收藏 分销(赏)

自动搅拌潜水排污泵说明.doc

上传人:s4****5z 文档编号:8735433 上传时间:2025-02-28 格式:DOC 页数:14 大小:410KB 下载积分:10 金币
下载 相关 举报
自动搅拌潜水排污泵说明.doc_第1页
第1页 / 共14页
自动搅拌潜水排污泵说明.doc_第2页
第2页 / 共14页


点击查看更多>>
资源描述
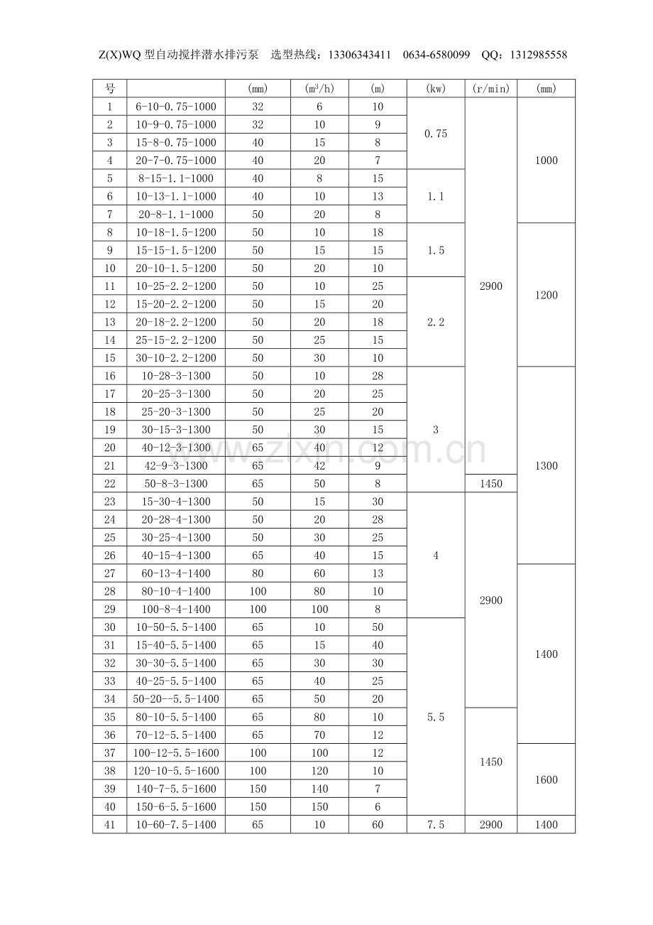
Z(X)WQ型自动搅拌潜水排污泵 选型热线:13306343411 0634-6580099 QQ:1312985558 Z(X)WQ型自动搅拌潜水排污泵 概述: Z(X)WQ型系列自动搅拌潜水排污泵是我公司在消化、吸收国内外同类产品先进技术、,广泛听取用户建议的基础上,经我单位科研人员多次试验成功的新型环保产品,其各项性能指标均达到国内外同类产品的先进水平,特别是其搅拌水池沉淀物的独特功效受到广大用户的欢迎和好评。 产品特点: 普通型潜水泵在运行时存在以下特点:污水池中的污水基本处于静止状态,随着污水的排入,污蔑物逐渐沉积在水池的底部,而这些沉积物在水泵正常运行时单靠进水口的吸水力不可能随污水排放出去,因此污物在池底愈积愈多,最后导致影响水泵的正常工作。工程单位要定期清理污水池,造成人力和物力的浪费。我公司生产的Z(X)WQ型排污泵,是在泵的下方安装了一个用于搅拌的叶轮,随着泵的旋转,带动搅拌叶轮高速旋转,从而把池子底部的沉积物搅动起来,使之与水混为一体,随水排出。也可与耦合装置配用,使安装、维修更快捷方便。 使用条件: 1、介质温度不超过60℃,介质密度小于1.2×103Kg/m3,PH值4-9。 2、电压380V,频率50HZ,三相交流电源。 主要用途: 1、厨房废水、生活污水 2、地下汽车库 3、市政工程、建筑工程 4、住宅区的污水排放 5、城市污水处理厂排放系统 6、养殖场、化粪池 型号意义: 50 Z(X)WQ 10—20—2.2—1200 Z(X)WQ型自动搅拌潜水排污泵性能表 序号 型号 排出口径 (mm) 额定流量 (m3/h) 额定扬程 (m) 电机功率 (kw) 转速 (r/min) 搅拌直径 (mm) 1 6-10-0.75-1000 32 6 10 0.75 2900 1000 2 10-9-0.75-1000 32 10 9 3 15-8-0.75-1000 40 15 8 4 20-7-0.75-1000 40 20 7 5 8-15-1.1-1000 40 8 15 1.1 6 10-13-1.1-1000 40 10 13 7 20-8-1.1-1000 50 20 8 8 10-18-1.5-1200 50 10 18 1.5 1200 9 15-15-1.5-1200 50 15 15 10 20-10-1.5-1200 50 20 10 11 10-25-2.2-1200 50 10 25 2.2 12 15-20-2.2-1200 50 15 20 13 20-18-2.2-1200 50 20 18 14 25-15-2.2-1200 50 25 15 15 30-10-2.2-1200 50 30 10 16 10-28-3-1300 50 10 28 3 1300 17 20-25-3-1300 50 20 25 18 25-20-3-1300 50 25 20 19 30-15-3-1300 50 30 15 20 40-12-3-1300 65 40 12 21 42-9-3-1300 65 42 9 22 50-8-3-1300 65 50 8 1450 23 15-30-4-1300 50 15 30 4 2900 24 20-28-4-1300 50 20 28 25 30-25-4-1300 50 30 25 26 40-15-4-1300 65 40 15 27 60-13-4-1400 80 60 13 1400 28 80-10-4-1400 100 80 10 29 100-8-4-1400 100 100 8 30 10-50-5.5-1400 65 10 50 5.5 31 15-40-5.5-1400 65 15 40 32 30-30-5.5-1400 65 30 30 33 40-25-5.5-1400 65 40 25 34 50-20--5.5-1400 65 50 20 35 80-10-5.5-1400 65 80 10 1450 36 70-12-5.5-1400 65 70 12 37 100-12-5.5-1600 100 100 12 1600 38 120-10-5.5-1600 100 120 10 39 140-7-5.5-1600 150 140 7 40 150-6-5.5-1600 150 150 6 41 10-60-7.5-1400 65 10 60 7.5 2900 1400 42 20-50-7.5-1400 65 20 50 43 30-40-7.5-1400 65 30 40 44 40-30-7.5-1400 65 40 30 45 50-25-7.5-1400 65 50 25 46 80-20-7.5-1600 100 80 20 1450 1600 47 100-15-7.5-1600 100 100 15 48 150-10-7.5-1600 100 150 10 49 200-8-7.5-1600 150 200 8 50 210-7-7.5-1600 150 210 7 51 38-50-11-1400 65 38 50 11 2900 1400 52 50-45-11-1400 65 50 45 53 80-30-11-1600 100 80 30 1600 54 100-22-11-1600 100 100 22 55 160-15-11-1600 150 160 15 1450 56 200-10-11-1600 150 200 10 57 300-7-11-1600 150 300 7 58 20-75-15-1400 65 20 75 15 2900 1400 59 30-60-15-1400 65 30 60 60 50-50-15-1400 65 50 50 61 80-35-15-1600 100 80 35 1600 62 87-28-15-1600 100 87 28 63 100-25-15-1600 150 100 25 1450 64 150-20-15-1600 150 150 20 65 200-15-15-1600 150 200 15 66 300-9-15-1600 150 300 9 JDWQ型绞刀切割潜水排污泵 概述: JDWQ型系列绞刀切割潜水排污泵是我公司在消化、吸收国内外同类产品先进技术,广泛听取用户建议的基础上,经我单位科研人员多次试验成功的新型环保产品,其各项性能指标均达到国内外同类产品先进水平,特别是其切割撕裂抗堵塞功效受到广大用户的欢迎和好评。 产品特点: 独特的叶轮设计,使水泵本身具有把纤维物、杂物切割功能,同时水泵独特的叶轮流道设计具有极高的过流能力,在排送固体颗粒和长纤维拉圾方面,具有独特功效。 采用多项新技术抗堵塞撕裂结构,能够有效地保证棉纱、杂草、塑料编织袋、纤维等顺利绞碎通过,作为抽送生活污水和商业、工厂严重污染废水的工具,可供矿山建设、市政工程、医院、宾馆、厨房污水、化粪池、沼气池等的污水杂物的排放,也利用于采油、农田排灌等。 使用条件: 1、介质温度不超过50℃,介质密度小于1.2×103Kg/m3,PH值4-9。 2、电压380V,频率50HZ,三相交流电源。 主要用途: 1、厨房废水、生活污水 2、地下汽车库 3、市政工程、建筑工程 4、住宅区的污水排放 5、城市污水处理厂排放系统 6、养殖场、化粪池 型号意义: JDWQ型绞刀切割潜水排污泵 序号 型号 排出口径 (mm) 额定流量 (m3/h) 额定扬程 (m) 电机功率 (kw) 转速 (r/min) 通过颗粒最大直径(mm) 1 JDWQ6-10-0.75 32 6 10 0.75 2900 5 2 10-9-0.75 10 9 3 15-8-0.75 40 15 8 4 20-7-0.75 20 7 5 8-15-1.1 8 15 1.1 6 10-13-1.1 10 13 7 20-8-1.1 50 20 8 8 10-18-1.5 10 18 1.5 8 9 15-15-1.5 15 15 10 20-10-1.5 20 10 11 10-25-2.2 10 25 2.2 10 12 15-20-2.2 15 20 13 20-18-2.2 20 18 14 25-15-2.2 25 15 15 30-10-2.2 30 10 16 10-28-3 10 28 3 17 20-25-3 20 25 12 18 25-20-3 25 20 19 30-15-3 30 15 20 40-12-3 65 40 12 21 42-9-3 42 9 15 22 50-8-3 50 8 1450 15 23 15-30-4 50 15 30 4 2900 20 24 20-28-4 20 28 25 30-25-4 30 25 26 40-15-4 65 40 15 15 27 60-13-4 80 60 13 28 80-10-4 100 80 10 29 100-8-4 100 8 8 30 10-50-5.5 65 10 50 5.5 31 15-40-5.5 15 40 32 30-30-5.5 30 30 33 40-25-5.5 40 25 34 50-20-5.5 50 20 35 80-10-5.5 80 10 1450 30 36 70-12-5.5 70 12 37 100-12-5.5 100 100 12 35 38 120-10-5.5 120 10 39 140-7-5.5 150 140 7 40 40 150-6-5.5 150 6 41 10-60-7.5 65 10 60 7.5 2900 8 42 20-50-7.5 20 50 43 30-40-7.5 30 40 10 44 40-30-7.5 40 30 12 45 50-25-7.5 50 25 15 46 80-20-7.5 100 80 20 1450 35 47 100-15-7.5 100 15 48 150-10-7.5 150 150 10 40 49 200-8-7.5 200 8 50 210-7-7.5 210 7 51 38-50-11 65 38 50 11 2900 12 52 50-45-11 50 45 53 80-30-11 100 80 30 15 54 100-22-11 100 22 55 160-15-11 150 160 15 1450 35 56 200-10-11 200 10 57 300-7-11 300 7 40 58 20-75-15 65 20 75 15 2900 5 59 30-60-15 30 60 60 50-50-15 50 50 10 61 80-35-15 100 80 35 16 62 87-28-15 87 28 20 63 100-25-15 100 25 1450 64 150-20-15 150 150 20 40 65 200-15-15 200 15 66 300-9-15 300 9 使用及注意事项 1、电泵(电机)起吊安装时,电缆线不能强拉或当吊装绳用。 2、电泵启动运转电压为380伏三相电源,接地线应可靠牢固,信号电缆线接线准确。 3、电泵必须应外配电器过热保护器,过载保护或漏电保护。 4、在运转前用1000伏兆欧表检查电机定子绕组对地绝缘电阻,不得小于100兆欧。 5、电泵必须先对应具体条件(排高、管径、管长)确定该泵在使用范围内方可使用,若扬程超过额定值则出水少或不出水。 6、不同规格的电泵有不同的使用范围,电泵应在规定额定流量点0.7~1.2倍范围内效果最佳,否则过高出水少或不出水,扬程过低、流量增大,会容易使电机烧毁。 7、高扬程的电泵应配闸阀,它的作用是控制扬程、流量以免扬程过低、流量增大、功率增大、功率增大容易烧毁电机。 8、高扬程的电泵应配逆止阀,以免停泵时出现水锤现象,造成电泵损坏。 9、电泵在使用时,应将电缆保护好,严禁砸碰和碾踏,电缆破裂容易进水造成电机无法工作或者电机烧毁。 10、电泵使用时,如反转则少出水甚至不出水,应停机调换三相芯线中任意二相接头位置,使旋转方向正确。 11、电泵使用时必须潜入水中,否则电机起不到冷却作用容易烧毁电机,电泵潜入水下深度不超过5m。 泵的选型 当您需购买污水污物潜水电泵时,或许不知如何选择电泵的流量和扬程才能够符合您所在的施工现场要求的型号。在此我们作一简单说明: 电泵铭牌上或性能参数表中所列的流量叫做“额定流量”,此时所对应的扬程是“额定扬程”(此时电泵效率最高)。对一台电泵而言,扬程并不是一常数,当电泵转速不变时,扬程一般随着流量的增大而减少,而电泵的轴功率及电动机的电流则随着电泵流量的增大而增大,如果超过额定电流的1.2倍,则容易烧坏电动机。 流量是电泵在单位时间内输送出去的液体量,而扬程是电泵所输送的单位重量流体从电泵进水口处(电泵进口法兰)到电泵出水口处(电泵出水口法兰)能量的增值,其单位是m,即电泵输送液体的液柱高度,习惯简称为“米”。这一点对用户来说,正确的选择电泵的扬程不但对电泵的寿命至关重要,而且会直接影响用户的费用支出。 在选择电泵扬程时,必须净扬程(H净)和所需扬程(H需)的概念以及它们与电泵扬程(H)的关系。净扬程又叫实际扬程、几何扬程、地形扬程等,是指进水池的水面到出水池水面的垂直距离(对自由出流指的是水管出口中心的距离),即通常所说的实际扬程高度。 在矿山斜坡或有斜坡的农田排灌中,净扬程不能直接量出,一般只知道坡度α和长度L,那么H净=L·sinα。 例如:坡长L=100米,坡度α=20°,从三角函数表中可查出sin20°=0.342,这时H净=100×0.342=34.2米。为方便用户下表列出了常见有斜坡度正弦函数(sinα)值。 α Sinα α Sinα α Sinα α Sinα 15° 0.259 20° 0.342 25° 0.423 30° 0.500 16° 0.276 21° 0.358 26° 0.438 31° 0.515 17° 0.292 22° 0.375 27° 0.454 32° 0.530 18° 0.309 23° 0.391 28° 0.470 33° 0.545 19° 0.326 24° 0.407 29° 0.485 34° 0.559 所需扬程(H需)是指把单位体积的水提升到H净高度所需要的能量。因为提升必须通过管路,所以H需除了把水能提高到H净外,还有加上客户水和管路之间的摩擦阻力而损耗的能量(h损),即H需=H净+h损。 流 量 管 损 公 称 通 径 h损的计算比较麻烦,下表列出了每百米钢管的管路损失扬程(米)供您参考。塑料管的管路损失约为钢管的0.7倍。胶管的管路损失与钢管基本相同,铸铁管的管路损失约为钢管的1.4倍。 15 20 25 30 40 50 70 80 100 120 150 200 50 10 17 21 28 75 2 3 4 6 10 15 26 45 100 2 3 4 6 9 12 20 25 35 125 3 5 8 15 22 150 1 2 4 7 从上表查出的数除以100再乘以管路的实际长度(米),就得到所求的h损。 例如:您的钢管长约100米,管径为75毫米,电泵流量为50m3/h,从表中查出百米管路损失为15米,那么h损=100×15÷100=15(米)。H需=H净+h损=34.2+15=49.2(米)。 选择电泵,所需扬程H需是选定电泵额定扬程H的依据,为了满足扬程的需要,所选电泵的扬程H应等于或大于H需,即H≥H需。而根据经验,H=(1~1.1)H需,那么H=(1~1.1)×49.2=49.2~54.1。 根据上述参数,就可轻松选用各种不同规格型号的WQ型污水污物潜水电泵。 维护与保养 1、电泵使用前密封油室内是否充满润滑油。 2、定期检查定子绕组对机壳的绝缘电阻,若电阻值小于50兆欧应停用修理。 3、经修理过的电泵,应先进行气压试验,检查各零件止口,配合处“O”型橡胶密封圈和机械密封是否有漏气现象,如有漏气现象,必需更换新件,然后在油室里灌满32#或46#机油,进行水(气)压力试验,不低于0.2Mpa。 4、长期停用电泵应清理干净,涂上防锈油,置于通风干燥处。 5、本电泵由于使用环境恶劣,故要使用600小时应更换一次机械密封润滑油。 6、用500伏或1000伏兆欧表测量冷态下电机定子绕组对地绝缘电阻,应不能低于50兆欧,否则不能使用。 7、修理电机部分时应保证达到BG3836.2国家标准所规定的各项条款,亦可委托生产厂家修理,以确保安全和正常使用。 电泵的拆装 1、拆卸程序: (1)拆去电机上端盖及内部接线装置。 (2)拆开电缆与电源线的连接,松开引线螺帽,并将机组倒放。 (3)拆下泵座。 (4)拆下叶轮螺母及叶轮。 (5)将密封室内的油倒出。 (6)拆下泵体。 (7)拆下机械密封部件。 (8)拆下电机下端盖。 (9)拆下电机上轴承座连同转子一起抽出。 2、装配程序: 按拆装的反顺序进行即可。 提请注意: (1)调整叶轮前端面与泵座直接的间隙0.5~0.6mm。 (2)压好地线。 (3)电泵组装后,电动机内腔及密封室,应做0.2MPa的气压试验,5分钟无渗漏为合格(试验时电动机应潜入水中)。 常见故障及排除方法 污水污物潜水电泵接通后不转动,不出水,流量小,声音异常或突然停转时,应立即切断电源,检查修好后使用。 常见故障及排除方法相见下表: 故障现象 故障原因 排除方法 1、接通电源后电泵不转 a、 电源电压过低 b、 叶轮卡住 c、 电缆接头线芯被拉断 a、 调整电压 b、 拆开泵座、清除异物 c、 拆卡检查,重新接线,必要时返回制造厂修理 2、运转中突然停转 a、 电源断电 b、 叶轮卡住 c、 电机温升过高,热保护器工作(自动断电) a、 恢复供电 b、 拆开泵座、清除异物 c、 停止供电,电机停一段时间冷却后,热保护器可自动复位,再恢复供电 3、不出水 a、电机反转 a、将电机引出电缆三个线芯中任意两根互相调换,接至电源线上即可 4、出水量小 a、过滤罩被异物堵塞 a、清洗过滤 5、出水量时大时小 a、 叶轮流道被异物堵塞 b、 过滤罩未全部侵入水中 a、 清除叶轮流道内异物 b、 将过滤罩全部侵入水中 6、运转中声音异常 a、 轴承间隙大或轴承磨损 b、 机械密封动、静环摩擦副摩擦严重 c、 叶轮螺母松动,叶轮下沉与泵座相擦 d、 密封室内油量不足 a、 更换轴承 b、 拆下机械密封清洗或更换 c、 拧紧叶轮螺母 d、 注入机械油HJ-7 JDWQ系列绞刀切割型排污泵是在普通排污泵的基础上采用自动搅拌装置,该装置随电机轴旋转,产生极强的搅拌力,将污水池内的沉积物搅拌成悬浮物,吸入泵内排出,提高了泵的防堵、排污能力,一次性完成了排水、清污、除淤、节约了运行成本,是具有明显的先进性和用性的环保产品。 JDWQ绞刀切割型排污泵主要特点: 1.当绞刀切割型排污泵运转时,自动搅拌池底沉积物,彻底防止污物淤积,无须人工清理; 2.独特的叶轮设计,具有将纤维物、杂物切碎和撕裂的功能; 3.采用外循环冷却系统,使排污泵低水位运转,减少电机起动频率,延长电机寿命; 4.国家标准图集推荐产品; JDWQ绞刀切割型型号意义: 例:80JDWQ50-10-3 80-排出口径(mm) JDWQ-绞刀切割型排污泵 50-流量(m3/h) 10-扬程(m) 3-电机功率(KW) JDWQ绞刀切割型排污泵主要用途: 1.工厂、商业严重污染废水的排放。 2.城市污水处理厂、医院、宾馆的排水系统。 3.住宅区的污水排水站。 4.人防系统排水站、自来水厂的给水装置。 5.市政工程、建筑工地。 6.勘探、矿山、发电厂配套附机。 7.农村沼气池、农田灌溉、河塘清淤。 JDWQ绞刀切割型排污泵使用注意事项: (1)运转前应用兆欧表检查电机定子绕组对地的绝缘电阻,最低不得少于50兆欧。 (2)检查电缆有无破损、折断等现象。如有损伤须及时更换,以免漏电;电缆截面应与电流相匹配。 (3)电压超过额定电压的±10%时,不得启动电泵。 (4)以保证使用安全,必须将四芯电缆中的接地线可靠接地,以防发生触电事故。 (5)电泵潜入水中时,应垂直起吊,不允许横放着地,更不能陷入污泥中。停止使用时应将电泵吊起清洗干净,置于干燥处,并注意防冻。 (6)禁止将电缆作为安装起吊绳使用。 (7)检查转子运转方向,从上向下看应为顺时针方向旋转。 (8)室外的开关或接线端应有防雨、防潮措施,湿手或赤足时禁止触及开关,防止触电。 (9)移动电泵时,必须切断电源,电泵在运行时人不得接触水源,以防漏电发生人身事故。 (10)严禁电机缺相运转,如发现保险丝熔断,应检查原因后方可继续使用,不得任意加粗保险丝。 (11)泵运转时,应有专人管理,如发现有不正常现象应立即停机检查,排除故障。(指末配全自动保护柜的情况。 (12)电泵在规定的工作介质条件下正常运行半年后,应检查油室密封状况,如油室中的油呈乳状或有水沉 淀,应及时更换10~20号机械油和机械密封。对于在恶劣工作条件下使用的电泵,更应经常检修。 (13)用户应根据实际使用的工况选择合适的流量扬程,以达到最佳使用效果,泵铭牌或说明书上所示参数为该最佳使用工况点,用户可选在(0.7~1.2)倍最佳流量内使用,禁止超流量使用,否则流量过大,扬程过低容易使电机过载。 JDWQ绞刀切割型排污泵故障的原因及解决方案 故障现象 原因分析 排除方法 JDWQ绞刀切割型排污泵不能启动与运转 电压太低 调节电压或电压正常时工作 叶轮被杂物卡住 清除杂物 螺帽或平键损坏致使叶轮打滑 更换损坏零件 JDWQ绞刀切割型排污泵超负荷 转子部件卡滞或过流部件被异物卡住 重新装配、清除异物 轴承损坏、轴变形 更换轴承、校正轴 JDWQ绞刀切割型潜水排污泵流量不足 吸入口或输出管被阻 清除杂物,保证畅通 电机转速低于额定转速 提高转速 叶轮打坏 更换叶轮 扬程过高 降低扬程 旋向相反 改换转向 介质太稠或供应量不畅通 冲稀介质,增大供应量 JDWQ绞刀切割型潜水排污泵噪声与振动 叶轮与泵体有磨擦 检查泵的装配并进行调整 轴承损坏或少油 更换轴承或加油 螺帽松动 更换螺帽 泵体中有杂物 清除杂物 吸入口有空气渗入 控制最低水位 JDWQ绞刀切割型潜水排污泵使用条件 1、介质温度不超过60℃,介质重度为1~1.3kg/dm3,PH值在4~10范围内。 2、1Cr18Ni9ti不锈钢材质可适用各种腐蚀性介质。 注:用户如有特殊的介质、温度等要求,请要订货时注明输送介质详细情况,以便本公司提供更为可靠之产品
展开阅读全文

开通  VIP会员、SVIP会员  优惠大
下载10份以上建议开通VIP会员
下载20份以上建议开通SVIP会员


开通VIP      成为共赢上传

当前位置:首页 > 包罗万象 > 大杂烩

移动网页_全站_页脚广告1

关于我们      便捷服务       自信AI       AI导航        抽奖活动

©2010-2025 宁波自信网络信息技术有限公司  版权所有

客服电话:0574-28810668  投诉电话:18658249818

gongan.png浙公网安备33021202000488号   

icp.png浙ICP备2021020529号-1  |  浙B2-20240490  

关注我们 :微信公众号    抖音    微博    LOFTER 

客服