收藏 分销(赏)

求质点在中心势场中运动的微分方程的解解由公式.pptx

上传人:胜**** 文档编号:886649 上传时间:2024-04-02 格式:PPTX 页数:16 大小:217.74KB 下载积分:11 金币
下载 相关 举报
求质点在中心势场中运动的微分方程的解解由公式.pptx_第1页
第1页 / 共16页
求质点在中心势场中运动的微分方程的解解由公式.pptx_第2页
第2页 / 共16页


点击查看更多>>
资源描述
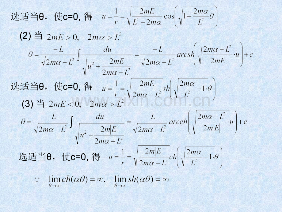
选适当,使c=0,得(2)当 选适当,使c=0,得(3)当 选适当,使c=0,得 第(2),(3)中情况会出现r0,即质点被力心所俘获当 ,t值有限3.2 质量相同的两个质点,用一固有长度为l劲度系数为k,质量不计的弹性棒连接起来,用手握住其中一个质点,使另一个做水平圆周运动,其速度为V0,然后将手放开,讨论这两个质点以后的运动情况。解:放手前,体系质心做圆周运动,放手后质心在离心力作用下做抛体运动。仅考虑体系的相对运动,体系势能 。两粒子相对运动可看成质量为折合质量mr的质点的运动,运动方程为:其中:轨道方程为:3.3 质点在一纬中心引力 的作用下,以速度为0,x=-a处开始运动,试求该质点到达力心o的时间。解:设无穷远处为势能零点,则代入粒子在中心势的运动方程:3.4 定性的讨论粒子在中心势 中的运动,式中k和为常数。解:当 1时,V0,此时近似做自由粒子的运动;当 1时,粒子近似做在势场 中的开普勒运动;当 1时,粒子近似做开普勒运动,但势场减弱为3.6 求粒子在中心力 的作用下的轨道方程。解:粒子的中心势场可写为代入 令:,其中:3.8 试求粒子在势场 中运动且E=0(抛物线轨道)时,坐标对时间的依赖关系。解:粒子在中心势场 中运动,代入运动方程:令 ,则若 ,则3.11 证明在椭圆轨道情况下,动能对时间的平均值等于势能对时间的平均值的一半(位力定理)。证明:在椭圆轨道情况下,。设 ,a,c分别是半长轴和焦距有:,周期可写为:,即势能:动能:证明2:令:经过一个周期:又:,在椭圆轨道3.13 运动粒子m1和静止粒子m2碰撞后,试在实验室系中用粒子的偏转角来表示粒子碰撞后的速度,即用 和 来表示 和解:设m1的初速度为可得:其中:代入上式得:3.22 设一质量为m的质点在 的中心力场中运动,试求其在稳定平衡位置r0附近做径向小振动的频率。解:由比耐公式,轨道微分方程为:其中设势场有一微小扰动,使粒子轨道代入上式,保留到的一级项,得满足方程:得轨道稳定条件为:轨道稳定 附近径向振动频率3.23 在地球表面A处,一发射角60和初速 发射一卫星,其中R为地球半径(自转可略)。(1)试求发射瞬间卫星轨道的曲率半径和切向加速度 ;(2)试求卫星离开地面的最大高度h及在此点的速率 ;(3)如果卫星在此最大高度突然分裂成相等的两半,其一半瞬时静止,试问另一半的轨道形状。解:卫星处于重力势场 中,由重力Fmg,卫星的轨道方程可写为:其中:轨道方程为:,当 r=R时(1)受力分析得:(2)当 时,有由机械能守恒有:即:(3)当一半瞬时静止,由动量守恒有,即轨道形状为抛物线(2)当 时,有由机械能守恒有:即:(2)双曲线轨道 上面式(1),(3),(4),(5)均成立,但代入(5)得,(3)抛物线轨道 式(1),(3),(4),(5)均成立,但e=1代入(5)得,(2)双曲线轨道,系统机械能为,(3)抛物线轨道,系统机械能为,解法2:(1)椭圆轨道,系统机械能为,对椭圆轨道,机械能可表示为,即得机械能又可表示为,抛物线轨道机械能为零,所以即得
展开阅读全文

开通  VIP会员、SVIP会员  优惠大
下载10份以上建议开通VIP会员
下载20份以上建议开通SVIP会员


开通VIP      成为共赢上传
相似文档                                   自信AI助手自信AI助手

当前位置:首页 > 包罗万象 > 大杂烩

移动网页_全站_页脚广告1

关于我们      便捷服务       自信AI       AI导航        抽奖活动

©2010-2026 宁波自信网络信息技术有限公司  版权所有

客服电话:0574-28810668  投诉电话:18658249818

gongan.png浙公网安备33021202000488号   

icp.png浙ICP备2021020529号-1  |  浙B2-20240490  

关注我们 :微信公众号    抖音    微博    LOFTER 

客服