收藏 分销(赏)

信息概率2答案.doc

上传人:pc****0 文档编号:7768790 上传时间:2025-01-16 格式:DOC 页数:2 大小:133KB 下载积分:10 金币
下载 相关 举报
信息概率2答案.doc_第1页
第1页 / 共2页
信息概率2答案.doc_第2页
第2页 / 共2页
本文档共2页,全文阅读请下载到手机保存,查看更方便
资源描述
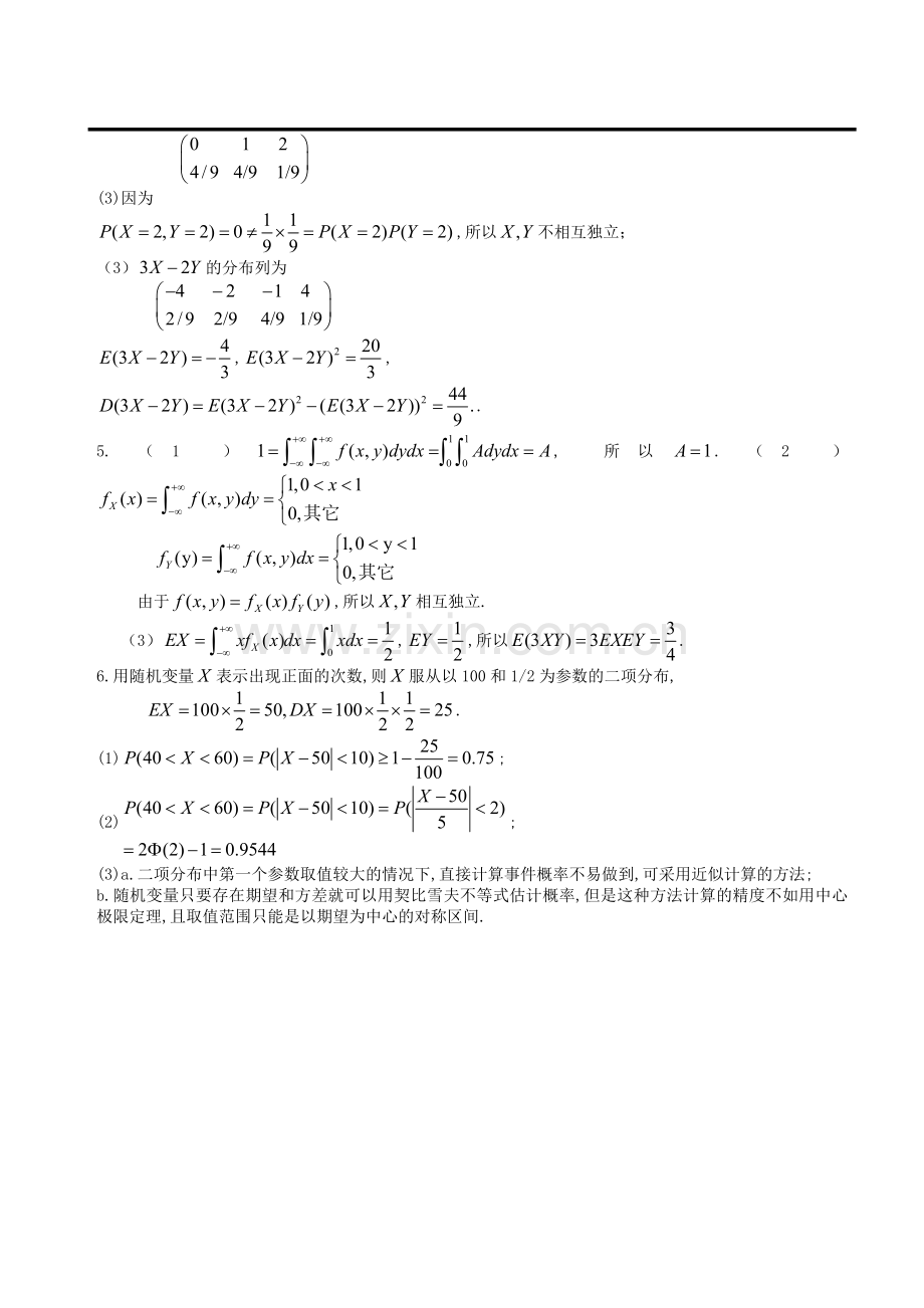
宝鸡文理学院试题参考答案与评分标准 课程名称   概率论   适 用 时 间 试卷类别   2    适用专业、年级、班 信息专业 一、 选择题(每题3分,共15分) 1. B 2. D 3. B 4. A 5. D 二、填空题(每题3分,共15分) 1.有限性和等可能性 2. 3. 4. 5. 三、判断题(每题2分,共10分) 1.错 2.对 3.对 4.对 5.错 四、计算题(每题10分,共60分) 1.设表示产品为次品, 表示产品由甲厂生产, 表示产品由乙厂生产则(1) (2). 2.(1) (2)因为服从几何分布,参数为的几何分布的期望为,方差为,本题中,所以. 3. 因为,则(1); (2) ;(3). 4. (1)的联合分布列为 X Y 0 1 2 0 1/9 2/9 1/9 1 2/9 2/9 0 2 1/9 0 0 (2)的边缘分布列都为 (3)因为 ,所以不相互独立; (3)的分布列为 ,, . 5. (1),所以. (2) 由于,所以相互独立. (3),,所以. 6.用随机变量表示出现正面的次数,则服从以100和1/2为参数的二项分布, . (1); (2); (3)a.二项分布中第一个参数取值较大的情况下,直接计算事件概率不易做到,可采用近似计算的方法; b.随机变量只要存在期望和方差就可以用契比雪夫不等式估计概率,但是这种方法计算的精度不如用中心极限定理,且取值范围只能是以期望为中心的对称区间.
展开阅读全文

开通  VIP会员、SVIP会员  优惠大
下载10份以上建议开通VIP会员
下载20份以上建议开通SVIP会员


开通VIP      成为共赢上传

当前位置:首页 > 百科休闲 > 其他

移动网页_全站_页脚广告1

关于我们      便捷服务       自信AI       AI导航        抽奖活动

©2010-2026 宁波自信网络信息技术有限公司  版权所有

客服电话:0574-28810668  投诉电话:18658249818

gongan.png浙公网安备33021202000488号   

icp.png浙ICP备2021020529号-1  |  浙B2-20240490  

关注我们 :微信公众号    抖音    微博    LOFTER 

客服