收藏 分销(赏)

(2007年10月第10期)成都市造价信息电子版.XLS

上传人:xiaol****an189 文档编号:8597 上传时间:2020-06-21 格式:XLS 页数:69 大小:316KB 下载积分:1 金币
下载 相关 举报
(2007年10月第10期)成都市造价信息电子版.XLS_第1页
第1页 / 共69页
(2007年10月第10期)成都市造价信息电子版.XLS_第2页
第2页 / 共69页


点击查看更多>>
资源描述
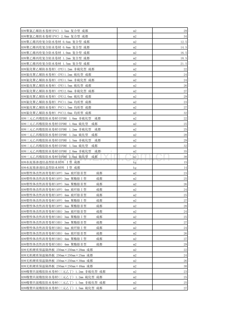
市市区区 材料名称、型号规格单位调整单价 EVA防水卷材 SY-878 1.0mm(单面)+300g无纺布 崇州m218 EVA防水卷材 SY-878 1.2mm(单面)+300g无纺布 崇州m220 EVA防水卷材 SY-878 1.2mm(双面) 崇州m216.5 EVA防水卷材 SY-878 1.5mm(单面)+300g无纺布 崇州m223 EVA防水卷材 SY-878 1.5mm(双面) 崇州m218.5 EVH泰柚装饰面板 244012202.7 四川张60 G.BM 轻钢烤漆龙骨 宽凹槽 B型 G.BM 广州m218.3 K99 EVA 高分子防水卷材 1.2mm 复合型 成都m226 K99 EVA 高分子防水卷材 1.2mm 均质型 成都m225 K99 EVA 高分子防水卷材 1.5mm 复合型 成都m229 K99 EVA 高分子防水卷材 1.5mm 均质型 成都m228 K99 EVA 高分子防水卷材 2.0mm 复合型 成都m234 K99 EVA 高分子防水卷材 2.0mm 均质型 成都m233 K99JS聚合物防水涂料 (Ⅰ) 成都kg12.5 K99JS聚合物防水涂料 (Ⅱ) 成都kg13 K99弹性体改性沥青卷材(APP) 3mm 玻纤胎Ⅰ型 成都m222 K99弹性体改性沥青卷材(SBS) 3mm 玻纤胎Ⅰ型 成都m222 K99改性沥青防水卷材 3mm-15℃玻纤胎 成都m216 K99改性沥青防水卷材 3mm-15℃聚酯胎 成都m218 K99改性沥青防水卷材 3mm-5℃玻纤胎 成都m211 K99改性沥青防水卷材 3mm-5℃聚酯胎 成都m213 K99改性沥青防水卷材 3mm-8℃玻纤胎 成都m213 K99改性沥青防水卷材 3mm-8℃聚酯胎 成都m215 K99改性沥青防水卷材 4mm-15℃玻纤胎 成都m220 K99改性沥青防水卷材 4mm-15℃聚酯胎 成都m222 K99改性沥青防水卷材 4mm-5℃玻纤胎 成都m212 K99改性沥青防水卷材 4mm-5℃聚酯胎 成都m214 K99改性沥青防水卷材 4mm-8℃玻纤胎 成都m215 K99改性沥青防水卷材 4mm-8℃聚酯胎 成都m217 K99环保型彩色丙烯酸防水涂料 Ⅰ型 成都kg12.5 K99环保型彩色丙烯酸防水涂料 Ⅱ型 成都kg13 K99环保型彩色聚氨酯防水涂料 Ⅰ型 成都kg18 K99环保型彩色聚氨酯防水涂料 Ⅱ型 成都kg18.5 K99挤塑聚苯乙烯保温板 250mm250mm20mm 成都m222 K99挤塑聚苯乙烯保温板 250mm250mm20mm 成都m224 K99挤塑聚苯乙烯保温板 250mm250mm20mm 成都m226 K99挤塑聚苯乙烯保温板 250mm250mm40mm 成都m230 K99胶粉聚苯颗粒保温系统 20mm保温层 成都m225 K99胶粉聚苯颗粒保温系统 25mm保温层 成都m227 K99胶粉聚苯颗粒保温系统 30mm保温层 成都m229 K99胶粉聚苯颗粒保温系统 40mm保温层 成都m233 K99聚苯乙烯保温板 250mm250mm20mm 成都m222 K99聚苯乙烯保温板 250mm250mm25mm 成都m224 K99聚苯乙烯保温板 250mm250mm30mm 成都m226 K99聚苯乙烯保温板 250mm250mm40mm 成都m230 K99聚氯乙烯防水卷材(PVC) 1.2mm 复合型 成都m225 K99聚氯乙烯防水卷材(PVC) 1.5mm 复合型 成都m229 K99聚氯乙烯防水卷材(PVC) 2.0mm 复合型 成都m234 K99聚乙烯丙纶复合防水卷材 0.6mm 复合型 成都m212.5 K99聚乙烯丙纶复合防水卷材 0.8mm 复合型 成都m214.5 K99聚乙烯丙纶复合防水卷材 1.0mm 复合型 成都m216.5 K99聚乙烯丙纶复合防水卷材 1.2mm 复合型 成都m218.5 K99聚乙烯丙纶复合防水卷材 1.5mm 复合型 成都m221.5 K99氯化聚乙烯防水卷材( CPE)1.2mm 非硫化型 成都m222 K99氯化聚乙烯防水卷材( CPE)1.2mm 硫化型 成都m224 K99氯化聚乙烯防水卷材( CPE)1.5mm 非硫化型 成都m224 K99氯化聚乙烯防水卷材( CPE)1.5mm 硫化型 成都m226 K99氯化聚乙烯防水卷材( CPE)2.0mm 非硫化型 成都m227 K99氯化聚乙烯防水卷材( CPE)2.0mm 硫化型 成都m229 K99氯化聚乙烯防水卷材( PVC)1.2mm 均质型 成都m223 K99氯化聚乙烯防水卷材( PVC)1.5mm 均质型 成都m227 K99氯化聚乙烯防水卷材( PVC)2.0mm 均质型 成都m232 K99三元乙丙橡胶防水卷材(EPDM) 1.0mm 非硫化型 成都m222 K99三元乙丙橡胶防水卷材(EPDM) 1.0mm 硫化型 成都m225 K99三元乙丙橡胶防水卷材(EPDM) 1.2mm 非硫化型 成都m225 K99三元乙丙橡胶防水卷材(EPDM) 1.2mm 硫化型 成都m228 K99三元乙丙橡胶防水卷材(EPDM) 1.5mm 非硫化型 成都m229 K99三元乙丙橡胶防水卷材(EPDM) 1.5mm 硫化型 成都m232 K99三元乙丙橡胶防水卷材(EPDM) 2.0mm 非硫化型 成都m235 K99三元乙丙橡胶防水卷材(EPDM) 2.0mm 硫化型 成都m238 K99水泥基渗透结晶型防水材料 Ⅰ型 成都kg15 K99水泥基渗透结晶型防水材料 Ⅰ型 成都kg14 K99塑性体改性沥青卷材(APP) 3mm 玻纤胎Ⅱ型 成都m223 K99塑性体改性沥青卷材(APP) 3mm 聚酯胎Ⅰ型 成都m225 K99塑性体改性沥青卷材(APP) 3mm 聚酯胎Ⅱ型 成都m226 K99塑性体改性沥青卷材(APP) 4mm 玻纤胎Ⅰ型 成都m224 K99塑性体改性沥青卷材(APP) 4mm 玻纤胎Ⅱ型 成都m225 K99塑性体改性沥青卷材(APP) 4mm 聚酯胎Ⅰ型 成都m227 K99塑性体改性沥青卷材(APP) 4mm 聚酯胎Ⅱ型 成都m228 K99塑性体改性沥青卷材(SBS) 3mm 玻纤胎Ⅱ型 成都m224 K99塑性体改性沥青卷材(SBS) 3mm 聚酯胎Ⅰ型 成都m225 K99塑性体改性沥青卷材(SBS) 3mm 聚酯胎Ⅱ型 成都m227 K99塑性体改性沥青卷材(SBS) 4mm 玻纤胎Ⅰ型 成都m224 K99塑性体改性沥青卷材(SBS) 4mm 玻纤胎Ⅱ型 成都m226 K99塑性体改性沥青卷材(SBS) 4mm 聚酯胎Ⅰ型 成都m227 K99塑性体改性沥青卷材(SBS) 4mm 聚酯胎Ⅱ型 成都m229 K99无机硬质保温隔热板 250mm250mm20mm 成都m222 K99无机硬质保温隔热板 250mm250mm25mm 成都m224 K99无机硬质保温隔热板 250mm250mm30mm 成都m226 K99无机硬质保温隔热板 250mm250mm40mm 成都m230 K99橡塑共混橡胶防水卷材(三元乙丁) 1.2mm 非硫化型 成都m223 K99橡塑共混橡胶防水卷材(三元乙丁) 1.2mm 硫化型 成都m225 K99橡塑共混橡胶防水卷材(三元乙丁) 1.5mm 非硫化型 成都m225 K99橡塑共混橡胶防水卷材(三元乙丁) 1.5mm 硫化型 成都m227 K99橡塑共混橡胶防水卷材(三元乙丁) 2.0mm 非硫化型 成都m228 K99橡塑共混橡胶防水卷材(三元乙丁) 2.0mm 硫化型 成都m230 N型无石棉增强纤维硅酸钙板(百合板) 12202440(6-12)mm 佛山张120-280 N型无石棉增强纤维硅酸钙板(波特板) 12202440(9-12)mm 佛山张290-370 N型无石棉增强纤维硅酸钙板(樱花板) 12202440(5-12)mm 佛山张120-330 PP-R给水冷水管 PN1.0D202.0mm 成都m3.11 PP-R给水冷水管 PN1.25D202.3mm 成都m3.51 PP-R给水冷水管 PN1.25D252.8mm 成都m5.3 PP-R给水冷水管 PN1.25D323.6mm 成都m8.64 PP-R给水冷水管 PN1.60D404.5mm 成都m13.32 PP-R给水冷水管 PN1.60D505.6mm 成都m21.18 PP-R给水冷水管 PN1.60D637.1mm 成都m35.06 PP-R给水冷水管 PN2.060D758.4mm 成都m37.79 PP-R给水冷水管 PN2.0D11012.3mm 成都m111.51 PP-R给水冷水管 PN2.0D9010.1mm 成都m75.08 PP-R给水热水管 PN1.25D202.8mm 成都m4.04 PP-R给水热水管 PN1.25D203.4mm 成都m4.99 PP-R给水热水管 PN1.25D253.5mm 成都m6.15 PP-R给水热水管 PN1.25D254.2mm 成都m6.45 PP-R给水热水管 PN1.25D324.4mm 成都m9.57 PP-R给水热水管 PN1.60D325.4mm 成都m10.1 PP-R给水热水管 PN1.60D405.5mm 成都m15.93 PP-R给水热水管 PN1.60D406.7mm 成都m20.25 PP-R给水热水管 PN1.60D506.9mm 成都m24.88 PP-R给水热水管 PN1.60D508.4mm 成都m29.74 PP-R给水热水管 PN1.60D638.6mm 成都m39.05 PP-R给水热水管 PN2.060D6310.5mm 成都m46.14 PP-R给水热水管 PN2.0D11015.1mm 成都m136.89 PP-R给水热水管 PN2.0D7510.3mm 成都m56.81 PP-R给水热水管 PN2.0D7512.5mm 成都m75.33 PP-R给水热水管 PN2.0D9012.3mm 成都m91.43 PP-R给水热水管 PN2.0D9015mm 成都m111.48 PP-R给水热水管 PN2.5D11018.3mm 成都m165.9 PVC-U侧地漏 Φ110mm 四川个15.6 PVC-U简易地漏 Φ110mm 四川个5.9 PVC-U侧出水地漏 Φ55mm 四川个6.7 PVC-U侧地漏 Φ55mm 四川个4.33 PVC-U地坪清扫口 Φ110mm 四川个7.54 PVC-U方型雨水斗 Φ110mm 四川个19.5 PVC-U方型雨水斗 Φ160mm 四川个40.22 PVC-U高水封方地漏 Φ55mm 四川个8.98 PVC-U高水封圆地漏 Φ110mm 四川个25.71 PVC-U高水封圆地漏 Φ55mm 四川个8 PVC-U高水封圆地漏 Φ82mm 四川个18.23 PVC-U隔音降噪管 Ф1103.0mm 成都m15.61 PVC-U隔音降噪管 Ф1604.0mm 成都m30.16 PVC-U隔音降噪管 Ф552.0mm 成都m5.47 PVC-U隔音降噪管 Ф823.0mm 成都m11.33 PVC-U隔音降噪螺旋管 Ф1103.2mm 四川m17.18 PVC-U隔音降噪螺旋管 Ф1604.0mm 四川m33.2 PVC-U简易地漏 Φ55mm 四川个3.39 PVC-U可调整式地漏 Φ55mm 四川个8 PVC-U螺旋管 Ф1103.2mm 成都m18.03 PVC-U螺旋管 Ф1104.0mm 成都m22.3 PVC-U排水管 Ф1102.8mm 成都m15.61 PVC-U排水管 Ф1103.2mm 成都m17.18 PVC-U排水管 Ф1603.2mm 成都m28.29 PVC-U排水管 Ф1604.0mm 成都m35.2 PVC-U排水管 Ф1604.7mm 成都m39.89 PVC-U排水管 Ф2003.9mm 成都m42.64 PVC-U排水管 Ф2004.9mm 成都m53.57 PVC-U排水管 Ф2005.9mm 成都m64.5 PVC-U排水管 Ф2008.0mm 成都m87.44 PVC-U排水管 Ф2504.9mm 成都m67.35 PVC-U排水管 Ф2506.2mm 成都m85.22 PVC-U排水管 Ф2507.3mm 成都m100.34 PVC-U排水管 Ф2509.6mm 成都m132.68 PVC-U排水管 Ф362.0mm 川路m3.81 PVC-U排水管 Ф422.0mm 川路m4.25 PVC-U排水管 Ф552.0mm 川路m5.47 PVC-U排水管 Ф822.8mm 川路m11.33 PVC-U排水管(扩口) Ф2008.0mm 成都m94.7 PVC-U双壁波纹管S1级 200mm 四川m40 PVC-U双壁波纹管S1级 250mm 四川m53.38 PVC-U双壁波纹管S1级 315mm 四川m71.27 PVC-U双壁波纹管S1级 400mm 四川m122.46 PVC-U双壁波纹管S2级 200mm 四川m45.48 PVC-U双壁波纹管S2级 250mm 四川m64.22 PVC-U双壁波纹管S2级 315mm 四川m89.05 PVC-U双壁波纹管S2级 400mm 四川m131.8 PVC-U吐水口 Φ110mm 四川个13.16 PVC-U芯层发泡埋地排污管(S1型) 2004.9mm 四川m41.52 PVC-U芯层发泡埋地排污管(S1型) 2006.3mm 四川m50.4 PVC-U芯层发泡埋地排污管(S1型) 2506.2mm 四川m67.36 PVC-U芯层发泡埋地排污管(S2型) 2004.9mm 四川m47.68 PVC-U芯层发泡埋地排污管(S2型) 2006.3mm 四川m52.56 PVC-U芯层发泡埋地排污管(S2型) 2507.8mm 四川m80.08 PVC-U圆型雨水斗 Φ110mm 四川个15.74 PVC防水卷材 SY-868 1.2mm 崇州m223 PVC防水卷材 SY-868 1.5mm 崇州m226 PVC防水卷材 SY-868 2mm 崇州m230 WTAPP改性沥青卷材 聚酯胎 3mmⅠ型GB18243-2000 资阳m220 WTAPP改性沥青卷材 聚酯胎 4mmⅠ型GB18243-2000 资阳m225 WTPVC土工膜 0.8mm GB17688-1999 资阳m219 WTPVC土工膜 0.9mm GB17688-1999 资阳m221 WTPVC土工膜 1.0mm GB17688-1999 资阳m223 WTPVC土工膜 1.1mm GB17688-1999 资阳m225 WTPVC土工膜 1.2mm GB17688-1999 资阳m227 WTSBS改性沥青卷材 聚酯胎 3mmⅠ型GB18242-2000 资阳m221 WTSBS改性沥青卷材 聚酯胎 4mmⅠ型GB18242-2000 资阳m226 WT非焦油聚氨酯防水涂料Ⅰ型 GB/T19250-2003 资阳kg12.5 WT非焦油聚氨酯防水涂料Ⅱ型 GB/T19250-2003 资阳kg14 WT宽幅PVC高分子防水卷材 1.0mmⅠN类GB12952-2003 2.4m 宽 资阳m224 WT宽幅PVC高分子防水卷材 1.2mmⅠN类GB12952-2003 2.4m 宽 资阳m228.5 WT宽幅PVC高分子防水卷材 1.5mmⅠN类GB12952-2003 2.4m 宽 资阳m234 WT宽幅PVC高分子防水卷材 2.0mmⅠN类GB12952-2003 2.4m 宽 资阳m240 “宏源”-彩色沥青瓦 1000mm330mm 山东m235 “美特”穿孔吸音板 5955955-10 成都m260-120 艾利信吸音装饰板 244012815mm 广东m2275 安居漆 20kg 广东桶250 安居漆 6kg 广东桶145 巴蒂木实木地板 61011818mm 成都m2155 巴西酸枝树根饰面板 244012202.7 四川张170 白冰树饰面板 244012202.7 四川张320 白枫饰面板 244012202.7 四川张78 白聚脂底漆 5kg 广东套140 白聚脂底漆 9kg 广东套217 白石子t357 白石子(方解石)t357 白水泥kg0.5 白水泥t500 白水泥 二级白度t500 白松、樟子松锯材 4M以上自然宽 成都m31800-1900 白松、樟子松原木 4M以上Ф20-30cm以内 俄、蒙m31600-1720 白松、樟子松原木 4M以上Ф30cm以上 东北俄m31700-1820 白橡(山纹)饰面板 244012202.7 四川张68 白橡(直纹)饰面板 244012202.7 四川张68 斑马木饰面板 244012202.7 四川张70 斑马木饰面板 244012202.7 四川张64 斑马木帖面板 244012003mm 广东张78 斑竹 3-5cm 成都株14 斑竹 5-7cm 成都株16 半哑光水晶清面漆 5kg 广东套142 半哑水晶清面漆 9kg 广东套230 丙烯酸防水涂料 SY-918 Ⅰ型25kg/桶 崇州kg10 菠萝格实木地板 6109318mm 成都m2130 菠萝格实木地板 76012218mm 成都m2155 菠萝格实木地板 9009218mm 成都m2135 菠萝格实木地板 91012218mm 成都m2166 波士顿加长型加体座厕连水箱配件 34845A-0 南海个3220 波士顿加长型加体座厕连水箱配件 34845A-0-32 南海个3450 不锈钢管 各种规格综合 浙江t40550 不锈钢纱窗m265 彩色沥青油毡瓦 SY-819 1000mm330mmm232 彩色路沿石 1000150350mm 成都m24 彩色抛光方块砖 成都m242-46 彩色嵌边石 1000100150mm 成都m20 彩色石子t455 彩色砼方块砖 成都m236 槽钢 Q235 18# 鞍钢t3700-3900 柴油 0#kg5.67 柴油 基建施工0#kg5.67 超级丝光(护墙宝) 20kg 广东桶715 超级丝光(护墙宝) 6kg 广东桶240 超级哑光乳胶漆 20kg 广东桶370 超级哑光乳胶漆 6kg 广东桶150 成品铝合金屏风 板厚65mm 广州m21000 承插钢筋混凝土管 Φ1000mmⅡ级m460 承插钢筋混凝土管 Φ1200mmⅡ级m640 承插钢筋混凝土管 Φ1400mmⅡ级m850 承插钢筋混凝土管 Φ1500mmⅡ级m950 承插钢筋混凝土管 Φ1600mmⅡ级m1050 承插钢筋混凝土管 Φ1800mmⅡ级m1580 承插钢筋混凝土管 Φ400mm Ⅱ级m78 承插钢筋混凝土管 Φ500mm Ⅱ级m92 承插钢筋混凝土管 Φ600mm Ⅱ级m150 承插钢筋混凝土管 Φ700mm Ⅱ级m198 承插钢筋混凝土管 Φ800mm Ⅱ级m260 承插钢筋混凝土管 Φ900mm Ⅱ级m300 瓷力硅钙天花板 59559512-16 华美Ⅱ型 成都m229.8 翠竹饰面板 244012202.7 四川张170 大果阿拉豆胡桃色实木地板 7607418mm 成都m2185 大翘板门铃开关 C8CP 250V 16A 广东个8.32 大翘板门铃开关 JC61QML 10A 255V 广东个7.25 大翘板门铃开关 NB8QML大 250V 16A 广东个14.44 带二开关二极插座 NB8102K2 250V 10A 广东个18.4 带二开关二三极插座 JC61023K2 10A 250V 广东个11.25 带二开关三极插座 JC6103K2 10A 250V 广东个10.75 带二位开关二三极(万能)插座 C8USW/2 250V 16A 广东个23.29 带二位开关二三极插座 C8US/2 250V 16A 广东个26.28 带二位双路开关 NB8102K2/2 250V 10A 广东个19.78 带开关二二极插座 NB81022K 250V 10A 广东个18.4 带开关二极插座 C815U 250V 10A 广东个10.44 带开关二极插座 C8U/C2 250V 10A 广东个13.43 带开关二极插座 JC6102K 10A 250V 广东个8 带开关二极插座 NB8102K 250V 10A 广东个15.82 带开关二三极插座 C8/10S4 250V 10A 广东个14.31 带开关二三极插座 C8U2/C 250V 10A 广东个12.7 带开关二三极插座 JC61023K 10A 250V 广东个9.75 带开关二三极插座 NB81022K 250V 10A 广东个18.4 带开关二三极插座 NB81023KL 250V 10A 广东个22.82 带开关二三极插座(带保护门) JC61023BK 10A 250V 广东个10.63 带开关三极插座 C8/16C 250V 10A 广东个14.45 带开关三极插座 C815/10S 250V 10A 广东个11.32 带开关三极插座 JC6103K 10A 250V 广东个8.25 带开关万能三极插座 C815/10SW 250V 10A 广东个12.12 带门铃一位单极大翘板开关 JC62Q/1ML 10A 250V 广东个9.75 带门铃一位单极大翘板开关 JC62Q/2ML 10A 250V 广东个11 带门铃一位单极开关 JC62K/1ML 广东个7.75 带双路二二极开关插座 NB81022K/2 250V 10A 广东个19.78 带双路开关二三极插座 NB81023K/2L 250V 10A 广东个27.32 带双路开关二三极插座 NB81023K/2L 250V 10A 广东个19.78 带延时电磁式插钥匙取电节能开关 JC6DC/Y 20A 250V 广东个75 丹圣半柱洗脸盆 327511-0-1 南海个1080 丹圣半柱洗脸盆 327512-0-1 南海个950 丹圣挂墙式座厕 346517-0-0 南海个1630 丹圣挂墙式座厕 346517-0-2 南海个1820 丹圣净身盆 357514 西班牙个1300 丹圣立柱洗脸盆 327511-0-0 南海个1110 丹圣立柱洗脸盆 327512-0-0 南海个980 丹圣连体座厕 349517-0-0 南海个2900 丹圣连体座厕 349517-0-2 南海个3090 丹圣连体座厕 349518-0-0 南海个2900 丹圣连体座厕 349518-0-2 南海个3090 丹圣台上式洗脸盆 327515 南海个750 丹圣座厕 3484AE-0-0 南海个1820 丹圣座厕 3484AE-0-2 南海个2020 丹圣座厕 3484AI-0-0 南海个1820 丹圣座厕 3484AI-0-2 南海个2020 单二极插座 C8U 250V 10A 广东个6.86 单极开关电子调光器 JC6TG/K 500W 250V 广东个26.25 单极开关电子调光器 JC6TS/K 400W 250V 广东个26.25 单三极插座 C8/10S 250V 10A 广东个7.45 单三极插座 C8/16CS16A 250V 10A 广东个11.02 单指示门铃开关 JC6ML/S 10A 250V 广东个37.25 单组份聚氨酯防水涂料 SY-919 25kg/桶 崇州kg17 弹性六合一 20kg 广东桶815 弹性六合一 6kg 广东桶310 弹性三合一 20kg 广东桶725 弹性三合一 6kg 广东桶245 弹性水泥(JS)防水涂料 SY-916 Ⅰ型 崇州kg8 弹性体改性沥青防水卷材 SY-818 I.G.PE3mm 崇州m223 弹性体改性沥青防水卷材 SY-818 I.G.PE4mm 崇州m226 弹性体改性沥青防水卷材 SY-818 I.PY.PE3mm 崇州m226 弹性体改性沥青防水卷材 SY-818 I.PY.PE4mm 崇州m229 迪科纶吸音装饰艺术板 24201220mm 韩国m2298 电度1.01 电 基建施工度1.01 电话、电视带三极二位插座 C8U3/TVT 250V 16A 广东个36.35 电话带二三极插座 C8TV/US 250V 10A 广东个20.15 电话带万能插座 C8T/10SW 广东个16.28 电缆 VV-0.6/1KV-11.5 四川km1872 电缆 VV-0.6/1KV-110 四川km7074 电缆 VV-0.6/1KV-1120 四川km64800 电缆 VV-0.6/1KV-1150 四川km80460 电缆 VV-0.6/1KV-116 四川km9864 电缆 VV-0.6/1KV-1185 四川km101160 电缆 VV-0.6/1KV-12.5 四川km2358 电缆 VV-0.6/1KV-1240 四川km129600 电缆 VV-0.6/1KV-125 四川km14526 电缆 VV-0.6/1KV-1300 四川km162360 电缆 VV-0.6/1KV-135 四川km18738 电缆 VV-0.6/1KV-14 四川km3330 电缆 VV-0.6/1KV-1400 四川km214200 电缆 VV-0.6/1KV-150 四川km27000 电缆 VV-0.6/1KV-16 四川km4392 电缆 VV-0.6/1KV-170 四川km36720 电缆 VV-0.6/1KV-195 四川km51120 电缆 VV-0.6/1KV-21.5 四川km4446 电缆 VV-0.6/1KV-210 四川km15192 电缆 VV-0.6/1KV-2120 四川km130680 电缆 VV-0.6/1KV-2150 四川km161100 电缆 VV-0.6/1KV-216 四川km22140 电缆 VV-0.6/1KV-2185 四川km205200 电缆 VV-0.6/1KV-22.5 四川km5526 电缆 VV-0.6/1KV-2240 四川km263340 电缆 VV-0.6/1KV-225 四川km32220 电缆 VV-0.6/1KV-2300 四川km329400 电缆 VV-0.6/1KV-235 四川km40680 电缆 VV-0.6/1KV-24 四川km7974 电缆 VV-0.6/1KV-250 四川km57240 电缆 VV-0.6/1KV-26 四川km10368 电缆 VV-0.6/1KV-270 四川km75060 电缆 VV-0.6/1KV-295 四川km104940 电缆 VV-0.6/1KV-31.5 四川km5148 电缆 VV-0.6/1KV-310 四川km20340 电缆 VV-0.6/1KV-310+16 四川km24120 电缆 VV-0.6/1KV-310+26 四川km31680 电缆 VV-0.6/1KV-3120 四川km194400 电缆 VV-0.6/1KV-3120+135 四川km225000 电缆 VV-0.6/1KV-3120+270 四川km276498 电缆 VV-0.6/1KV-3150 四川km241200 电缆 VV-0.6/1KV-3150+150 四川km277200 电缆 VV-0.6/1KV-3150+270 四川km330156 电缆 VV-0.6/1KV-316 四川km31140 电缆 VV-0.6/1KV-316+16 四川km32760 电缆 VV-0.6/1KV-316+210 四川km47718 电缆 VV-0.6/1KV-3185 四川km306000 电缆 VV-0.6/1KV-3185+150 四川km348660 电缆 VV-0.6/1KV-3185+295 四川km409140 电缆 VV-0.6/1KV-32.5 四川km6858 电缆 VV-0.6/1KV-32.5+11.5 四川km10494 电缆 VV-0.6/1KV-32.5+21.5 四川km11862 电缆 VV-0.6/1KV-3240 四川km392400 电缆 VV-0.6/1KV-3240+170 四川km446400 电缆 VV-0.6/1KV-3240+2120 四川km527580 电缆 VV-0.6/1KV-325 四川km45180 电缆 VV-0.6/1KV-325+110 四川km54180 电缆 VV-0.6/1KV-325+216 四川km70020 电缆 VV-0.6/1KV-3300+2150 四川km703800 电缆 VV-0.6/1KV-335 四川km58680 电缆 VV-0.6/1KV-335+110 四川km69120 电缆 VV-0.6/1KV-335+216 四川km84294 电缆 VV-0.6/1KV-34 四川km9792 电缆 VV-0.6/1KV-34+11.5 四川km12276 电缆 VV-0.6/1KV-34+21.5 四川km15768 电缆 VV-0.6/1KV-350 四川km81180 电缆 VV-0.6/1KV-350+116 四川km95400 电缆 VV-0.6/1KV-350+225 四川km116478 电缆 VV-0.6/1KV-36 四川km13104 电缆 VV-0.6/1KV-36+14 四川km19620 电缆 VV-0.6/1KV-36+24 四川km22356 电缆 VV-0.6/1KV-370 四川km109440 电缆 VV-0.6/1KV-370+125 四川km128160 电缆 VV-0.6/1KV-370+235 四川km154080 电缆 VV-0.6/1KV-395 四川km150300 电缆 VV-0.6/1KV-395+135 四川km181800 电缆 VV-0.6/1KV-395+250 四川km212940 电缆 VV-0.6/1KV-41.5 四川km8280 电缆 VV-0.6/1KV-410 四川km27180 电缆 VV-0.6/1KV-410+16 四川km32994 电缆 VV-0.6/1KV-4120 四川km255600 电缆 VV-0.6/1KV-4120+170 四川km299340 电缆 VV-0.6/1KV-4150 四川km318600 电缆 VV-0.6/1KV-4150+170 四川km350640 电缆 VV-0.6/1KV-416 四川km40140 电缆 VV-0.6/1KV-416+110 四川km49140 电缆 VV-0.6/1KV-4185 四川km405000 电缆 VV-0.6/1KV-4185+195 四川km453600 电缆 VV-0.6/1KV-42.5 四川km11646 电缆 VV-0.6/1KV-42.5+11.5 四川km12060 电缆 VV-0.6/1KV-4240 四川km518400 电缆 VV-0.6/1KV-4240+1120 四川km606600 电缆 VV-0.6/1KV-425 四川km59940 电缆 VV-0.6/1KV-425+116 四川km70938 电缆 VV-0.6/1KV-435 四川km80100 电缆 VV-0.6/1KV-435+116 四川km93456 电缆 VV-0.6/1KV-44 四川km12942 电缆 VV-0.6/1KV-44+41.5 四川km16380 电缆 VV-0.6/1KV-450 四川km109440 电缆 VV-0.6/1KV-450+125 四川km127062 电缆 VV-0.6/1KV-46 四川km22140 电缆 VV-0.6/1KV-46+14 四川km26406 电缆 VV-0.6/1KV-470 四川km147600 电缆 VV-0.6/1KV-470+135 四川km171000 电缆 VV-0.6/1KV-495 四川km205200 电缆 VV-0.6/1KV-495+150 四川km233460 电缆 VV-0.6/1KV-51.5 四川km9954 电缆 VV-0.6/1KV-510 四川km36576 电缆 VV-0.6/1KV-5120 四川km333000 电缆 VV-0.6/1KV-5150 四川km409500 电缆 VV-0.6/1KV-516 四川km54882 电缆 VV-0.6/1KV-5185 四川km514800 电缆 VV-0.6/1KV-52.5 四川km12762 电缆 VV-0.6/1KV-5240 四川km664200 电缆 VV-0.6/1KV-525 四川km80460 电缆 VV-0.6/1KV-5300 四川km847800 电缆 VV-0.6/1KV-535 四川km102438 电缆 VV-0.6/1KV-54 四川km18360 电缆 VV-0.6/1KV-550 四川km141894 电缆 VV-0.6/1KV-56 四川km26820 电缆 VV-0.6/1KV-570 四川km198360 电缆 VV-0.6/1KV-595 四川km263340 电力电缆 VV0.6/1KV 310+16 成都 km21808.73 电力电缆 VV0.6/1KV 3120+170 成都 km203439.6 电力电缆 VV0.6/1KV 3150+170 成都 km250637.59 电力电缆 VV0.6/1KV 316+110 成都 km29620.81 电力电缆 VV0.6/1KV 3185+195 成都 km315250 电力电缆 VV0.6/1KV 32.5+11.5 成都 km9488.42 电力电缆 VV0.6/1KV 325+116 成都 km48988.26 电力电缆 VV0.6/1KV 335+116 成都 km62496.65 电力电缆 VV0.6/1KV 34+12.5 成都 km11099.66 电力电缆 VV0.6/1
展开阅读全文

开通  VIP会员、SVIP会员  优惠大
下载10份以上建议开通VIP会员
下载20份以上建议开通SVIP会员


开通VIP      成为共赢上传

当前位置:首页 > 环境建筑 > 工程造价

移动网页_全站_页脚广告1

关于我们      便捷服务       自信AI       AI导航        抽奖活动

©2010-2026 宁波自信网络信息技术有限公司  版权所有

客服电话:0574-28810668  投诉电话:18658249818

gongan.png浙公网安备33021202000488号   

icp.png浙ICP备2021020529号-1  |  浙B2-20240490  

关注我们 :微信公众号    抖音    微博    LOFTER 

客服