收藏 分销(赏)

常用积分公式汇总 较全面的积分表.pdf

上传人:曲**** 文档编号:12052549 上传时间:2025-09-03 格式:PDF 页数:46 大小:1.03MB 下载积分:12 金币
下载 相关 举报
常用积分公式汇总 较全面的积分表.pdf_第1页
第1页 / 共46页
常用积分公式汇总 较全面的积分表.pdf_第2页
第2页 / 共46页


点击查看更多>>
资源描述
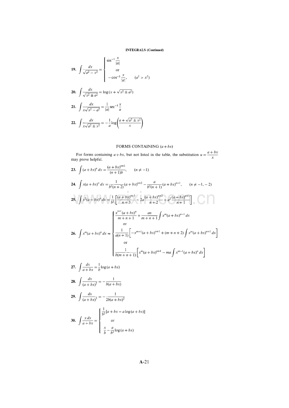
INTEGRALSELEMENTARY FORMS1.y*a dx=ax2./a-f(x)dx=adx3.j e(y)dx=/rdywhere y=夕 dx4.=udx+where u and v are any functions of x/(u+v)dx6.dv,f du u ax=uv I v axax J dxr y+iI dx=+,except n=8.=log/(x),0(x)=fx)dx)10.9.=logx2(x)dx=ex12.eax dx=eax/a13.baxdx=bax410g 6 So)15.16.14.xdx=x log x-x/log adx=ax,(a 0)dx+N1 _i x=-tan 1-a adxdx-a21,_i x-tanh 1-a aorJ_log,(tz2 x2)2a a-x1 一1 xcoth-a aor-log,(x2 a2)2a x+aA-20INTEGRALS(Continued)-i sinx aorcos-1,(a2 x2)a20.母=log(x+Vx2 a2)J 7 x2土 W22.xVa2 x2FORMS CONTAINING(a+bx)For forms containing a+bx,but not listed in the table,the substitution u=十”may prove helpful.23.(a+bx)dx=,(*-1)J(n+)b24./,(。+皿公=(。+必)+2(严,(一2)25.f+4(6/+T3 J +32a(+6x)+2/3+bx 严a +2 a h+1 Jxm+a+bx)n an f,、-1,-I-/xm(a+bx)n dxm+n+m+n+Jora(n+1)26./W(a+bxf dx=W+i(q+bx)n+i+(m+2)/Wg+bx)n+1 dx卜m+以严一3八小(十约可2Z/含=%og(4+)dx 1(a+bx)2 b(a+bx)29./公J(a+bx)512b(a+bx)?30./xdxa+bx-a+bx a log(a+bx)orx a.,、厂log 3+x)A-21INTEGRALS(Continued)/xdx 1,/,、a H-y=-r 10g(2L +bxf xdx _ 1 T-1 a|工 J(a+bx)n=P L(7i-2)(+Mn-2+(-lX+Mn-1J?,/公 I一+,-(/)46./2Vf 2=g(土 mJ c2 x2 2f x dx 1J(c2N)+i=千2(土/)r dx i r x f dx|J C 土/)=2c2(1)(c2 土/)“一1+(2n-3)J(c2 土/)一1_|f dx 1 T x f dxJ(x2 C2y=2c2(_ 1)_(N _ C2rl(2 3)J(N _ c2)-l50-/=;)A-22INTEGRALS(Continued)f xdx 1J(X2_c2)+1=2n(x2-c2)nFORMS CONTAINING a+bx and c+dx u=a+bx,v=c+dx,k=adbcFORMS CONTAINING(a+bxn)dx 1 xVab-1?-;tan-a+bx1 y/ab a(ab 0)(ab v 0)(ab 0)63./xdx=1 og(”+J a+bxz 2bC x2 dx x a f dx,J a+bx1 b b J a-bx265 f dx x 1 f dxJ(a+bx2)2 2a(a+bx2)+2a J a+bx2A-23INTEGRALS(Continued)66.dx 1 a+bx-b2x2 lab a bx67.dx68.xdx69.70.71.x2m 1dx2ma(a+Z)x2)w+2ma/(+Z)x2)wor(2叫!土(ml)2 2a 乙r!(r-1)!r=l+(4z-r(2r)!(a+bx2)rdx a+bx2(+Mw+1+x2 dx-x 1 f(a+bx2)m+l 2mb(a+bx2)m+2mb J(+bx2)n-Xdxdxx(a+bx?)-2x2 a+bx1dxx2(a+bx?)_b C dx ax aja+bx272.dxdxX(4+必2严1-F-2am(a+bN)“aor73.dx74.75.76.77.78.79.80.81.m2am+l A3+奴2 产+1 1a(左+x)dx b+bx2)m ara+bx2Y+10gX2a+bddx3+区2严1X快出+b9xdxa+bx3a+bx3-荻10g(k+x)3丁名=(腿(+必3)dx k i a+bx4 2a I 2 0dx+V3 tan-1x2+2kx+2k2-2kx|x2 2kx+2k2+tan 2k2 x2ykl,x+k.A=丁 万 log-r+tan+bx4 2a 12 x kxdx 1 _i x2-t7=7 r tan-t.a+bx4 2bk kxdx 1 x1 ka+bx4 4bk x2+k,制 0,k=。#=6A-24INTEGRALS(Continued)82.r x2 dxJ a+bx483.r dx 1 xnJ x(a+bx)an 0%+bxndx 1 f dx b f xn dx+bxn)m+i aj(a+bxn)m a J+bxn)m+if xm dx 1 f xmn dx a f xmn dxJ(a+bxnf+1 b J(a+bxy b J(a+bxny+idx If dx b C dxxm(a+-a J xm(a+bx”,a J x(a+bxny+l-.-xmn+l(a+必”尸+1 a(m +1)xmn(a+bxy dxb(np+m+1)|_ Jor+1、相+1(白+anp/xm(a+bx,y dx88.1 xma+bxnY dx=orw+i(a+bxny+l (m+np+n)b/xm+n(a+bxny dxorJ+)x相+1(。+bxny+i+(加+1+即+)Jxm(a+bx/1 dxFORMS CONTAINING c3x389.j dxJ C3 i X3I 1 I(cx)3 1=土)log.H-_7=tan6c2 6 c3 X3 a62x干c90.dx x(c3 X3)2 一 3c3(f3 X3)+2 T dx 3c3 J c3 i x3/dx 1 T x f dxJ(在严=W(c3x3)+(3-1)y 73二)92.xdx 1,c3 x3,1 _12x 干 c-r-7=-log-土 一产 tan c3 x3 6c(c x)3 cs/3 cs/393.xdx-I(c3 x3)2 3c3(c3 x3)1 f xdx 3c3 J C3 X3A-25INTEGRALS(Continued)94.=J_J(c3 土 x3)w+1 3碇3(c3 土 X5)J(c3 X5)96.97.98.99.95.|log(c3 x3)x2 dx(C3x3)+1=干3(。3)dx 1 x3X(C3 土 X3)3c3 g土 X3dx 1 1 x3x(c3 土 X3)2 3c3(X3)+3c6 g 土 X3dx100.101.-I-X(c3x3)+1 3碇3(c3x3)十 4C dx 1 If xdxX2(c3 土 X3)C3X 干03 J c3 X3f dx If dx%2(c3x3)+l=&J X2(C3X3)M=Fdxxdx土炉产FORMS CONTAINING c4x4102.dxc4+x4-2c3 V2 2logx2+cx2+c2 _i cxV2-t=-+tan f-yx2 cxs/2+c2 c2 x2103.dx 1104.105.106.1,c+x用R=H,lgF+tanxdx 1 _x x2c4+x4 2c2 tan c2xdx 1 c2+x1C4 X4 4c2 C2 X2x1 dx 1107.108.=log(?x4)1 3 c+x.L-11x2 cxs/2+c2 _i cxs/2-产-+tan-?x2+cxs/2+c2 c1 N荥口。gr1:FORMS CONTAINING(a+bx+cx2)X=a+bx-ex2 and q=4ac b1If q=0,then X=2,and formulas starting with 23 shouldbe used in place of these.109.2cx+b(q o)-=tanh_142cx+b1 2cx b y/Q1g o,q 2cx+t?+Nq(q vO)2cx+b 2c C dxqX+7JTA-26INTEGRALS(Continued)112.113.114.b C dxbx+2a qXj xdx 2a+bx b(2n 1)j dxJ X+1 nqXn nq J Xn117.fx2 7 x b,b2-2ac f dx Jxdx=-x+Jx传118.dx=(b2 2ac)x+ab cqX20.1公X-121,/空=&i 二心J x2X 2a2 x2 ax 2a2 a)J XI22 f dx 1 b j dx j dx J 市=2a(1)XT 一五 J 产,xXtm f dx 1 n+m 1 b f dx,J xmXn+l(m V)axmxXn m a J xmiXn+i 2n+m 1 c f dxm a J xm2Xn+iFORMS CONTAINING Va+bx124.V a+bxdx=-(2+bx)3125.xy/a+bxdx15126.x2V+bxdx=2(8/2abx+15b2 x2)-(a+bx)31(W127.xmVa+bxdx=2 b(2m+3)or/J(4+lx)?_ maVa+bxdxJ1;小+2r(m r)2r+3)A-27INTEGRALS(Continued)2(2a bx)/-f x2 dx 2(8tz2 4abx 3Z)2x2)/.-/,=-7 a+bxJ 7a+bx 15b3or2(+bx 弋+bx)rbm+x 与(2r+l)r!(m r)lardx2136.x V a+bx atan-1(6Z 0,k 0,k 0.Vbd duor1,(bv+Vbduvf log,(bd 0)7 bd v2 _ Vbduv/-tanV-bd bvor一*产),(M 0)7 kd vtan-1,(kd b2)233.dx(b2 x2)V d1 x2 b/b1 d1_x xs/b2-a2“2、tan-1-,(b2 a2)235.234.dx+x2)V a2 x2 bV a2+b1xVa2+b1 tan-1.b!d1 x2gHJ 公二耳”i/-sin-1 A b2+x2 b aVx2+b2 a236.sin u,a cos u)cos u du,u=sin-1-,tz 0、a,FORMS CONTAINING+bx+cN4cX=a+bx+ex2,q=4ac b1,and k=qIf q=0,then six=s/cx+仁 log(2V+lex+b)or1-U-l-smh Vc2cx+b VT(c0)2知/余七(evO)1“Q f dx _ 2(2cx+b),JX7X=qVXA-34INTEGRALS(Continued)240.r dx _ 2(2cx+Z)/1J _ 3qVT V+2(2cx+b)VT 2k(n 1)C dx(2-)qXn+2n-J Xn-x4xor(2cx+b)(nl)(n-/(2r)!4(2)!劭依X)!)2-/心-+/专244./XVXdx=(2cx+6)C 2 5X 15、5 C dx12c V+羽+福尸茴J我(2cO“yr 2+1 r I 4(+l)c 2(n+l)kj245./XnVxdx=(2+2)!(+1)甲(4左严k(2cx+b)VX/r!(r+1)!(4 左 X),c(2r+2)!一 十246/哭=冬-弥2(bx+2a)q4Xj x2 dx _(2b2 4ac)x+lab 4ac+(2-3)/C dxJ Xn4X _(2n-cqXnx4X+(2n-l)cqJ Xs/X252.f xn dx _ 1 i r(2n 1)b f xnldx(n 1)f xn2dx25,JFK 7X-XJ/254.xGdx=2蛆行一人隼J 3c 8c2 4ckJ y/x255.I xXXdx=,Xy/XdxA-35INTEGRALS(Continued)256.xXn4Xdx=(2n+3)c(/xn4xdx257.pVxdx+5JaC I dxf dx 1 2jaX+bx+2a258-J=-1Og-()26。,(DFORMS INVOLVING V2ax-x2264.x-a a.Vlax x1 dx=|F(x a)V2ax x2+a2 sin-1266.jy/lax-x2 dx(2*/产+&卜 n+2 n+2 Jor6-1M+1 A(2+l)!(r!)2*5;4x7 不一号-(2厂+1)!(+2)!、(In+l)!a+2._x a+2nnl(n+2)!Sm af Vlax x2 7(2ax x2)1 3 f Vlax x1 1/-dx=一+-/-;dxJ xn(3 2n)axn(2n 3)a J xnxxn/2ax x2 a(2n-1)/xn1 n J V2ax-x2石一丁!(一吗-J+当,by七 2T(2r)!(!)2 2,(!)2 A-36INTEGRALS(Continued)269.dxxns/2ax x2V 2ax x2 n 1dxa(l 2n)xn+(2n-l)a J xn-lV2ax-x2or-石=2-5 1)砥 2?!(2n)!(r!)2anrxr+1270.dx271.x a(2ax-N/2 cfiVlax-x2xdxx(2ax x2)3/2 as/lax x1MISCELLANEOUS ALGEBRAIC FORMS272.dxV lax+x2=log(x+0)2 2,。274.疝rF(a)log(xv+v 4N+c),(0)-a;irT(a b2+c2if a2=b2+c2,a*c.A-41INTEGRALS(Continued)*343.sin2 x dx 1 la+ba+b cos2 x by a 31tan%:,(而。,。1)*344.dxcos2 x+b1 sin2 x1tan-吧)ab a J*345.cos2 ex 1 a2+b-zdx=-;+b1 sin ex abzc_i Va2+b2 tan ex tan-x-A346.sin ex cos ex 1 1 9.2-5ax=-log(a cos ex+b sm ex)4 cos2 ex+b sin2 cx 2c(b-a)347.cos exa cos ex+b sin ex,dxax-a+b tan ex=/J 小acx+b log(cos ex+b sin ex)c(a-+bz)348.sm exa sin ex+b cos exdx=dxa+b cot ex c(q2+左)acx b log(a sin ex+b cos ex)1,c tan x+b Vb2 ac、/log-/,b ac)2vZ2 etc c tan x+b+Vb2 acor*349.dxa cos2 x+2b cos x sin x+c sin2 x1,tanVac b2 ctanx+b 2、,3 v 27 ac b1or1c tan x+b,(Z)2=ac)350.sin ax,1/n ax7TLdx=x+-tan-干 1 sm ax a 4 2/351.dx(sin ax)(1 sin ax)a/7i ax 1.ax(4TT)+logtanT352.dx(1+sin ax)21/tc ax 1 o-tan-tan 2a 4 2/6a353.dx(1-sin ax)2 2a 8t/7i ax 1 JR ax(4-T)+6COt(4-T)354.sin ax,1/ti ax 1 兀 ax(1+sm=2tan(4-d+6tan(4-y)355.sm ax(1 sin ax)2,1/兀 ax 1 o/7i ax乙一五cot(二爹)+,ot(z-y)356.sin xdx x adxa+bsinx b b J a+bsinx357.dx(sin x)(a+b sin x)1,x bC dx=-logtan-y+/?sinx358.dxbcosxdx(a+b sin x)2 (2-b2)(a+b sin+a2-b2 J a+b sin x*See note 6 on page A-19.A-42INTEGRALS(Continued)*360.362.363.364.sin x dx _ acosx h C dx(a+b sin x)2(b2-a2)(a+b sin x)b2-a2 J a+b sin xC dxJ a2 b2 sin2 ex1 _i Vtan ex-,tan acs/a2+b7-a1 1 s/d1 b1 tan ex一,tan-1-,acJ d1 b2 aor _1 2-42 tan exalacy/b1-efi V/?2-a2 tan ex-a/cos ax 1 ax-ax=x tan 1+cos ax a 2/cos ax,1 ax-dx=-x cot-1 cos ax a 2dx(cos ax)(l+cos ax)1 ax365.dxax)(l cos ax)11/7i ax 1=-logtan(-+y)-ax-cot 2(42 Z)2)(a2 or _1 og a tan ex Vb2 a2 2acdR 42 a tan ex+Vb2 a22377.sin ax 1.,、-dx=干一 log(l cos ax)l cos ax a*See note 6 on page A-19.A-43INTEGRALS(Continued)378.379.380.381.382.383.384.385.386.387.388.389.390.391.392.393.394.395.cos ax 1,1,.、-;-ax=-log(l sm ax)l sm ax-a/dxJ(sin 2x)(1 cos ax)/dxJ(cos ax)(l sin ax)1 1,ax=2硝土cos 依)+力 lg3nz1 1./7i ax干 2硝土 sin)+五lgtan匕+y)f sin ax 1/7-dx=-log(sec2%1)J(cos ax)(l cos ax)a(COS ax 1/7.V1,.=-log(cscax 1)J(sm 2x)(1 sm ax)a/sin axJ(cos ax)(l sin ax)dx/cos ax(sin ax)(l cos ax)dxsin ax cos axdx(sin ax cos ax)1dx2(l1sin)i1gtanG+T)1,1,axn 77,-;土 丁 lg tan 2a(1 cosax)2a 21 a41ax 兀、丁土和兀、=tanl ax 干-2a 4,1+cos ax sin ax:log(l tan?)dxa2 cos2 ex b1 sin2 ex1,b tan ex+a 2abe g b tan ex-a1.xf sin ax-cos ax屋 a/2Xx2(sin ax)dx=sin ax cx2 2-cos axa53a2x2 6.-sm ax ersin axdx=aorm/2cosax (-l)r+1 r=0(吁 1)/2a2x3 6xcos axa3a1 m,m-x cos ax H-1cos ax dx(m 2r)!m2r a2r+i+sin ax (l)r r=0ml(m 2r 1)!a2r+2Note:s means greatest integer s;39=3,1=0,etc./、,1 x.x(cos ax)dx=f cos ax+-sm ax 屋 a2x cos ax a2x2 2.-5-1:-sm ax a1-433足总6 a2x3 6x.-cos ax :-sm ax cr-a5A-44INTEGRALS(Continued)396.xOT(cos ax)dx=397.398.V77 sin ax m f 7-/x sm ax dxor吆 xm-2rsin ax,(-l)r -,1(m 2r)!a2r+iKR/2,m x时一I+COS ax y(-1)7-57T7.2r+2仁(m 2r 1)!azr+zSee note integral 392.型竺公=v(-ir(依严i J x.一与()(2+1)(2+1)!少喘399.ax)dx404.406.、x2 x sin lax cos lax cix)dx=z4 Sa2.-x cos lax sm 2ax-4。2x cos 3ax sin 3ax 3xcos ax 3 sin ax12a36a2-1-y4a 4a2402.、7 x2 x sm lax cos lax ax)ax=-1-4 4。x3丁+.c x cos lax sm lax H-;4。2407.408.409.410.411.412.413.414.Sa2、7 x sm 3ax cos 3ax 3xsm ax 3 cos axax)dx=-F“H-1-12。36a2 4a 4a2cosax 7-dx=7 sin axdx=-(m V)xmcosax-7-ax xm-xcosax(m l)xw-1x x cos ax 1,、tdx=干.-+下 log(l sm ax)1 sm ax 2(1 smax)屋x 7 x ax 2 ax rT=-tan-+logcosyx 7 x ax 2.ax-dx=-cot+logsm 1 cos ax aza1 2x+sm x x-ax=x tan-1+cosx 2x sm x 7 x-ax=x cot-1 cosx 2f r-7 2 sin ax 2/2/V1-cos ax dx=-/.-coJ 1 cos ax Qr-,2 sin ax 22.VI+cos ax dx=-_ _=-sma+cosax aj V1+sin x 公=2(sin cosK 71use+if(8k 1)-x (8k+3)-,otherwise 一;k an integerA-45INTEGRALS(Continued)415.J 5/1 sin x dx=2(sin +cos,use+if(8左3)x (8左+1)otherwise;k an integer416.dxcosxV2 log tan,use+if 4左兀 v x v(4左+2)冗,otherwise;k an integer417.f dxJ+cosxuse+if(4k 1)冗 v x v(4k+1)ti,otherwise k an integer418.-=6 log tanJ V1 sin x 4”K Kuse+if(8左+1)-x (8左+5)-,otherwise;k an integer419./而=/喋也呜+9use+if(8k 1)-x 2 sm ax-sm,2a 2ab+N436.437.440.441.442.435.77cos ax rb1 sm ax ax=-VI/72 sm axla,log(Z?cos ax+a/1 Z)2 sin2 ax)2ab 0s x dx=二 log(b sin ax+a/1+Z)2 sin2 ax)J v 1+Z)2 sin2 ax 就 COS ax 1._1Z,.、/dx=sm(b sin ax)J-b2 sin2 ax 就438.+b1 sin2 ax dx439.b1 sin2 ax dxdx1smax r-.2v 1+sm ax2a+log(Z?sin ax+Vl+Z)2 sin2 ax)labsmax r.21._lz,.、VI/72 sm ax+sm(b sm ax)2a labsinVa+b tan2 ex cy/a b(a 依)7i nuse+if(2k 1)-x 0)448.fcos-1=xcos-1-s/a2 x2,J a/a3o)A-47INTEGRALS(Continued)449./tan-1 5)公=x tan-1-|log(a2+x2)450./(cot-dx=xcot-1-+1 log(22+x2)451.x sin-1(ax)dx=J(2a2%2-1)sin-1(ax)+ax V1 a2x2452.xcos-1(ax)(/x=(2a2x2 1)cos-1(ax)ax/l cx2453.D/xQsm-gx)dx=3友J(依)-壬/z _、7 1+a x _1 X455./x(tan ax)ax=;tan ax J la1 2ar x+i a f x+i456./x”(tan cix dx-tan】ax-/-z-dxJ v)n+1 n+lj 1+a2x2 f,、,1+a2x2 x457./x(cot ax)dx=;cot ax+J 2 屋 2ar x+i a C+1458.I xw(cot-1ax)ix=-cot-1 axH-/J v)n+n+J 1+a2x2“C/sin1(ax)/1-V1-a2x2 sin-1(ax)459./-z-dx=a log-J x2 y x j x“n/cosT(ax)dx 1 1+V1-a2x2460./-5-=cos(ax)+a log-J X1 X X-f tan-1(ax)dx 1,.a.1+cPx2461./-=tan-1(ax)-log-zJ x2 x 2 x2/cot-1flx 7 1 _i a、x2463.f(sin-1 axfdx=x(sin-1 axf 2x+-_-sn-i ax464./(cos-1 ax)2dx=x(cos-1 axf 2x-cos-1 axx(sin-1 ax)n2r465./(sin-1 axfdx=依 n(-i)r()!(w-l)/2 /l _ n2x2+M-Note:s means greatest integer s.Thus 3.5 means 3;5=5,1=0.A-48INTEGRALS(Continued)x(cos-1 ax)n-(cos-1 axfx 120 n(n 1)j(cos-1 ax)n2dx or466./(cos-1 ax)ndx=M/2 4LMe。产(1)/2E(-iyr=0“尸 I/1.=(sin-1 ax)dx=(sin-1 ax)2V1-a2x2 2a/1 d、2 7(cos ax)dx=(cos-1 ax)1 f x,、7 /:_i xn470./=(cos ax)dx=VI cos ax J V1-aV n 出 曲n f xn2 7H-5-/,-cos ax dx屋 J vl-a2x2/tan-1 ax 7 1 z _i x9a2x2+1 la/cot-1 ax 1 1 z-77-dx (cot 1 ax)2 azxz+1 2ar/1 _473./x sec_1 axdx=sec-1 ax Va2x2 1/%2 x esc_1 axdx=esc-1 ax+r V a2x2 12 2a2FORMS INVOLVING TRIGONOMETRIC SUBSTITUTIONS479.”(s心)公=2(民)恐,480./(cos x)dx=2 J,A-49INTEGRALS(Continued)LOGARITHMIC FORMS485.(log x)dx=x log x x486./x(log x)dx=log x 487.488.工3x2(logx)dx=ogx-x+iax)dx=+log ax 5+1)2489./(log X)2dx=x(log x)2 2x log x+2x490.(.ogx)ndx=x(logx)n nJ(logx)nldx,orr=0 491.(1Og dx=(log)a ax+b500./-5-dx=-log x-log(ax+b)J b bx501.logx+b)dx=W+i J m+1log(ax+b)502./lg(x+b)公=_503.m+l m+1 log(x+b)m 11H-m 1(m 2),ax+b log-dx=(x+a)log(x+a)(x a)log(x a)504.dx=m+lz+l xm+l _ 根+1-log(x+.)-m+1 log(x-.)2 心+1(岁 2 i 2r+2m+l m 2r+2 a)where X=a+bx-ex2(Z)2-4ac 0)xm+1-(-a)m-508.J log(x2+a2)dx=x log(x2+a2)2x+2a tan-1-509.log(x2 (72)dx x log(x2 0,Z)0)mVab 3 b/529.ax+ax-a-x)dx=log ar eax 153-)bTdx=b+ceax)531.C xeax 7*/-y dx=-J(1+ax)2 2(1+ax)A-52INTEGRALS(Continued)532./533.p-tsmCMl dx=(工”!534./*x)sm(cx)公小一小黑;二二片.词 eax(b+c)sin(Z)+c)x+a cos(b+c)x2眸+(6+。勺eaxa sin(Z)c)x (b c)cos(Z?c)x2+期eaxa sin(Z?+c)x (b+c)cos(Z)+c)x+2 眸+3+c)2535.I*sin(bx)cos(cx)dx=ore(a sin bx b cos Z)x)cos(cx a)Pc(sin bx)sin(cx a)where p=y(a2+b2 c2)2+4tz2c2,p cos a=a2+b1 c2,p sin a=2acU f axr /A、1 zA 上”产 cos c eaxacos(2bx+c)+2b sin(2Z)x+c)536.J xsm(Z?x)sm(/7x+c)dx=-2(层+4抉)-f 皿、ir/、i 一片 sin c eaxa sin(2Z)x+c)-2Z)cos(2Z)x+c)537.I eflXsm(Z?x)cos(Z)x+c)dx=+-2(区+小)-r eax538./eXcos(6x)dx=+a cos(Z)x)+b sin(bx)sc f axr 以 Yir z I,eS c)sin(6-C)x+4C0S(b c)x539.y xcos(Z?x)cos(cx)dx=-2了+._ 斯-eax(b+c)sin(b+c)x+a cos(Z7+c)x+22+(6+I-c f axr、ir/v.cos c eaxacos(2Z)x+c)+2b sin(2Z)x+c)540.J*cosSx)cos(6x+c)dx=I-2(1+将)-.axv Y1/入 I sinc eaxasin(2Z)x+c)-2bcos(2Z)x+c)541.I*cosSx)sm3x+c)dx=-1-2(小+步)-542./eaxsinn bx dx=2 sin bx-nb cos bx)eax sin-1 bx+n(n-l)b2 j/sin?方可dx543.eaxcosnbxdx=a22b2(a cos bx+nb sin bx)eax cosw_1 bx+n(nC%COS2 dxA-53INTEGRALS(Continued)544.J xmex sin x dx=;We(sin x-cos x)y f xmlex sinxdx+葭/xmxex cosxdx545.sin bx dx=a sin bx b cos bx4+从0:,/1/(a sin bx b cos bx)dxor*才(二产廿;singx-(r+1高 pr+1(m-r)!wherep=,42+扶,pcos a=a,psina=b546./Wcosxdx=xmm!ex(sinx+cosx)V77-1 ex sinxt/x y I xmiex cosxdx547.cos bx dx=m a cos bx+b sin bx rri ax _、m cos bx+b sin bx)dxa2+b2 Jorax?(一 1)租!的一7/1、ie 丁节7-r?cosbx-(r+l)ap=Va2+b-,pcosa=a,p sin a=Z)A-54INTEGRALS(Continued)548./(cos 根 x)(sin x)dx=eax cos根t x sin xa cos x+(m+n)sin x(m+”)2+a2-R-eflX(cosw-1 x)(sin,7-1 x)dx(m+nf+a2 J+“)j eax(cosm2 x)(sinZ7 x)dx(m+a2 Joreax cosm x sinT sin x cos x(m+n)2+a2H-/(cos相t x)(sinT x)dx(m+nf+a2J+m e(cosm x)(sin2 x)dx(m+nf+42 Joreax(cosml x)(sin,7-1 x)(a sin x cos x+m sin2 x n cos2 x)(m+研+a2-2 D eax(cosm2 x)(sinZ7 x)dx(m+n)z+42 JH-,1)eax(cosw x)(sin,7-2 x)dx(m+nf+a2Joreax(cosml x)(sin-i x)(acosxsinx+m sin2 x ncos2 x)(m+rtf+a2+(:)2/eax(cosm2 x)(sinw-2 x)dx+(一 一)(”加1)j x)(sin-2 x)公(m+ny+a2 J549.550.551.552.553.554.555.xeax(sin bx)dx=x*2+尼(a sin bx b cos bx)xeax(cos bx)dx=eax荷dx sm x-dxcosx(a2 b2)sin bx 2ab cos bxxeax a2+b2(a cos bx b sin bx)eaxa sin x+(题一2)cos x(n-1)(2)sin,7-1 x2 画b2)cos bx lab sin bxa2+(n 2)2 j eaxeaxa cos x (n 2)sin x a2+(n 2)2 j eax 日(n 1)(2)cosi x+-1)(2)J cos-2 x x(sinh x)dx=cosh x(cosh x)dx=sinh x丫”,丫 tanT x eax tan xdx=eax-n 1eax tani x dx /eax tanw-2 x dxHYPERBOLIC FORMSA-55INTEGRALS(Continued)556.557.558.559.560.561.562.563.564.565.566.567.(tanh x)dx=log cosh x(coth x)dx=log sinh x(sech x)dx=tan_1(sinh x)(csch x)dx=log tanhQx(sinh x)dx=xcoshx sinh xx(sinh x)dx=xn cosh x n I(cosh x)dxx(cosh x)dx=x sinh x cosh xxw(cosh x)dx=jd1 sinhx n(sinh x)dx(sech x)(tanh x)dx=sech x(csch x)(coth x)dx=csch xsinh 2x x2(sinhm x)(cosh x)dx=-(sinh,+i x)(cosh-1 x)m+n+(sinhw x)(cosh2%)dx-sinhm_1 xcosh+i x m+n(sinhm-2 x)(cosh x)dx,(m+0)(m )(sinhm-1 x)(coshn-1 x)m-n 2dx568.569.570.571.572.dx(sinhw x)(cosh x)x)dx=x tanh xm-1 J(sinhw-2 x)(cosh x)or1(租#1)(n 1)sinh*i xcosh72-1 xm+n-2 f dx+n 1 J(sinhm x)(coshw-2 x),(tanhx)dx=.+n=tanh xsinh 2x x-+22 x)dx,(n 1)A-56INTEGRALS(Continued)57
展开阅读全文

开通  VIP会员、SVIP会员  优惠大
下载10份以上建议开通VIP会员
下载20份以上建议开通SVIP会员


开通VIP      成为共赢上传

当前位置:首页 > 教育专区 > 其他

移动网页_全站_页脚广告1

关于我们      便捷服务       自信AI       AI导航        抽奖活动

©2010-2026 宁波自信网络信息技术有限公司  版权所有

客服电话:0574-28810668  投诉电话:18658249818

gongan.png浙公网安备33021202000488号   

icp.png浙ICP备2021020529号-1  |  浙B2-20240490  

关注我们 :微信公众号    抖音    微博    LOFTER 

客服