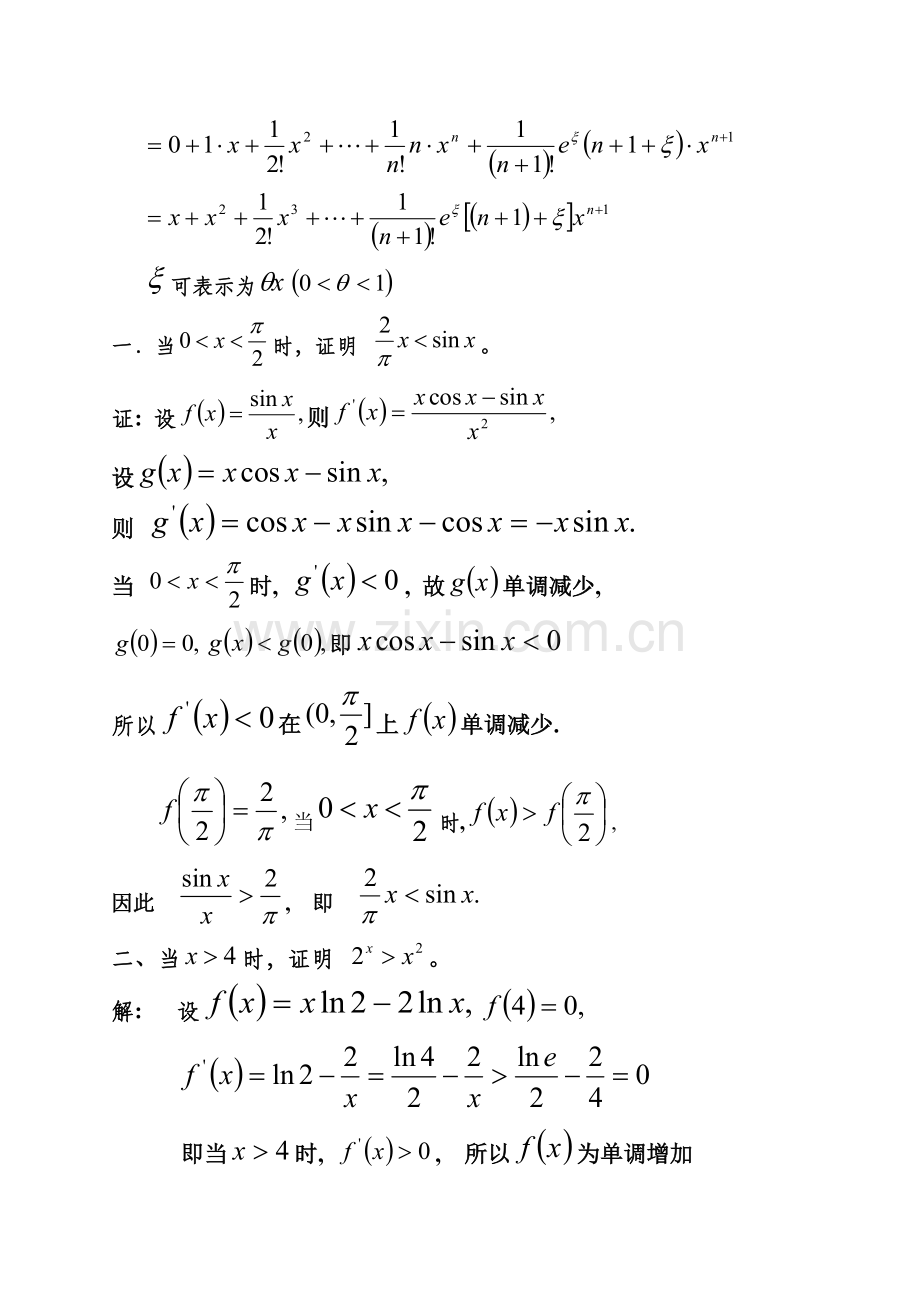
第3章微分中值定理及其应用 (第二讲泰勒公式、函数极值等) 一.应用麦克劳林公式,按乘幂展开函数。 解:是6次多项式, 计算出: 故 二.当时,求函数的阶泰勒公式。 解: (在和之间) 三.求函数的阶麦克劳林公式。 解: 可表示为 一.当时,证明。 证: 设则 设 则 当 时, , 故单调减少, 即 所以在上单调减少. 当时,, 因此 , 即 二、当时,证明。 解: 设 即当时, , 所以为单调增加, 即为增函数, 三.试证方程仅有一个实根。 解: 显然为方程的一个根又 时,单调增加, 在仅有一个零点.即方程仅有一个实根 五.在上存在二阶导数且,证明:(1)在内。(2)内至少存在一点,使得。 分析:(1)要证在上非零,用反证法更方便,若不然,至少有一个零点,则由的三个零点,可推出有2个零点,从而有一个零点与已知矛盾. (2)要证,即证方程有解,则取 从而可以证明结论. 证明:(1)反证法:若不然,则在内至少有一点,使得, 于是由已知在,上均满足罗尔定理条件, 因此,必存在,使得 进一步知在区间上满足罗尔定理的条件, 因此,必存在使得, 与已知矛盾。因此在上。 (2)设由已知, 在上连续可导,满足罗尔定理的条件, 因此,至少存在一点使得, 即:,也即 六.,且,试证 (1) 当时,; (2) 当时,。 分析:对于这种题显然用反证法 证明:(1)设当时,任意取一点 由导数的定义知: 将得: 因为当时,且 与条件相矛盾 所以假设不成立原命题成立即: 当时, (2)设当时,任意取一点由导数的定义知: 将得: 因为当时, 且所以 与条件相矛盾 所以假设不成立原命题成立即: 当时, 一、求函数的极值。 解:点导数不存在,而函数有意义 1 + 最大极值点 极大值: 二.试证明:如果函数 满足条件,那末这函数没有极值。 证明:,由条件,推出, 为二次三项式, 当时,, ,从而为单调增加 当时,, ,从而为单调减少 故无论对怎样的,在总是单调的, 在无极值。 二、 设 (1)讨论在处的连续性。 (2)取何值时取得极值。 解:(1)由连续的定义知: 所以.= 而 . 所以= 所以在处连续 (2)设 要使取得极值 则必须使在处取得极值. 设, 则 , 要使取得极值 则有 ,而 所以 , 因此, 所以. 所以当等于时,取得极值,由于 即为单调增函数 所以只要取得极值即可。所以当等于时取得极值。 三.利用函数的凹凸性,证明不等式 解:设,对, 由 知是上凹的, 所以对任意 有 即: 四.求函数的拐点。 解: , 当时,又当时,不存在但注意到时曲线上的对应点为边界点,因为曲线上的横坐标都大于等于0,所以点不能是拐点,故曲线上可能是拐点的点为时的点及时的点,经过验证二者都是拐点。 五问及为何值时,点为曲线的拐点? 解: 令得由于,在的领域内, 在的两侧变号,所以,这时对应的 要使为拐点,则 解得: 六.设二阶可导,若, 证明:。 证明:由导数的定义: , 应用麦克劳林公式将展开得: 因为,, 所以 (2)设互为反函数,,且均在上存在二阶导数,于是( )。 A若则; B 若则; C 若则; D 若则; 分析: 依题意,为奇函数,图形关于原点对称,对称点处曲线凸凹性相反,即二阶导数异号,因此A正确,故取A,而互为反函数的条件,函数曲线与的凸性关系与其单调性相关,在不明确单调性情况下,无法对C,D做判断。 (5)在内具有二阶导数,严格单调减少,且则( )。 A.在和内均有; B.在和内均有; C.在内,,在内, ; D. 在内,,在内,。 分析: 由几何直观考虑,如图,在处,切线为,且曲线上凸,从而知切线在曲线上方,即:,故取A (6)设在其定义域内具有二阶导数,则在定义域内( )。 A.若 ,也必有单调增加; B.若,也必有曲线是凹的; C.若,也必有恒为常数; D.连续。 分析: 由导数讨论函数性质,必须在区间上进行,如假设,在定义域内虽然有但非单调增,只在各自区间上单调增,又如,虽然在其定义域内有显然,由题意,在其定义域内任意点可导,必然连续,故选择D
展开阅读全文

开通  VIP会员、SVIP会员  优惠大
下载10份以上建议开通VIP会员
下载20份以上建议开通SVIP会员


开通VIP      成为共赢上传

当前位置:首页 > 包罗万象 > 大杂烩

移动网页_全站_页脚广告1

关于我们      便捷服务       自信AI       AI导航        抽奖活动

©2010-2026 宁波自信网络信息技术有限公司  版权所有

客服电话:0574-28810668  投诉电话:18658249818

gongan.png浙公网安备33021202000488号   

icp.png浙ICP备2021020529号-1  |  浙B2-20240490  

关注我们 :微信公众号    抖音    微博    LOFTER 

客服