收藏 分销(赏)

第四章《圆与方程》章末测试题[参考答案].doc

上传人:仙人****88 文档编号:11319245 上传时间:2025-07-17 格式:DOC 页数:4 大小:280KB 下载积分:10 金币
下载 相关 举报
第四章《圆与方程》章末测试题[参考答案].doc_第1页
第1页 / 共4页
第四章《圆与方程》章末测试题[参考答案].doc_第2页
第2页 / 共4页


点击查看更多>>
资源描述
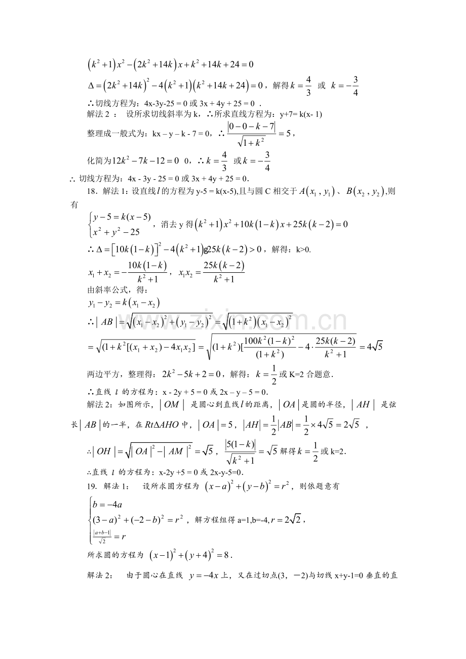
第四章《圆与方程》章末测试题答案与提示 一. 选择题 1-4. DDAB 5-8. BBAA 9-12.CCAB 提示: 1.因为方程表示圆,所以,解得. 2.因为以(5,6)和(3,-4)为直径端点,所以圆心为(4,1),半径为. 3.提示一:由圆的方程,解出交点的坐标,由直线方程的两点式,得出直线方程. 提示二:两圆的方程相减,得出直线方程. 4.因为曲线x2+y2+a2x+(1–a2)y–4=0关于直线y–x=0的对称曲线仍是其本身,所以直线y–x=0过圆心. 5.提示一:将直线方程代入圆的方程,根的判别式大于0. 提示二:圆心到直线的距离小于圆的半径. 6.因为直线与圆相切,所以圆心到直线的距离等于半径,整理得. 7.两圆圆心分别为(-2,2),(2,5),所以圆心距为5,两圆半径为2,4,所以两圆位置关系为:相交.其公切线为两条. 8.提示一:设圆心为,半径为,则,,解出,即可.提示二:设为圆的一般方程,代入解出. 9.圆心到直线的距离为 ,圆的半径为1,由勾股定理,得弦长为1. 10.可看成圆上的点与原点的斜率,画图可知,取值范围是 . 11.因点()是圆:内一点,故.直线是以为中点的弦所在的直线,直线的方程为,其与直线平行圆心到直线的距离,与圆相离. 12.曲线x=表示:圆的轴右侧部分,直线y = x + b与曲线x=有且仅有一个公共点,则或者相交一个交点,此时大于-1小于等于1;或者两者相切此时. 二.填空题 13.(0,0,3); 14.; 15.; 16.4个.提示: 13.设为(0,0,Z)则,解得Z=3. 14.弦的中点到圆心的距离不变为4,故其轨迹为. 15.过P(1,2)的直线l把圆分成两个弓形当其中劣孤最短时,P为直线截圆所成弦的中点,由斜率公式得出直线l的斜率,的方程为. 16.直线4x-3y=2过圆的圆心,圆的半径为,因此,圆上有4个点到直线4x-3y=2的距离为. 三.解答题 17.解法1: 设切线的斜率为k,由点斜式有:y +7 = k(x- 1),即y = k(x- 1) –7 ① 将①式代入圆方程 得:,整理得: ,解得 或 ∴切线方程为:4x-3y-25 = 0或3x + 4y + 25 = 0 . 解法2 : 设所求切线斜率为k,∴所求直线方程为:y+7= k(x- 1) 整理成一般式为:kx – y – k - 7 = 0,∴, 化简为 0,∴ 或 切线方程为:4x - 3y - 25 = 0或3x + 4y + 25 = 0. 18.解法1:设直线的方程为y-5 = k(x-5),且与圆C相交于、,则有 ,消去y得 ∴,解得:k>0. , 由斜率公式,得: ∴ 两边平方,整理得:,解得:或K=2合题意. ∴直线 的方程为:x - 2y + 5 = 0或2x – y – 5 = 0. 解法2:如图所示, 是圆心到直线的距离,是圆的半径, 是弦长的一半,在中,, , ∴,解得或k=2. ∴直线 的方程为:x-2y +5 = 0或2x-y-5=0. 19.解法1: 设所求圆方程为 ,则依题意有 ,解方程组得a=1,b=-4,, 所求圆的方程为 . 解法2: 由于圆心在直线 上,又在过切点(3,-2)与切线x+y-1=0垂直的直线y+2=(x -3),即x-y-5=0上,解方程组 可得圆心(1,-4),于是所求圆的方程为. 20.解:以AB所在直线为x轴,线段AB的中点为原点建立直角坐标系,则A(-5,0),B(5,0).设某地P的坐标为(x,y),且P地居民选择A地购买商品的费用较低,并设A地的运费为3a元/km,则B地运费为a元/km. 由于P地居民购买商品的总费用满足条件:价格+A地运费≤价格+B地运费 , 即,整理得. 所以,以点C为圆心,为半径的圆就是两地居民购货的分界线. 圆内的居民从A地购货费用较低,圆外的居民从B地购货费用较低,圆上的居民从A、B两地购货的总费用相等,因此可以随意从A、B两地之一购货. 21.解:圆C化成标准方程为:   假设存在以AB为直径的圆M,圆心M的坐标为(a,b)   由于CM⊥L,∴kCM×kL=-1 ∴kCM=, 即a+b+1=0,得b= -a-1 ① 直线L的方程为y-b=x-a,即x-y+b-a=0 ∴ CM= ∵以AB为直径的圆M过原点,∴   ,   ∴  ②   把①代入②得 ,∴ 当此时直线L的方程为:x-y-4=0;当此时直线L的方程为:x-y+1=0 故这样的直线L是存在的,方程为x-y-4=0 或x-y+1=0. 22.解:设圆的方程为:   当时,, ∵ ∴, ∴,   , ∴①   当时,∵   ∴∴②   由①、②得:又∵到的距离为   ∴∴∴或   ∴或∴或   ∴或.
展开阅读全文

开通  VIP会员、SVIP会员  优惠大
下载10份以上建议开通VIP会员
下载20份以上建议开通SVIP会员


开通VIP      成为共赢上传

当前位置:首页 > 教育专区 > 其他

移动网页_全站_页脚广告1

关于我们      便捷服务       自信AI       AI导航        抽奖活动

©2010-2026 宁波自信网络信息技术有限公司  版权所有

客服电话:0574-28810668  投诉电话:18658249818

gongan.png浙公网安备33021202000488号   

icp.png浙ICP备2021020529号-1  |  浙B2-20240490  

关注我们 :微信公众号    抖音    微博    LOFTER 

客服