收藏 分销(赏)

极限性质、法则.pptx

上传人:丰**** 文档编号:4227195 上传时间:2024-08-27 格式:PPTX 页数:16 大小:206.05KB 下载积分:8 金币
下载 相关 举报
极限性质、法则.pptx_第1页
第1页 / 共16页
极限性质、法则.pptx_第2页
第2页 / 共16页


点击查看更多>>
资源描述
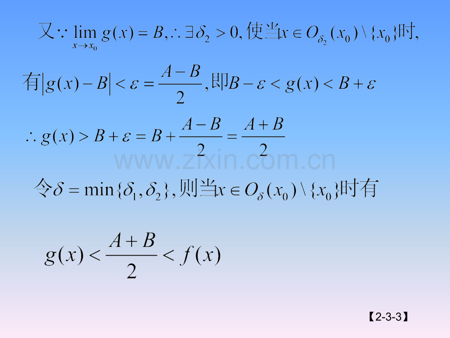
二、局部保序性1、定理:2、证明:【2-3-2】【2-3-3】3、推论1:4、推论2(局部保号性):三、极限不等式【2-3-4】证明:(用反证法)四、夹逼定理1、定理:【2-3-5】2、证明:【2-3-6】五、四则运算法则【2-3-7】六、复合函数极限七、性质理解举例例1 利用函数极限的性质证明证明:将要证明的问题放在单位圆中,通过单位圆中有关图形的面积的大小关系,直观地得到证明所需要的不等式【2-3-8】如右图所示,在单位圆中【2-3-9】此例题的结论也称为第一重要极限,因为在极限的计算中经常被使用,当然,在使用时要注意灵活性,如【2-3-10】解:对于取整函数有结论【2-3-11】证明:必要性充分性【2-3-12】例4 判别下列极限是否存在,如果存在求出其值解:(1)【2-3-13】【2-3-14】补充例5 证明证明:【2-3-15】【2-3-16】注:此极限结论也称为第二重要极限,在极限计算中也经常被使用,它有如下的变形形式。本节作业:P50 13(1、3、7、9、10)15 18 19 20【2-3-17】
展开阅读全文

开通  VIP会员、SVIP会员  优惠大
下载10份以上建议开通VIP会员
下载20份以上建议开通SVIP会员


开通VIP      成为共赢上传

当前位置:首页 > 包罗万象 > 大杂烩

移动网页_全站_页脚广告1

关于我们      便捷服务       自信AI       AI导航        抽奖活动

©2010-2026 宁波自信网络信息技术有限公司  版权所有

客服电话:0574-28810668  投诉电话:18658249818

gongan.png浙公网安备33021202000488号   

icp.png浙ICP备2021020529号-1  |  浙B2-20240490  

关注我们 :微信公众号    抖音    微博    LOFTER 

客服