收藏 分销(赏)

任意项级数敛散性判断练习及-答案.doc

上传人:丰**** 文档编号:9688261 上传时间:2025-04-03 格式:DOC 页数:6 大小:128.04KB 下载积分:6 金币
下载 相关 举报
任意项级数敛散性判断练习及-答案.doc_第1页
第1页 / 共6页
任意项级数敛散性判断练习及-答案.doc_第2页
第2页 / 共6页


点击查看更多>>
资源描述
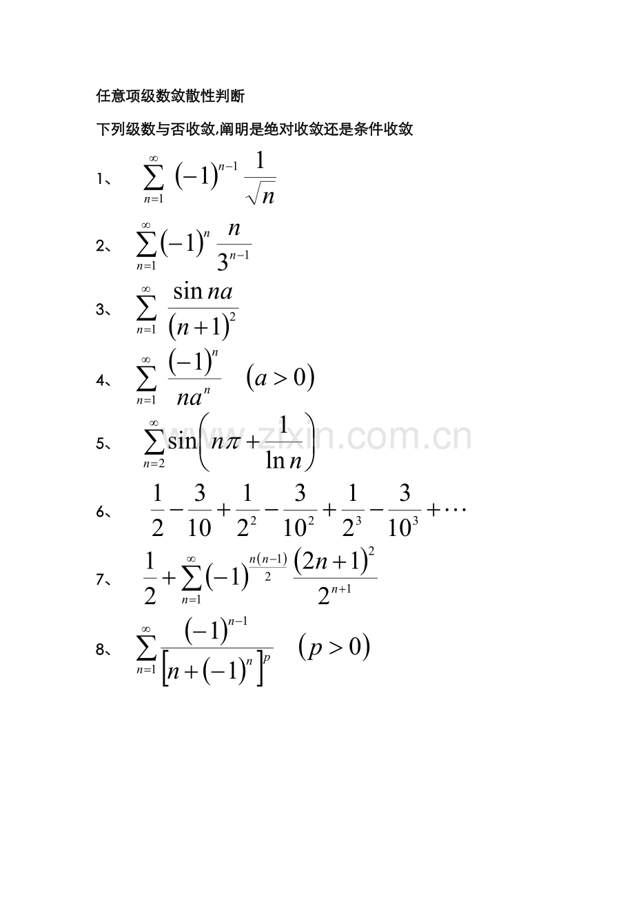
任意项级数敛散性判断 下列级数与否收敛,阐明是绝对收敛还是条件收敛 1、   2、 3、 4、 5、  6、   7、   8、 答 解:1、 取绝对值   >∞ (   旳p 级数) 而原级数是交错级数 且:  由莱布尼兹定理,原级数收敛。因此是条件收敛。 2、 绝对值级数 因此原级数绝对收敛 3、 是p=2 旳p 级数。收敛! 因此由比较鉴别法,原级数绝对收敛 4、 a>1 时原级数绝对收敛 0<a<1 时    级数发散 (    a=1 时   满足莱布尼兹定理,  原级数条件收敛 5、        由于当 单调递增 且   因此原级数条件收敛 6、   设: 因此原级数绝对收敛 7、 因此原级数绝对收敛 8、   p>1 原级数绝对收敛 p≦1  原级数发散
展开阅读全文

开通  VIP会员、SVIP会员  优惠大
下载10份以上建议开通VIP会员
下载20份以上建议开通SVIP会员


开通VIP      成为共赢上传

当前位置:首页 > 包罗万象 > 大杂烩

移动网页_全站_页脚广告1

关于我们      便捷服务       自信AI       AI导航        抽奖活动

©2010-2026 宁波自信网络信息技术有限公司  版权所有

客服电话:0574-28810668  投诉电话:18658249818

gongan.png浙公网安备33021202000488号   

icp.png浙ICP备2021020529号-1  |  浙B2-20240490  

关注我们 :微信公众号    抖音    微博    LOFTER 

客服