收藏 分销(赏)

(2006年10月第10期)成都市造价信息电子版.XLS

上传人:haoh****by8 文档编号:8782 上传时间:2020-06-21 格式:XLS 页数:71 大小:330KB 下载积分:1 金币
下载 相关 举报
(2006年10月第10期)成都市造价信息电子版.XLS_第1页
第1页 / 共71页
(2006年10月第10期)成都市造价信息电子版.XLS_第2页
第2页 / 共71页


点击查看更多>>
资源描述
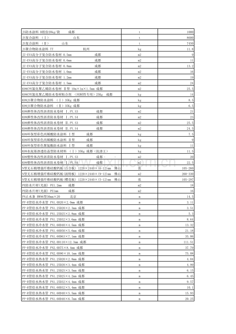
市市区区 材料名称、型号规格单位调整单价 (国标)遇水膨胀止水条 BW96型30mm20 北京m14.5 (缓膨)止水条 BW96型30mm15 北京m9 0103型白乳胶 20kg 广东桶90 1.1M无裙浴缸 CT-1100.002 合资套1640 1.4M无裙浴缸 CT-1450.002 合资套1485 1.5M无裙浴缸 CT-2540.002 合资套3220 1.5M无裙浴缸 CT-1550.002 合资套1485 1.5M无裙浴缸带扶手 CT-2505.202 合资套3670 1.5M无裙浴缸带扶手 CT-1555.012 合资套1755 1.5M右裙铸铁缸 CT-2561.002 合资套4260 1.5M左裙铸铁缸 CT-2560.002 合资套4260 1.7M无裙浴缸 CT-1710.002 合资套1565 1.7M无裙浴缸带扶手 CT-2715.202 合资套4680 5类通讯插座功能件 MRJ8/5A 广东个30.4 991-JS复合涂料 (Ⅰ) 成都t8600 991-JS复合涂料(Ⅱ)50kg 成都t7550 991-丙烯酸酯防水卷材 P型15m1.1m1.2mm 成都m229.2 991-丙烯酸酯防水卷材 P型15m1.1m1.5mm 成都m236.8 991-丙烯酸酯防水卷材 P型20m1.1m0.9mm 成都m225 991-丙烯酸酯防水卷材 P型40m1.1m0.6mm 成都m222.2 991-丙烯酸酯防水卷材 W型15m1.1m1.2mm 成都m227 991-丙烯酸酯防水卷材 W型20m1.1m1.2mm 成都m223.8 991-丙烯酸酯防水涂料 水乳型(Ⅰ)25kg 成都t11000 991-丙烯酸酯防水涂料 水乳型(Ⅱ)25kg 成都t9200 991-丙烯酸酯防水涂料 水乳型(Ⅲ)25kg 成都t7700 991-丙烯酸酯防水涂料 水乳型(Ⅲ)50kg 成都t29000 991-丙烯酸酯防水涂料 水乳型(Ⅲ)50kg 成都t6800 991-防水剂 成都t11000 991非焦油聚氨酯弹性胶乳 20kg 成都t12385 991非焦油聚氨酯防水涂料 (Ⅰ)60kg 成都t11700 991非焦油聚氨酯防水涂料 (Ⅱ)20kg 成都t10400 BW止水条 BW96型30mm20 北京m14.5 EVH泰柚装饰面板 244012202.7 四川张60 EVH泰柚装饰面板 244012202.7 四川张43 G.BM 轻钢烤漆龙骨 宽凹槽 B型 G.BM 广州m218.3 HHDⅡ5聚乙烯丙纶高分子复合卷材 0.4mm(300g/m2) 山东m27 HHDⅡ5聚乙烯丙纶高分子复合卷材 0.6mm(400g/m2) 山东m28 HHDⅡ5聚乙烯丙纶高分子复合卷材 0.9mm(500g/m2) 山东m210 HHDⅡ5聚乙烯丙纶高分子复合卷材 1.2mm(800g/m2) 山东m214 HHDⅡ5聚乙烯丙纶高分子复合卷材 1.5mm(1000g/m2)山东m216 HHDⅡ5聚乙烯丙纶高分子复合卷材 (600g/m2) 山东m211 HX-JS有机硅防水涂料 HX-JS:5kg/桶 重庆kg12 JS防水涂料 1.5mm(3kg/m2) 山东kg6 JS防水涂料 2mm(4kg/m2) 山东kg6 JS防水涂料 40kg/组 成都kg7.5 JS防水涂料 A组份20kg/桶 成都t14000 JS防水涂料 B组份20kg/袋 成都t1000 JS复合涂料 (Ⅰ) 山东t8600 JS复合涂料 (Ⅱ) 山东t7450 JS聚合物防水涂料 TT 杭州kg11.8 JZ-EVA高分子复合防水卷材 0.5mm 成都m29 JZ-EVA高分子复合防水卷材 0.6mm 成都m211 JZ-EVA高分子复合防水卷材 0.8mm 成都m213.2 JZ-EVA高分子复合防水卷材 1.0mm 成都m216 JZ-EVA高分子复合防水卷材 1.2mm 成都m219 JZ-EVA高分子复合防水卷材 1.5mm 成都m224 K99CPE氯化聚乙烯防水卷材 Ⅱ型 10m1m1.5mm 成都m225.5 K99CPE氯化聚乙烯防水卷材粘合剂 (同材性专用)25Kg 成都kg14 K99JS聚合物防水涂料 (Ⅰ)35Kg 成都kg8.5 K99JS聚合物防水涂料 (Ⅱ)35Kg 成都kg6.5 K99弹性体改性沥青防水卷材 Ⅰ.PY.S3 成都m221 K99弹性体改性沥青防水卷材 Ⅰ.PY.S4 成都m223 K99弹性体改性沥青防水卷材 Ⅱ.PY.S3 成都m225.5 K99弹性体改性沥青防水卷材 Ⅱ.PY.S4 成都m224.5 K99环保型彩色丙烯酸防水涂料 Ⅰ型 成都kg7.5 K99环保型彩色丙烯酸防水涂料 Ⅱ型 成都kg9 K99环保型彩色聚氨酯防水涂料 Ⅰ型 成都kg11 K99水泥基渗透结晶型防水材料 (Ⅰ)35Kg 成都(抗渗王)kg11.5 K99塑性体改性沥青防水卷材 Ⅰ.PY.S3 成都m220 K99塑性体改性沥青防水卷材 Ⅰ.PY.S4 成都m222.5 N型无石棉增强纤维硅酸钙板(百合板) 12202440(6-12)mm 佛山张105-260 N型无石棉增强纤维硅酸钙板(波特板) 12202440(9-12)mm 佛山m2260-330 N型无石棉增强纤维硅酸钙板(樱花板) 12202440(5-12)mm 佛山张105-297 PE防水片材(光面) PE1.2mm 成都m218 PE防水片材(光面) PE1mm 成都m216 PN止水条 BW96型30mm20 北京m14.5 PP-R管给水冷水管 PN1.0D202.0mm 成都m3.11 PP-R管给水冷水管 PN1.25D202.3mm 成都m3.51 PP-R管给水冷水管 PN1.25D252.8mm 成都m5.3 PP-R管给水冷水管 PN1.25D323.6mm 成都m8.64 PP-R管给水冷水管 PN1.60D404.5mm 成都m13.32 PP-R管给水冷水管 PN1.60D505.6mm 成都m21.18 PP-R管给水冷水管 PN1.60D637.1mm 成都m35.06 PP-R管给水冷水管 PN2.0D11012.3mm 成都m111.51 PP-R管给水冷水管 PN2.0D758.4mm 成都m37.79 PP-R管给水冷水管 PN2.0D9010.1mm 成都m75.08 PP-R管给水热水管 PN1.25D202.8mm 成都m4.04 PP-R管给水热水管 PN1.25D203.4mm 成都m4.99 PP-R管给水热水管 PN1.25D253.5mm 成都m6.15 PP-R管给水热水管 PN1.25D254.2mm 成都m6.45 PP-R管给水热水管 PN1.25D324.4mm 成都m9.57 PP-R管给水热水管 PN1.60D325.4mm 成都m10.1 PP-R管给水热水管 PN1.60D405.5mm 成都m15.93 PP-R管给水热水管 PN1.60D406.7mm 成都m20.25 PP-R管给水热水管 PN1.60D508.4mm 成都m29.74 PP-R管给水热水管 PN1.60D606.9mm 成都m24.88 PP-R管给水热水管 PN1.60D638.6mm 成都m39.05 PP-R管给水热水管 PN2.0D11015.1mm 成都m136.89 PP-R管给水热水管 PN2.0D6310.5mm 成都m46.14 PP-R管给水热水管 PN2.0D7510.3mm 成都m56.81 PP-R管给水热水管 PN2.0D7512.5mm 成都m75.33 PP-R管给水热水管 PN2.0D9012.3mm 成都m91.43 PP-R管给水热水管 PN2.0D9015mm 成都m111.48 PP-R管给水热水管 PN2.5D11018.3mm 成都m165.9 PVC-U隔音降噪管 Ф1103.0mm 四川m15.61 PVC-U隔音降噪管 Ф1604.0mm 四川m30.16 PVC-U隔音降噪管 Ф552.0mm 四川m5.47 PVC-U隔音降噪管 Ф823.0mm 四川m11.33 PVC-U隔音降噪螺旋管 Ф1103.2mm 四川m17.18 PVC-U隔音降噪螺旋管 Ф1604.0mm 四川m33.2 PVC-U排水管 Ф1102.8mm 四川m15.61 PVC-U排水管 Ф1103.2mm 四川m17.18 PVC-U排水管 Ф1103.2mm 四川m18.03 PVC-U排水管 Ф1104.0mm 四川m22.3 PVC-U排水管 Ф1603.2mm 四川m28.29 PVC-U排水管 Ф1604.0mm 四川m35.2 PVC-U排水管 Ф1604.7mm 四川m39.89 PVC-U排水管 Ф2003.9mm 四川m42.64 PVC-U排水管 Ф2004.9mm 四川m53.57 PVC-U排水管 Ф2005.9mm 四川m64.5 PVC-U排水管 Ф2008.0mm 四川m87.44 PVC-U排水管 Ф2504.9mm 四川m67.35 PVC-U排水管 Ф2506.2mm 四川m85.22 PVC-U排水管 Ф2507.3mm 四川m100.34 PVC-U排水管 Ф2509.6mm 四川m132.68 PVC-U排水管 Ф362.0mm 四川m3.81 PVC-U排水管 Ф422.0mm 四川m4.25 PVC-U排水管 Ф552.0mm 四川m5.47 PVC-U排水管 Ф822.8mm 四川m11.33 PVC-U排水管(括口) Ф2008.0mm 四川m94.7 PVC-U双壁波纹管S1级 200mm 四川m40 PVC-U双壁波纹管S1级 250mm 四川m53.38 PVC-U双壁波纹管S1级 315mm 四川m71.27 PVC-U双壁波纹管S1级 400mm 四川m122.46 PVC-U双壁波纹管S2级 200mm 四川m45.48 PVC-U双壁波纹管S2级 250mm 四川m64.22 PVC-U双壁波纹管S2级 315mm 四川m89.05 PVC-U双壁波纹管S2级 400mm 四川m131.8 PVC-U芯层发泡埋地排污管(S1型) 2004.9mm 四川m41.52 PVC-U芯层发泡埋地排污管(S1型) 2006.3mm 四川m50.4 PVC-U芯层发泡埋地排污管(S1型) 2506.2mm 四川m67.36 PVC-U芯层发泡埋地排污管(S2型) 2004.9mm 四川m47.68 PVC-U芯层发泡埋地排污管(S2型) 2006.3mm 四川m52.56 PVC-U芯层发泡埋地排污管(S2型) 2507.8mm 四川m80.08 PVC防水卷材(复合无纺布) 1.2mm 成都m222 PVC防水卷材(复合无纺布) 1.5mm 成都m226 REV黑胡桃山纹装饰面板 244012202.7 四川张38 R紫玫瑰装饰面板 244012202.7 四川张65 SBS改性沥青防水胶 2mm 山东kg3.15 SBS改性沥青防水胶 3mm 山东kg3.3 SBS改性沥青防水卷材玻纤胎 PE3mm 山东m216 SBS改性沥青防水卷材玻纤胎 PE4mm 山东m217.8 SBS改性沥青防水卷材聚脂胎 PE3mm 山东m218 SBS改性沥青防水卷材聚脂胎 PE4mm 山东m220 TLT自粘性橡胶卷材 1m20m 1.2mm 广汉m232 TLT自粘性橡胶卷材 1m20m 1.5mm 广汉m234 TLT自粘性橡胶卷材 1m20m 2.0mm 广汉m238 WPS-1000渗透性防水剂 50kg 石家庄t1000 WPS-4000渗透性沙浆防水剂 50kg 石家庄t50000 WTAPP改性沥青卷材 聚酯胎 3mmⅠ型GB18243-2000 资阳m220 WTAPP改性沥青卷材 聚酯胎 4mmⅠ型GB18243-2000 资阳m225 WTPVC土工膜 0.8mm GB17688-1999 资阳m219 WTPVC土工膜 0.9mm GB17688-1999 资阳m221 WTPVC土工膜 1.0mm GB17688-1999 资阳m223 WTPVC土工膜 1.1mm GB17688-1999 资阳m225 WTPVC土工膜 1.2mm GB17688-1999 资阳m227 WTSBS改性沥青卷材 聚酯胎 3mmⅠ型GB18242-2000 资阳m221 WTSBS改性沥青卷材 聚酯胎 4mmⅠ型GB18242-2000 资阳m226 WT非焦油聚氨酯防水涂料Ⅰ型 GB/T19250-2003 资阳kg12.5 WT非焦油聚氨酯防水涂料Ⅱ型 GB/T19250-2003 资阳kg14 WT非焦油聚氨酯防水涂料Ⅱ型 GB/T19250-2003 资阳m214 WT宽幅PVC高分子防水卷材 1.0mmⅠN类GB12952-2003 2.4m 宽 资阳m224 WT宽幅PVC高分子防水卷材 1.2mmⅠN类GB12952-2003 2.4m 宽 资阳m228.5 WT宽幅PVC高分子防水卷材 1.5mmⅠN类GB12952-2003 2.4m 宽 资阳m234 WT宽幅PVC高分子防水卷材 2.0mmⅠN类GB12952-2003 2.4m 宽 资阳m240 “美特”穿孔吸音板 5955955-10 成都m260-120 阿林顿3.5mm钢板无裙浴缸 CT-1744.002 合资套3700 阿林顿3mm钢板有裙浴缸 CT-0740/0741.002 合资套4045 阿林顿3mm钢板有裙浴缸带扶手 CT-0740/0741.012 合资套4400 艾万斯亚克力有裙浴缸 CT-6530/6531 合资套3660 安提克美铸无裙浴缸 CT-2120.202 合资套3670 安提克美铸无裙浴缸带扶手 CT-2125.202 合资套4350 奥顿亚克力无裙浴缸 CT-6508.002 合资套1690 奥顿亚克力有裙浴缸 CT-6502.002 合资套2250 巴蒂木实木地板 61011818mm 成都m2155 巴西酸枝树根饰面板 244012202.7 四川张170 白冰树饰面板 244012202.7 四川张320 白枫饰面板 244012202.7 四川张78 白乳胶 10kg 广东桶55 白乳胶 10kg 湖北桶72 白乳胶 10kg 四川桶40 白乳胶 2.5kg 广东桶17 白乳胶 20kg 湖北桶132 白乳胶 20kg 四川桶85 白乳胶 4kg 湖北桶30 白乳胶 5kg 广东桶22 白乳胶 5kg 四川桶16 白色色扣 GPX30B 广东个0.72 白石子kg0.346 白石子(方解石)t346 白水泥t500 白水泥kg0.5 白水泥 二级白度t500 白松、樟子松锯材 4M以上自然宽 成都m31450-1580 白松、樟子松原木 4M以上Ф20-30cm以内 俄、蒙m31250-1350 白松、樟子松原木 4M以上Ф30cm以上 东北俄m31260-1600 白橡(山纹)饰面板 244012202.7 四川张68 白橡(直纹)饰面板 244012202.7 四川张68 白橡装饰面板 244012202.7 四川张53 白玉兰 D8cm 成都株920 百能牌聚合物水泥砂浆防水剂 FS-A1kg 深圳kg14.5 斑马木饰面板 244012202.7 四川张70 斑马木饰面板 244012202.7 四川张64 斑马木帖面板 244012003mm 广东张78 贝壳砖 EV11-1EV126 200400 中山m2135 贝壳砖 SQ120-1SQ122-1 250333 中山m2117.6 贝壳砖 SQ120-2SQ122-3 250333 中山m2216 丙烯酸防水涂料 SY-919 20kg/桶 Ⅰ型 崇州kg10 丙烯酸防水涂料 HX-511:5kg/桶 重庆kg16 丙烯酸酯防水涂料 1.5mm(3kg/m2) 山东kg7 丙烯酸酯防水涂料 2mm(4kg/m2) 山东kg7 丙烯酸酯防水涂料(Ⅰ) 25kg/桶 成都kg8 丙烯酸酯防水涂料(Ⅰ) 50kg/桶 成都kg7.5 菠萝格实木地板 6109318mm 成都m2130 菠萝格实木地板 76012218mm 成都m2155 菠萝格实木地板 9009218mm 成都m2135 菠萝格实木地板 91012218mm 成都m2166 不锈钢管 各种规格综合t38000 布莱顿1.5M无裙浴缸 CT-6598.202 合资套1230 彩色PVC防水卷材 0.8mm 成都m214 彩色PVC防水卷材 1.0mm 成都m217 彩色PVC防水卷材 1.2mm 成都m221 彩色PVC防水卷材 1.5mm 成都m225 彩色沥青油毡瓦 SY-819 1000mm330mmm234 彩色路沿石 1000150350mm 成都m24 彩色抛光方块砖 成都m242-46 彩色嵌边石 1000100150mm 成都m20 彩色石子kg0.43 彩色石子t430 彩色砼方块砖 成都m235 槽钢 Q235 18# 鞍钢t3350-3500 柴油kg5.67 柴油 基建施工0#kg5.67 承插钢筋混凝土管 Φ1000mmⅡ级m398 承插钢筋混凝土管 Φ1200mmⅡ级m590 承插钢筋混凝土管 Φ1400mmⅡ级m812 承插钢筋混凝土管 Φ1500mmⅡ级m895 承插钢筋混凝土管 Φ1600mmⅡ级m980 承插钢筋混凝土管 Φ400mm Ⅱ级m78 承插钢筋混凝土管 Φ500mm Ⅱ级m92 承插钢筋混凝土管 Φ600mm Ⅱ级m180 承插钢筋混凝土管 Φ700mm Ⅱ级m198 承插钢筋混凝土管 Φ800mm Ⅱ级m240 承插钢筋混凝土管 Φ900mm Ⅱ级m285 冲水阀式座便器 CW705 北京套1045 冲水阀式座便器 CW708NJ 北京套1309 冲水阀式座便器冲水阀 DC601VB 北京套468 磁砖调整材 25kg+25kg 北京桶495 瓷力硅钙天花板 59559512-16 华美Ⅱ型 成都m229.8 刺桐 Φ25.1-30cm ,h:60m 成都株400 葱兰 0.30.3 cm 成都株0.6 葱兰 冠径20 cm 成都丛1 翠竹饰面板 244012202.7 四川张170 大果阿拉豆胡桃色实木地板 7607418mm 成都m2185 大桅子 冠径30-50cm 成都株2 大桅子 冠径80-100cm 成都株8 大小水切换式座便器 CW573BSWD573B 北京套1067 大小水切换式座便器 CW851BSWD782RB 北京套886 大小水切换式座便器 CW851BSWN851B 北京套1100 大小水切换式座便器 CW980KTC381CS 北京套1254 大小水切换式座便器 CW980KTC391 北京套1144 大跷板门铃开关 GPG33LB 广东个12.6 大跷板门铃开关带一位跷开关 GPG33LB/L1 广东个25.3 带二位单极开关二极及三极插座 GPX210US 广东个11.8 带二位孔的空白面板 GPX32 广东个4.2 带二位双路开关二极及三极插座 GPX210/2US 广东个12.6 带开关带灯三极扁脚插座 GPX110SN 广东个10.9 带开关带灯三极扁脚插座 GPX116SN 广东个10.1 带开关带灯三极方脚插座 GPX15N 广东个29.6 带开关带灯万用插座 GPX113SN 广东个13.5 带开关二极扁圆两用插座 GPX4US /1 广东个9.2 带开关二极及三极插座 GPX110US 广东个10.1 带开关三极扁脚插座 GPX110S个9.3 带开关三极扁脚插座 GPX116S 广东个10.4 带开关三极方脚插座 GPX15 广东个28.3 带开关万用插座 GPX113S 广东个11.8 带三位孔的空白面板 GPX33 广东个4.7 带双路开关二极及三极插座 GPX110/2US 广东个10.9 带四位孔的空白面板 GPX34 广东个5.1 带一分支电视插座 GPX31TV/1 广东个15.1 带一位孔的空白面板 GPX31 广东个3.8 单层弹性涂料 5合1、3成光 22kg 北京桶864 单层弹性涂料 多机能型 25kg 北京桶735 单层弹性涂料 功能型 25kg 北京桶585 单层弹性涂料 丝光型 22kg 北京桶900 单层弹性涂料 亚光型 22kg 北京桶615 弹性水泥(JS)防水涂料 SY-916 Ⅰ型 崇州kg9.5 弹性水泥底漆 15kg 北京桶261 弹性水泥砂浆 25kg+25kg 北京桶495 弹性体改性沥青防水卷材 SY-818 I.G.PE3mm 崇州m221 弹性体改性沥青防水卷材 SY-818 I.G.PE4mm 崇州m224 弹性体改性沥青防水卷材 SY-818 I.PY.PE3mm 崇州m224 弹性体改性沥青防水卷材 SY-818 I.PY.PE4mm 崇州m227 地砖 MR043 MR943 MR398333333 中山m2106.2 地砖 MR117 MR217 MR417333333 中山m2116.1 地砖 MR917 333333 中山m2151.2 第五大道亚克力无裙浴缸 CT-6848.002 合资套4580 电度1.01 电 基建施工度1.01 电磁式插匙取电节能开关 GPX31KT+X31KT 广东个81.1 电视插座功能件 MTV 广东个9.9 丁香球 h:1.2m,冠径100cm,土球50cm 成都株25 丁香球 冠径100-120cm 成都株30 丁香球 冠径80-100cm 成都株20 冬青 h:150-180cm 成都丛12 冬青 h:200,冠100cm 成都丛30 豆石 0.5-1cmm353 豆石 0.5-2cmm349 豆石 5-10m353 豆石 5-20m349 杜鹃 h:50cm,冠50cm,土球30cm 成都株3.5 杜鹃 冠幅2020cm 成都株2.2 杜英 D6cm 成都株100 杜英 D8cm 成都株180 杜英 Ф3.1-4cm 成都株40 杜英 Ф4.1-6cm,h:3-4m,冠250cm,土球50cm 成都株70 杜英 Ф5-6cm 成都株70 镀锌板 0.5mm-1.2mmt5400-5800 镀锌扁钢 各种规格 成都t3900 镀锌给水管管件综合 DN100(丝接)德阳m27.2 镀锌给水管管件综合 DN100(丝接)自贡m41.01 镀锌给水管管件综合 DN15(丝接) 德阳个0.89 镀锌给水管管件综合 DN15(丝接) 自贡m1.05 镀锌给水管管件综合 DN20(丝接) 德阳个1.35 镀锌给水管管件综合 DN20(丝接) 自贡m1.62 镀锌给水管管件综合 DN25(丝接) 德阳个2.2 镀锌给水管管件综合 DN25(丝接) 自贡m2.51 镀锌给水管管件综合 DN32(丝接) 德阳个3.48 镀锌给水管管件综合 DN32(丝接) 自贡m4.09 镀锌给水管管件综合 DN40(丝接) 德阳个3.99 镀锌给水管管件综合 DN40(丝接) 自贡m4.82 镀锌给水管管件综合 DN50(丝接) 德阳个6.9 镀锌给水管管件综合 DN50(丝接) 自贡m8.36 镀锌给水管管件综合 DN70(丝接) 德阳个11.95 镀锌给水管管件综合 DN70(丝接) 自贡m19.12 镀锌给水管管件综合 DN80(丝接) 德阳m14.9 镀锌给水管管件综合 DN80(丝接) 自贡m20.65 蹲式冲洗便器 CW8SBSW570B 北京套676 蹲式冲洗便器 CW8SBTCP01-32 北京套341 蹲式冲洗便器 CW9BSW570B 北京套798 蹲式冲洗便器 CW9BTCP01-32 北京套341 蹲式冲洗便器L型冲水管 DN005 北京套33 蹲式冲洗便器冲水阀 DC601VL 北京套407 蹲式冲洗便器冲水阀 DC601VS 北京套407 蹲式冲洗便器冲水管连接金具 IDP003Z 北京套28 多层实木复合地板 橡木 101#AS620 四川m2125 多层实木复合地板 橡木 101#AS625 四川m2115 多层实木复合地板 橡木 101#AS632 四川m2125 二等锯材m31620 二极及三极插座 GPG410US 广东个109.9 二极及三极插座 GPX410US 广东个6.6 二极及三极插座带开关 GPG110US 广东个9.7 二极及三极插座带开关带灯 GPG110USN 广东个12.9 二桅子 h:0.8m,冠80cm 成都株5 二桅子 h:70cm,冠60cm,土球30cm 成都株3.5 二桅子 冠径3030cm 成都株2 二桅子 冠径51-70cm 成都株5 二桅子 冠径71-100cm 成都株8 二位5类通讯插座 GPX32RJ8/5A 广东个57.5 二位暗装胶盒 GPX257D/45 广东个5.3 二位暗装胶盒 GPX257DL/45 广东个4 二位单极大跷板开关 GPG32L1 广东个10.9 二位单极大跷板开关带灯 GPG32L1N 广东个16.3 二位单极开关 GPX32/1 广东个6.6 二位电话插座 GPX32RJ 广东个27.9 二位电话插座 GPX4RJ2 广东个26.7 二位电视插座 GPX32TV 广东个21.1 二位二极扁圆两用插座 GPX4US2 广东个7.5 二位宽频有线电视插座 GPX32TVF 广东个40.5 二位两极扁圆两用插座 GPG4US2 广东个8.1 二位双路大跷板开关 GPG31L2 广东个8.6 二位双路大跷板开关 GPG32L2 广东个13.3 二位双路开关 GPX32/2 广东个7.7 二位通讯信息插座 GPX32RJ8 广东个33.7 二位英式电话插座 GPX6BT2 广东个45.6 法国冬青 h:120150cm 成都株28 法国樱桃装饰面板 244012202.7 四川张55 法兰 1.6MPaDN125 国产个67.49 法兰 1.6MPaD250 国产个206.29 法兰 1.6MPaD300 国产个238.42 法兰 1.6MPaD350 国产个306.91 法兰 1.6MPaD400 国产个408.33 矾土水泥 郑州t760 防潮板(白板) 2440122015mm 四川张66 防潮板(彩板) 2440122015mm 四川张80 防火调节阀70C常开 1250500 成都个412 防火调节阀70C常开 1250800 成都个550 防火调节阀70C常开 1600500 成都个500 防火调节阀70C常开 400200 成都个133 防火调节阀70C常开 500250 成都个162 防火调节阀70C常开 500400 成都个200 防火调节阀70C常开 600500 成都个250 防火调节阀70C常开 6301000 成都个401 防火调节阀70C常开 800500 成都个300 防火调节阀70C常开 800630 成都个343 防火阀280C常开 1000500 成都个394 防火阀280C常开 1500500 成都个488 防火阀70C常开 1000400 成都个311 防火阀70C常开 1000500 成都个350 防火阀70C常开 1400630 成都个516 防火阀70C常开 1600500 成都个300 防火阀70C常开 1800630 成都个630 防火阀70C常开 20002000 成都个1700 防火阀70C常开 200630 成都个172 防火阀70C常开 22002000 成都个1833 防火阀70C常开 400200 成都个133 防火阀70C常开 400320 成都个160 防火阀70C常开 8001100 成都个467 防火阀70C常开 800500 成都个200 防火阀70C常开 Ф1100 成都个743 防火阀70C常开 Ф850 成都个458 放水胶(B型胶) 20kg 广东桶373 放水胶(B型胶) 8kg 广东桶228 放水胶(C型胶) 20kg 广东桶397 放水胶(C型胶) 5kg 广东桶108 非焦油聚氨酯防水涂料 SY-919 20kg/桶 崇州kg13.5 非洲樱桃饰面板 244012202.7 四川张62 非洲樱桃装饰面板 244012203.0 湖北张94 非洲柚木实木地板 6109818mm 成都m2116 飞鱼香樟装饰面板 244012202.5 四川张32 分体座便器 CW703RBSW707B 北京套671 分体座便器 CW703RBSW707RB 北京套671 分体座便器 CW704RBSW706B 北京套798 分体座便器 CW704RBSW706RB 北京套798 分体座便器 CW732RBSW782RB 北京套814 分体座便器 CW732RBSW785B 北京套814 分体座便器 CW744RBSW743B 北京套979 分体座便器 CW744RBSW784B 北京套979 分体座便器 CW745B 北京套979 分体座便器 CW764BT305 北京套1089 分体座便器 CW764BT400 北京套1089 分体座便器 CW792RBSW785B 北京套814 分体座便器 CW792RBSWN782RB 北京套814 分体座便器 CW804BT305TC394CS 北京套1512 分体座便器 CW804BT305TC394CSK 北京套1595 分体座便器 CW804BT400TC394CS 北京套1512 分体座便器 CW804BT400TC394CSK 北京套1595 分体座便器 CW850B 北京套1039 分体座便器 CW851B 北京套1100 分体座便器 CW88BT305 北京套1056 分体座便器 CW88BT400 北京套1056 封闭底漆 P-101 22kg 北京桶302 封闭底漆 P-101 7kg 北京桶106 封闭底漆 P-106 22kg 北京桶360 封闭底漆 P-106 7kg 北京桶111 封闭底漆 P-108 22kg 北京桶473 封闭底漆 P-108 7kg 北京桶146 封底漆 25kg 北京桶351 氟碳型金属漆 Ⅰ 20kg 北京桶1875 氟碳型金属漆 ⅠB材 15kg 北京桶1499 氟碳型金属漆 Ⅱ 20kg 北京桶2100 氟碳型金属漆 ⅡB材 15kg 北京桶1650 氟碳型金属漆 Ⅲ 20kg 北京桶2475 氟碳型金属漆 ⅢB材 15kg 北京桶1920 氟碳型涂料 Ⅰ 20kg 北京桶1875 氟碳型涂料Ⅱ 20kg 北京桶2100 氟碳型涂料Ⅲ 20kg 北京桶2475 浮法白玻 10mm 成都m244 浮法白玻 12mm 成都m256 浮法白玻 15mm 成都m2130 浮法白玻 3mm 成都m220 浮法白玻 4mm 成都m224 浮法白玻 5mm 成都m230 浮法白玻 6mm 成都m235 浮法白玻 8mm 成都m240 浮法玻璃 3mmm220 浮法玻璃 4mmm224 浮法玻璃 5mmm234 浮法兰玻 5mm 成都m236 浮法绿玻 5mm 成都m238 浮法荼玻 5mm 成都m235 浮球阀(黄铜阀体) DN150 国产个6280 福建茶桩头 成都丛720 复层弹性涂料 凹凸状 25kg 北京桶360 复层弹性涂料 桔皮状 25kg 北京桶372 复层涂料 HORO状 25kg 北京桶368 复层涂料 浮雕漆 25kg 北京桶188 复层涂料 桔皮状 25kg 北京桶225 复合硅酸盐水泥 P.C32.5袋装(拉法基) 都江堰t370 复合硅酸盐水泥 P.C32.5散装(拉法基) 都江堰t350 改性石油沥青 SBS 广东t4900 改性石油沥青 SBS 四川t4300 甘巴豆实木地板 61012518mm 成都m2138 甘巴豆实木地板 6109518mm 成都m2116 甘巴豆实木地板 7609818mm 成都m2126 甘巴豆实木地板 9109818mm 成都m2120 感应式小便器 USW860CB 北京套5390 钢筋混凝土管 Φ1000mm轻型m285 钢筋混凝土管 Φ1200mm轻型m364 钢筋混凝土管 Φ1400mm轻型m498 钢筋混凝土管 Φ1500mm轻型m588 钢筋混凝土管 Φ300mm 轻型m30 钢筋混凝土管 Φ400mm 轻型m46 钢筋混凝土管 Φ500mm 轻型m54 钢筋混凝土管 Φ600mm 轻型m65 钢筋混凝土管 Φ700mm 轻型m105 钢筋混凝土管 Φ800mm 轻型m135 钢筋混凝土管 Φ900mm 轻型m168 钢筋混凝土窨井圈套140 钢塑给水管 DN100 四川m98.36 钢塑给水管 DN100 成都m122.27 钢塑给水管 DN125 四川m136.7 钢塑给水管 DN125 成都m163.8 钢塑给水管 DN15 四川m10.05 钢塑给水管 DN15 成都m12.84 钢塑给水管 DN150 四川m161.7 钢塑给水管 DN150 成都m207.9 钢塑给水管 DN20 四川m13.5 钢塑给水管 DN20 成都m16.72 钢塑给水管 DN200 成都m423 钢塑给水管 DN25 四川m19.17 钢塑给水管 DN25 成都m23.59 钢塑给水管 DN250 成都m607.5 钢塑给水管 DN300 成都m775.8 钢塑给水管 DN32 四川m26.17 钢塑给水管 DN32 成都m32.99 钢塑给水管 DN40 四川m30.01 钢塑给水管 DN40 成都m38.17 钢塑给水管 DN50 四川m40.67 钢塑给水管 DN50 成都m48.48 钢塑给水管 DN70 四川m55.85 钢塑给水管 DN70 成都m70.13 钢塑给水管 DN80 四川m75.01
展开阅读全文

开通  VIP会员、SVIP会员  优惠大
下载10份以上建议开通VIP会员
下载20份以上建议开通SVIP会员


开通VIP      成为共赢上传

当前位置:首页 > 环境建筑 > 工程造价

移动网页_全站_页脚广告1

关于我们      便捷服务       自信AI       AI导航        抽奖活动

©2010-2026 宁波自信网络信息技术有限公司  版权所有

客服电话:0574-28810668  投诉电话:18658249818

gongan.png浙公网安备33021202000488号   

icp.png浙ICP备2021020529号-1  |  浙B2-20240490  

关注我们 :微信公众号    抖音    微博    LOFTER 

客服