收藏 分销(赏)

《高电压绝缘技术(第二版)》课后题答案中国电力出版社.doc

上传人:pc****0 文档编号:6638626 上传时间:2024-12-18 格式:DOC 页数:15 大小:803.50KB 下载积分:10 金币
下载 相关 举报
《高电压绝缘技术(第二版)》课后题答案中国电力出版社.doc_第1页
第1页 / 共15页
《高电压绝缘技术(第二版)》课后题答案中国电力出版社.doc_第2页
第2页 / 共15页


点击查看更多>>
资源描述
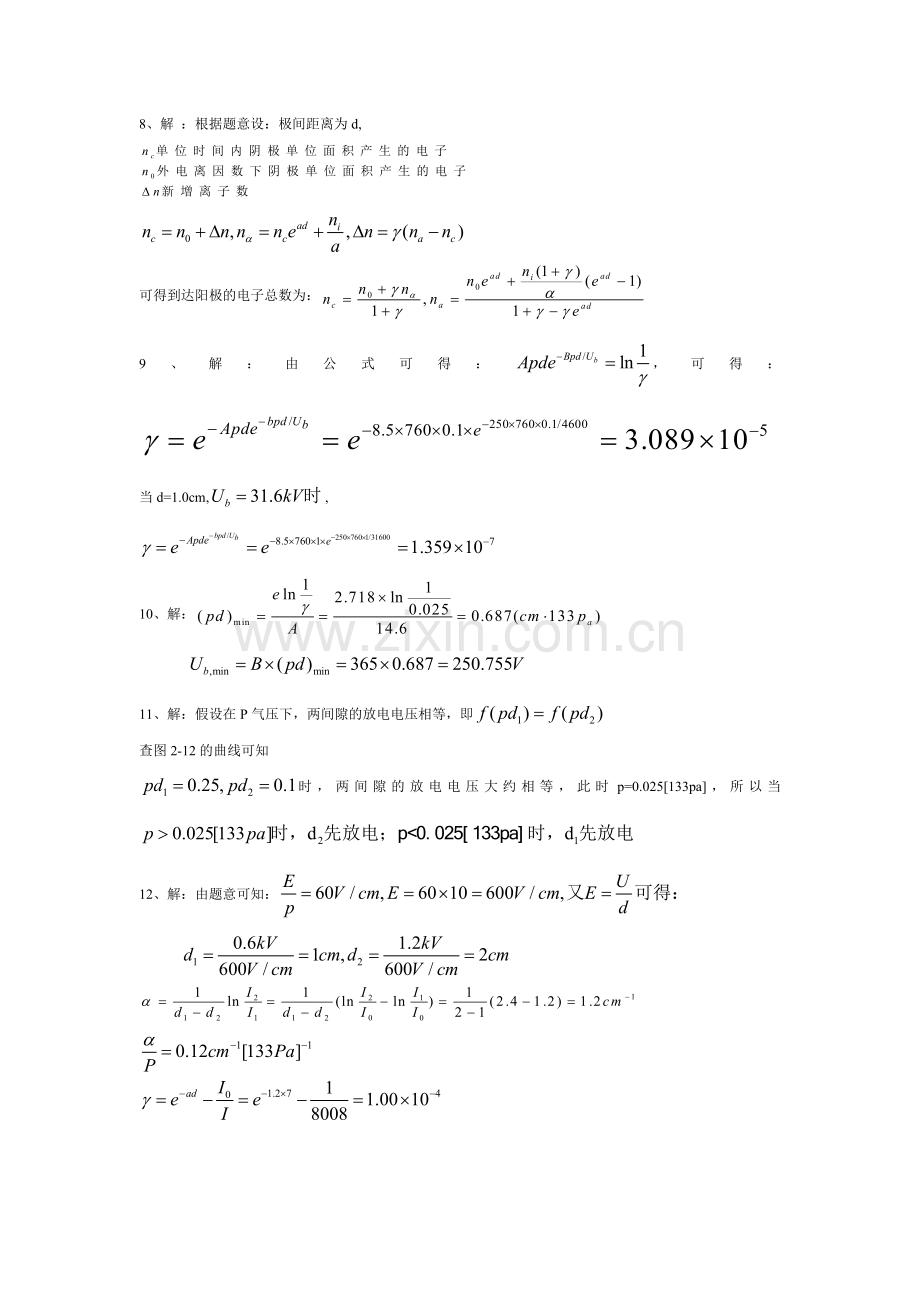
高电压绝缘技术(第二版) 课后答案 第二章 1、解:由题意:,因此: 。水蒸气的电离电位为12.7eV。 可见光的波长范围在400-750nm,不在可见光的范围。 2、解: 气体的绝对温度需要达到96618K。 3、解:由知 4、解:对于带电粒子有:,即内减少一对离子,即离子的平均寿命为1S。 5、解:由于电流,可知 6、解:由题意知:电场强度不变。又因为: , 7、解: 8、解 :根据题意设:极间距离为d, 可得到达阳极的电子总数为: 9、解:由公式可得:,可得: 当d=1.0cm,, 10、解: 11、解:假设在P气压下,两间隙的放电电压相等,即 查图2-12的曲线可知 时,两间隙的放电电压大约相等,此时p=0.025[133pa],所以当 12、解:由题意可知: 13、解:由公式 ,, ,,即 14、解:由公式 15、解:由公式,因此 ,解得r=6cm 16、解:由公式,r=1.9/2=0.95cm可得 全面电晕,m=0.82,;部分电晕,m=0.72, 因为,对于110kV输电线路 对于线-线 对于线-地: 对于线线间发生局部电晕,要求电压至少为228.31kV,对于线地发生局部放电,要求电压至少为260.25kV 即不会出现局部电晕,也不会出现全面电晕 17、对于220kV输电线路 线-线 线-地,又16题分析可知: 不会出现局部电晕,也不会出现全面电晕 18、解:可近似为球—板,进而近似为球—球 ,可得 由表1-2知:,U=kV,求出d=51.90cm,所以均压球离墙的距离为51.90cm 19、解: A点: B点: 因为,所以B点先放电,放电电压为 又因为,,代入数据可得R=1.975m 20、解:工频750kV实验变压器,峰值电压为 棒—板长空气间隙模型,查表2-46曲线可得,实际上 雷电冲击电压为1.5MV,查表2-51棒—板电极,最大距离为2.7m,实际 第三章 1、 解:若管内有直径为6cm的导杆,则滑闪放电发生在瓷管外壁。 由经验公式滑闪放电电压 若管内导杆直径为3cm,则滑闪放电发生在瓷管外壁且为瓷管与空气的相串联 则 由经验公式滑闪放电电压 2、 解: 由经验公式滑闪放电电压 在100kV的1.2/50us全部冲击电压下 在负雷电冲击下, 火花长度为 在正雷电冲击下, 火花长度为 在交流下火花长度为 3、 解:在工频电压下, 裕度为: 在冲击电压下, 裕度为: 淋雨时 在工频试验电压下 淋雨表面长度为 裕度为: 冲击电压下,滑闪电压与干闪电压很相似,即近似认为裕度仍为390.6% 4、 解:由题意可知,对于中等污染地区,污秽等级为Ⅱ级,爬电距离可取1.74~2.17(cm/kV), 对于XP-70悬式绝缘子,取爬电距离为2.17,则,取20片,正常绝缘用13~14片,比正常多用6~7片,串长为 对于XWP-130绝缘子,,取15片,串长15H=15*13=195cm 5、 解:由题意可知,,℃,湿度为 相对空气密度为 , 有图2-45可知, 查图3-45可知, 则 6、 解: 由于,查3-46可知, ,查图3-44得K=1.15 查图2-50, 查图3-45可得, 7、解: 查图3-46可得 , , , 查表可得,球的直径为,且距离26.55cm的正极性冲击电压为656kV 查图3-45可得,, 8、解: 第五章 5-1、如SF6气体绝缘电气设备中在20°C时充的气压为0.75MPa,试求该设备中SF6的气体密度?及该设备中SF6气体的液化温度为多少? 解:根据SF6的物理性质,当气压为0.1MPa,温度为20°C时其密度为6.164g/l,则由 当气压增至0.75Mpa时,SF6物质的量n也增至原来的7.5倍,故此时密度为: 其中mol为SF6的摩尔质量; 由图5-6,当气压0.75MPa,其液化温度约为-20°C 当然0.75MPa时SF6的气体密度也可由图5-6查得。 5-2、气压为0.1MPa的SF6气体,若其值比临界值大10%,则此时有效电离系数为多大? 解:由式(5-2)有 则 5-3、某同轴圆柱电极间的介质为SF6气体,其击穿场强遵从贡贝尔分布,分布参数为,。 (1)求此时的耐受场强; (2)若电极长度增为100倍,求耐受场强的下降比例。 解:(1)本题所述情况与图5-17相同,由耐受场强定义有: (2)当电极面积增为n倍时,可按n个相同的间隙并联来考虑,则由5-11 则按贡贝尔分布参数,保持不变,而,则长度增加为100倍时,其耐受场强变为: 耐受场强下降比例为: 5-4、500kV气体绝缘电缆为分相封闭式同轴圆柱电极结构,其中导电芯的外径为89mm,外壳的内径为248mm。在20°C时充气气压为0.4MPa,求该稍不均匀场气体间隙的击穿电压?它与500kV系统要求的冲击绝缘水平(BIL)1550kV相比有多大裕度? 解:由图5-19,设内外半径分别为r、R: 极间场强; 沿x轴方向电子有效电离系数为: 击穿时,电子崩长度为临界电子崩长度xc,则有: (1) 其中: 由(1)式大于0,故 由式(5-6)有: (2) 根据(1)、(2)可得击穿电压: 故裕度为: 第六章 6-1、测量固体电介质体积电阻率和表面电阻率的试样如图6-55所示。铝箔电极用凡士林粘在介质上,电极的形状、尺寸也表示在图上。设测得的体积电阻为,表面电阻为,问及如何确定? 答:如果测量体积电阻时电压施加在上表面圆盘电极和下表面方形电极上,则: 不清楚测量表面电阻率时的接法,如果连接在上表面外环电极和下表面电极上,则还需要知道下表面方形电极边长a。 6-2、一根电缆长100m,绝缘层的内外半径分别为5cm及15cm,在20°C时绝缘的体积电阻率=,而电阻温度系数α=0.02°C-1,求: (1)20°C时电缆的体积绝缘电阻。 (2)如电缆绝缘层的温度为10°C及30°C,则电阻各为多少? (3)如电缆长度为200m,则20°C时体积绝缘电阻为多少? 答:(1)如果从电缆两端测量绝缘电阻则有: (2)由电导率随温度变化的关系有 由上面关系: 从而: (3)如果电缆长度为200m,则体积电阻计算式有 6-3、一根光滑瓷棒,半径为5cm,上、下为金属法兰,绝缘距离为1m,体积电阻率,而表面电阻率,问: (1)不加护环及加护环时,测得的绝缘电阻各为多少? (2)如因潮湿使降为,则上两者又各为多少? 答:(1)加护环时,测得的电阻仅为体积绝缘电阻: 不加护环时,应从电流角度进行分析: 又有: 其中: 故有: (2)如果因潮湿使得表面电阻率降低,则加护环测得的绝缘电阻不变 而不加护环时: 6-4、设平行平板电极间为真空时,电容为0.1μF。现放入当前介电常数为3.18的固体电介质。加上50Hz、5kV交流电压后,介质损耗为25W。试计算放入的固体电介质的。 答:由电容容值计算公式,放入介质后: 介质损耗: 6-5、一台电容器电容C=2000pF,=0.01,而直流下的绝缘电阻为2000MΩ,求: (1)工频(有效值)100kV下的功率损失; (2)直流100kV下的损失,它与交流下损失的比值; (3)交流下介质损失的并联等值回路中的等值电阻,它与直流绝缘电阻的比值。 解:(1)由介损计算公式,在工频电压作用下: (2)在直流电压作用下: 与交流下损失的比值为: Ratio=5/62.83=0.0796 (3) 则有 它与直流绝缘电阻的比值: Ratio2= 6-6、图6-56为局部放电试验原理接线图,其中Cx代表是试品为1000pF,Ck代表耦合电容为100pF,RmCm代表检测阻抗。若加到某一高电压时,Ck中发生视在放电量为5pC的局部放电,请问此时会误解为Cx中发生了多大的局部放电量? 解:设放电之后Ck两端的残余电压为U’,则有: 如果是Cx放电量为qx,则有: 又有,代入前面两式有 故会误认为会产生50pC。 6-7、测量聚乙烯的及时,试样和测量时相同(见图6-55)。平板状试样后2mm,铝箔电极可用凡士林粘贴,凡士林层总厚度约为0.05mm。聚乙烯的电气特性为:=2.3,。若采用的凡士林较脏,损耗较大(=2.2,),问由此引起多大的测量误差? 解:在分界面上有(1为凡士林、2为聚乙烯),两个电容为串联关系: 则有: =2.2975 介损的测量误差: 测量时: 其中: 则有: 则产生的误差为: 6-8、高压单芯电缆(见图6-57)长20m,其,=3.8。现其中有1m因发生局部损坏,增至0.05,基本不变。问这时电缆的增至何值? 解:同轴圆柱电容计算公式如下: 当发生局部损坏时(1表示未损坏部分,2表示损坏部分),则有: 其中 则有: 6-9、试证明单面冷却同心圆筒形电介质(如单芯电缆)的热平衡方程为 式中: K——电介质的导热系数; t——温度; ——电介质有效电导率; ——半径; E——电场强度。 证明:由式6-27可知单位体积的损耗功率为: 设电介质的内外半径分别为r1和r2,电缆长度为l,则有单位时间内总的功率损耗为: 而单位时间内散发热量的功率应为: 当介质中的能量损耗全部转化为热量时,由P=Q: 两边同时对r微分则有: 则:
展开阅读全文

开通  VIP会员、SVIP会员  优惠大
下载10份以上建议开通VIP会员
下载20份以上建议开通SVIP会员


开通VIP      成为共赢上传

当前位置:首页 > 包罗万象 > 大杂烩

移动网页_全站_页脚广告1

关于我们      便捷服务       自信AI       AI导航        抽奖活动

©2010-2026 宁波自信网络信息技术有限公司  版权所有

客服电话:0574-28810668  投诉电话:18658249818

gongan.png浙公网安备33021202000488号   

icp.png浙ICP备2021020529号-1  |  浙B2-20240490  

关注我们 :微信公众号    抖音    微博    LOFTER 

客服