收藏 分销(赏)

复合泊松分布.doc

上传人:s4****5z 文档编号:8819666 上传时间:2025-03-03 格式:DOC 页数:31 大小:564KB 下载积分:10 金币
下载 相关 举报
复合泊松分布.doc_第1页
第1页 / 共31页
复合泊松分布.doc_第2页
第2页 / 共31页


点击查看更多>>
资源描述
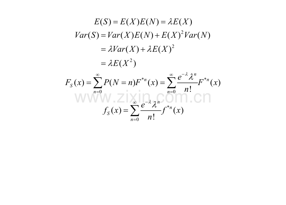
复合泊松分布及其性质 称随机变量服从参数为的复合泊松分布,如果满足 1.随机变量,是相互独立 2.若具有相同的分布,且分布与相同 3.服从泊松分布,参数为 定理3.1 设为相互独立的随机变量,且为参数为,个体索赔分布为的复合泊松分布,,则服从参数为,且的复合分布。 背景: 可看成个保险保单组合,S则是这m个保单组合的总索赔额。 S也可以看作同一个保单组合在m个不同年度内的总索赔额 证明:设为参数为的复合泊松分布,Si的矩母函数为。由于为相互独立的随机变量,因此的矩母函数为: 设,由矩母函数的定义知,为的矩母函数,因此 所以为参数为,个体索赔分布为的复合泊松分布。 例:设服从复合泊松分布,,也服从复合泊松分布,,若和相互独立,求的分布。 解:服从复合泊松分布,,的分布为 定理:设总索赔额S是一个复合泊松分布,其中个体保单的索赔额X的分布。假设X的取值可以分为m种类型:,其中。设N表示索赔发生总次数,分别表示类型索赔发生的次数, 。下面结论成立: (1)随机变量相互独立,服从参数为的泊松分布。 (2)设表示当第类索赔事件发生时的索赔额,即 ,令,则都是相互独立且服从参数为的复合泊松分布,个体索赔额为。 例3.13:设服从复合泊松分布, 。令,求的分布,的分布。 解:令, 则的分布为 1 0 2 0 3 0 设表示第类索赔事件发生的次数,则是泊松分布,。于是计算得到,,因此,是复合泊松分布,,个体索赔分布为。是复合泊松分布,,个体索赔分布为。 例3.14设索赔次数N服从l=2的泊松分布,个体索赔额的分布 ,计算总索赔额S等于1,2,3,4时的概率。 解:设Ni表示个体索赔额为i的索赔事件次数,则Ni服从参数为的泊松分布,总索赔额,其中,,利用独立随机变量和的卷积公式得到下表。 1N1 2N2 3N3 4N4 0 0.8187 0.6703 0.5488 0.4493 0.1353 1 0.16375 0 0 0 0.02705 2 0.016375 0.2681 0 0 0.05683 3 0.00109 0 0.3293 0 0.0922 4 0.000055 0.0536 0 0.3595 0.1364 例3.15:设某保险公司承保医疗保险,表示一次医疗费用,表示看病的次数,服从泊松分布,表示该医疗保险的总费用,设的分布密度为 试分析加入免赔额后,保险公司的总索赔额的变化。 解:首先考虑无免赔额情形,此时。总索赔额等于总医疗费用S。由的分布密度计算得到 总索赔额的期望和方差为 下面考虑的情形。这时将医疗费用分为两类: 。设表示医疗费用小于等于免赔额的次数,服从参数为的泊松分布。表示医疗费用大于免赔额, 服从参数的泊松分布。设, ,则总损失额,其中 S1表示医疗费小于等于免赔额的总费用,这部分费用完全由投保人承担。S2表示医疗费大于免赔额的总费用。由于,因此 其中表示第i次看病的索赔额。从上式可以看出,总费用S2分为两部分,一部分由投保人承担,另一部分是总索赔额部分,由保险人来承担。我们记总索赔额为S3,则。Yi的分布密度为 因此,,。可以得到总理赔额的期望和方差为 加入免赔额后,总理赔额比没有免赔额时减少了。 事实上,总损失S可以分解为: 其中S4为投保人承担的医疗费用,S3是由保险人来承担索赔额。 的近似分布 1、 正态近似 定理 设个别理赔额分布函数为,,。 (1)如果是复合泊松分布,参数为,则当时的分布趋于标准正态分布。 (2)如果是复合负二项式分布,参数为, 个别理赔额分布函数为,则 的分布在时趋于标准正态分布。 证明:我们将利用来证明(1)和(2)。对于泊松分布情形,由得到 由公式(5)知,因此 由矩母函数的级数展开式 , 我们可以得到, 当,,即。从而,Z分布在时趋于标准正态分布。 对于负二项分布,令 再用类似的方法证明Z分布在时趋于标准正态分布。此处不再叙述。 例:(SOA 2001-11 30) The claims department of an insurance company receives envelopes with claims for insurance coverage at a Poisson rate of l = 50 envelopes per week. For any period of time, the number of envelopes and the numbers of claims in the envelopes are independent. The numbers of claims in the envelopes have the following distribution: Using the normal approximation, calculate the 90th percentile of the number of claims received in 13 weeks. 解:设表示第I个信封中的索赔数。设表示13周内收到的总索赔数。 由 => 因此,2、平移gamma近似 设 为gamma分布,对任意一点x0 ,定义一个新的分布函数。若设和分布为和的分布函数密度,则从图形上H和G只差了一个平移变换。 图 5.1 H和G的分布密度图 下面我们用来描述总索赔的分布密度。因为有三个参数,所以只需根据S的均值、方差和三阶中心矩定出的形状和位置。又因为的均值,方差和三阶中心矩分别为,所以用来描述S的分布时,下面三个等式近似成立。 (7) 这是一方程组,解出有 这样就可以得到一个平移gamma分布。当为复合泊松分布时,(7)可简化为 其中。 若,当时,可以证明趋于正态分布。因此,正态分布可以看作是这种三参数分布的一种极限情况。从这个意义上来说,平移gamma分布近似是正态近似的推广。 例3.17:设为复合泊松分布,,当个体索赔分布为上的均匀分布时,试分别用(1)正态近似 (2)平移gamma近似计算。 解:(1)由条件易知,,于是得到 , 所以, (2)令,则 ,解方程组 得。因此S的分布函数为, 3、对数正态近似 此外,实际中还使用对数正态分布来近似S的分布,即考虑方程组 (3.41) 解出 ,然后用来描述的分布。 当的值较大时,正态分布近似的效果不错,特别是当N为泊松分布,二项式分布和负二项式分布时,由中心极限定理知,当趋于无穷时,S的分布将趋于正态分布。而当的值较小时,S的分布是有偏斜的,这时使用平移gamma和对数正态近似可能更为恰当。 例3.16:在过去的10个月里每月某险种的索赔次数和个体损失额的样本均值(和标准差)分别为,。 3.. 计算每个月总损失额的样本均值和方差。 (2)分别用正态近似和对数正态近似计算损失额超过期望的的概率。 解:(1)由公式(1)和(2)得到S的样本均值和样本方差为 若使用正态近似计算,则 若使用对数正态近似,则解下列方程 得到 。因此
展开阅读全文

开通  VIP会员、SVIP会员  优惠大
下载10份以上建议开通VIP会员
下载20份以上建议开通SVIP会员


开通VIP      成为共赢上传

当前位置:首页 > 包罗万象 > 大杂烩

移动网页_全站_页脚广告1

关于我们      便捷服务       自信AI       AI导航        抽奖活动

©2010-2025 宁波自信网络信息技术有限公司  版权所有

客服电话:0574-28810668  投诉电话:18658249818

gongan.png浙公网安备33021202000488号   

icp.png浙ICP备2021020529号-1  |  浙B2-20240490  

关注我们 :微信公众号    抖音    微博    LOFTER 

客服