收藏 分销(赏)

2026届山东省寿光市第一中学高一数学第一学期期末达标检测试题含解析.doc

上传人:y****6 文档编号:12793068 上传时间:2025-12-08 格式:DOC 页数:15 大小:807.50KB 下载积分:12.58 金币
下载 相关 举报
2026届山东省寿光市第一中学高一数学第一学期期末达标检测试题含解析.doc_第1页
第1页 / 共15页
2026届山东省寿光市第一中学高一数学第一学期期末达标检测试题含解析.doc_第2页
第2页 / 共15页


点击查看更多>>
资源描述
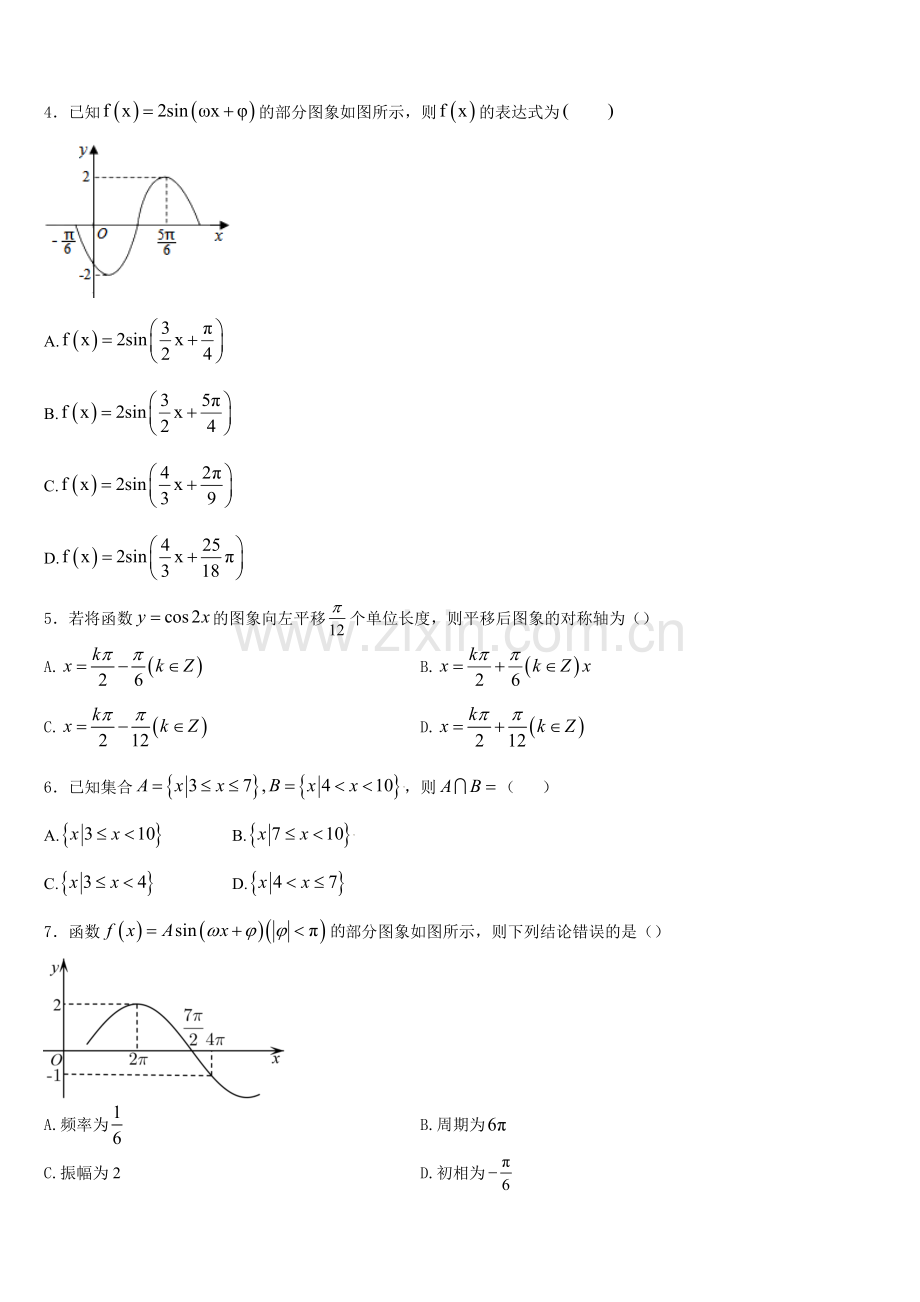
2026届山东省寿光市第一中学高一数学第一学期期末达标检测试题 考生须知: 1.全卷分选择题和非选择题两部分,全部在答题纸上作答。选择题必须用2B铅笔填涂;非选择题的答案必须用黑色字迹的钢笔或答字笔写在“答题纸”相应位置上。 2.请用黑色字迹的钢笔或答字笔在“答题纸”上先填写姓名和准考证号。 3.保持卡面清洁,不要折叠,不要弄破、弄皱,在草稿纸、试题卷上答题无效。 一、选择题:本大题共10小题,每小题5分,共50分。在每个小题给出的四个选项中,恰有一项是符合题目要求的 1.已知一个空间几何体的三视图如图所示,根据图中标出的尺寸,可得这个几何体的体积是() A.6 B.8 C.12 D.18 2.如图所示,将等腰直角△ABC沿斜边BC上的高AD折成一个二面角,使得∠B′AC=60°.那么这个二面角大小是(    ) A.30° B.60° C.90° D.120° 3.已知向量,且,则 A. B. C. D. 4.已知的部分图象如图所示,则的表达式为   A. B. C. D. 5.若将函数的图象向左平移个单位长度,则平移后图象的对称轴为() A. B. C. D. 6.已知集合,则( ) A. B. C. D. 7.函数部分图象如图所示,则下列结论错误的是() A.频率为 B.周期为 C.振幅为2 D.初相为 8.已知函数为奇函数,,若对任意、,恒成立,则的取值范围为( ) A. B. C. D. 9.把正方形沿对角线折起,当以,,,四点为顶点的三棱锥体积最大时,直线和平面所成角的大小为() A. B. C. D. 10.已知曲线的图像,,则下面结论正确的是( ) A.把上各点的横坐标伸长到原来的2倍,纵坐标不变,再把得到的曲线向右平移个单位长度,得到曲线 B.把上各点的横坐标伸长到原来的2倍,纵坐标不变,再把得到的曲线向左平移个单位长度,得到曲线 C.把上各点的横坐标缩短到原来的倍,纵坐标不变,再把得到的曲线向右平移个单位长度,得到曲线 D.把上各点的横坐标缩短到原来的倍,纵坐标不变,再把得到的曲线向左平移个单位长度,得到曲线 二、填空题:本大题共6小题,每小题5分,共30分。 11.设函数的图象关于y轴对称,且其定义域为,则函数在上的值域为________. 12.已知角的终边经过点,则的值是______. 13.在ABC中,H为BC上异于B,C的任一点,M为AH的中点,若,则λ+μ=_________ 14.用二分法求函数f(x)=3x-x-4的一个零点,其参考数据如下: f(1.600 0)≈0.200 f(1.587 5)≈0.133 f(1.575 0)≈0.067 f(1.562 5)≈0.003 f(1.556 2)≈-0.029 f(1.550 0)≈-0.060 据此数据,可得方程3x-x-4=0的一个近似解为________(精确到0.01) 15.已知集合,若,则________. 16.函数是定义在R上的奇函数,当时,2,则在R上的解析式为________. 三、解答题:本大题共5小题,共70分。解答时应写出文字说明、证明过程或演算步骤。 17.闽东传承着中国博大精深的茶文化,讲究茶叶茶水的口感,茶水的口感与茶叶类型和水的温度有关.如果刚泡好的茶水温度是,空气的温度是,那么分钟后茶水的温度(单位:)可由公式求得,其中是一个物体与空气的接触状况而定的正常数.现有某种刚泡好的红茶水温度是,放在的空气中自然冷却,10分钟以后茶水的温度是 (1)求k的值; (2)经验表明,温度为 的该红茶水放在的空气中自然冷却至时饮用,可以产生最佳口感,那么,大约需要多长时间才能达到最佳饮用口感? (结果精确到,附:参考值) 18.如图,某人计划用篱笆围成一个一边靠墙(墙的长度没有限制)的矩形生态种植园.设生态种植园的长为,宽为 (1)若生态种植园面积为,则为何值时,可使所用篱笆总长最小? (2)若使用的篱笆总长度为,求的最小值 19.已知函数. (1)求最小正周期; (2)当时,求的值域. 20.定义:若对定义域内任意x,都有(a为正常数),则称函数为“a距”增函数 (1)若,(0,),试判断是否为“1距”增函数,并说明理由; (2)若,R是“a距”增函数,求a的取值范围; (3)若,(﹣1,),其中kR,且为“2距”增函数,求的最小值 21.已知动圆经过点和 (1)当圆面积最小时,求圆的方程; (2)若圆的圆心在直线上,求圆的方程. 参考答案 一、选择题:本大题共10小题,每小题5分,共50分。在每个小题给出的四个选项中,恰有一项是符合题目要求的 1、A 【解析】由三视图还原几何体:底面等腰直角三角形,高为4的三棱锥,应用棱锥的体积公式求体积即可. 【详解】由三视图可得如下几何体:底面等腰直角三角形,高为4的三棱锥, ∴其体积. 故选:A. 2、C 【解析】根据折的过程中不变的角的大小、结合二面角的定义进行判断即可. 【详解】因为AD是等腰直角△ABC斜边BC上的高,所以 ,因此是二面角的平面角, ∠B′AC=60°.所以是等边三角形,因此,在中 . 故选:C 【点睛】本题考查了二面角的判断,考查了数学运算能力,属于基础题. 3、B 【解析】由已知得, 因为, 所以,即, 解得.选B 4、B 【解析】由图可知,,所以,所以,又当,即,所以,即,当时,,故选. 考点:三角函数的图象与性质. 5、C 【解析】由题意得,将函数的图象向左平移个单位长度,得到,由,得,即平移后的函数的对称轴方程为,故选C 6、D 【解析】由交集的定义求解即可 【详解】, 由题意,作数轴如图: 故, 故选:D. 7、A 【解析】根据图象可得、,然后利用求出即可. 【详解】由图可知,C正确; ,则,,B正确;,A错误; 因为,则,即, 又,则,D正确 故选:A 8、A 【解析】由奇函数性质求得,求得函数的解析式,不等式等价于,由此求得答案. 【详解】解:因为函数的定义域为,又为奇函数,∴,解得,∴,所以, 要使对任意、,恒成立, 只需,又,∴,即, 故选:A. 9、C 【解析】当平面平面时,三棱锥体积最大,由此能求出结果 【详解】解:如图,当平面平面时,三棱锥体积最大 取的中点,则平面, 故直线和平面所成的角为 , 故选: 【点睛】本题考查直线与平面所成角的求法,解题时要注意空间思维能力的培养,属于中档题 10、D 【解析】先将转化为,再根据三角函数图像变换的知识得出正确选项. 【详解】对于曲线,,要得到,则把上各点的横坐标缩短到原来的倍,纵坐标不变,得到,再把得到的曲线向左平移个单位长度,得到,即得到曲线. 故选:D. 二、填空题:本大题共6小题,每小题5分,共30分。 11、 【解析】∵函数的图象关于y轴对称,且其定义域为 ∴,即,且为偶函数 ∴,即 ∴ ∴函数在上单调递增 ∴, ∴函数在上的值域为 故答案为 点睛:此题主要考查函数二次函数图象对称的性质以及二次函数的值域的求法,求解的关键是熟练掌握二次函数的性质,本题理解对称性很关键 12、## 【解析】根据三角函数定义得到,,进而得到答案. 【详解】角的终边经过点, ,, . 故答案为:. 13、##0.5 【解析】根据题意,用表示出与,求出λ、μ的值即可 【详解】设,则 =(1﹣k)+k =, ∴ 故答案为: 14、56 【解析】注意到f(1.5562)=-0.029和f(1.5625)=0.003,显然f(1.5562)f(1.5625)<0,故区间的端点四舍五入可得1.56. 15、0 【解析】若两个集合相等,则两个集合中的元素完全相同. , 又, 故答案为0. 点睛:利用元素的性质求参数的方法 (1)确定性的运用:利用集合中元素的确定性解出参数的所有可能值; (2)互异性的运用:根据集合中元素的互异性对集合中元素进行检验. 16、 【解析】由是定义域在上的奇函数,根据奇函数的性质,可推得的解析式. 【详解】当时,2,即, 设,则, , 又为奇函数, , 所以在R上的解析式为 . 故答案为:. 三、解答题:本大题共5小题,共70分。解答时应写出文字说明、证明过程或演算步骤。 17、(1) (2) 【解析】(1)由解方程可得解; (2)令,解方程可得解. 【小问1详解】 由题意可知, ,其中, 所以, 解得 小问2详解】 设刚泡好的茶水大约需要放置分钟才能达到最佳饮用口感, 由题意可知,, 令,所以, ,, 所以, 所以刚泡好的茶水大约需要放置分钟才能达到最佳饮用口感. 18、(1)为,为; (2). 【解析】(1)根据题意,可得,篱笆总长为,利用基本不等式可求出的最小值,即可得出对应的值; (2)由题可知,再利用整体乘“1”法和基本不等式,求得,进而得出的最小值. 【小问1详解】 解:由已知可得,而篱笆总长为, 又,则, 当且仅当,即时等号成立, 菜园的长为,宽为时,可使所用篱笆总长最小 【小问2详解】 解:由已知得,, 又, ,当且仅当,即时等号成立, 的最小值是 19、(1) (2) 【解析】(1)根据辅角公式可得,由此即可求出的最小正周期; (2)根据,可得,在结合正弦函数的性质,即可求出结果. 【小问1详解】 解: 所以最小正周期为; 【小问2详解】 , ,的值域为. 20、(1)见解析; (2); (3). 【解析】(1)利用“1距”增函数的定义证明即可;(2)由“a距”增函数的定义得到在上恒成立,求出a的取值范围即可;(3)由为“2距”增函数可得到在恒成立,从而得到恒成立,分类讨论可得到的取值范围,再由,可讨论出的最小值 【详解】(1)任意,, 因为,, 所以,所以,即是“1距”增函数 (2). 因为是“距”增函数,所以恒成立, 因为,所以在上恒成立, 所以,解得,因为,所以. (3)因为,,且为“2距”增函数, 所以时,恒成立, 即时,恒成立, 所以, 当时,,即恒成立, 所以, 得; 当时,, 得恒成立, 所以,得, 综上所述,得. 又, 因为,所以, 当时,若,取最小值为; 当时,若,取最小值. 因为在R上是单调递增函数, 所以当,的最小值为;当时的最小值为, 即 . 【点睛】本题考查了函数的综合知识,考查了函数的单调性与最值,考查了恒成立问题,考查了分类讨论思想的运用,属于中档题 21、(1) (2) 【解析】(1)以为直径的圆即为面积最小的圆,由此可以算出中点坐标和长度, 即可求出圆的方程; (2)设出圆的标准方程,根据题意代入数值解方程组即可. 【小问1详解】 要使圆的面积最小,则为圆的直径, 圆心,半径 所以所求圆的方程为:. 【小问2详解】 设所求圆的方程为, 根据已知条件得, 所以所求圆的方程为.
展开阅读全文

开通  VIP会员、SVIP会员  优惠大
下载10份以上建议开通VIP会员
下载20份以上建议开通SVIP会员


开通VIP      成为共赢上传

当前位置:首页 > 教育专区 > 高中数学

移动网页_全站_页脚广告1

关于我们      便捷服务       自信AI       AI导航        抽奖活动

©2010-2025 宁波自信网络信息技术有限公司  版权所有

客服电话:0574-28810668  投诉电话:18658249818

gongan.png浙公网安备33021202000488号   

icp.png浙ICP备2021020529号-1  |  浙B2-20240490  

关注我们 :微信公众号    抖音    微博    LOFTER 

客服