收藏 分销(赏)

五年级数学分数计算题.doc

上传人:天**** 文档编号:5192111 上传时间:2024-10-28 格式:DOC 页数:5 大小:200KB 下载积分:6 金币
下载 相关 举报
五年级数学分数计算题.doc_第1页
第1页 / 共5页
五年级数学分数计算题.doc_第2页
第2页 / 共5页


点击查看更多>>
资源描述
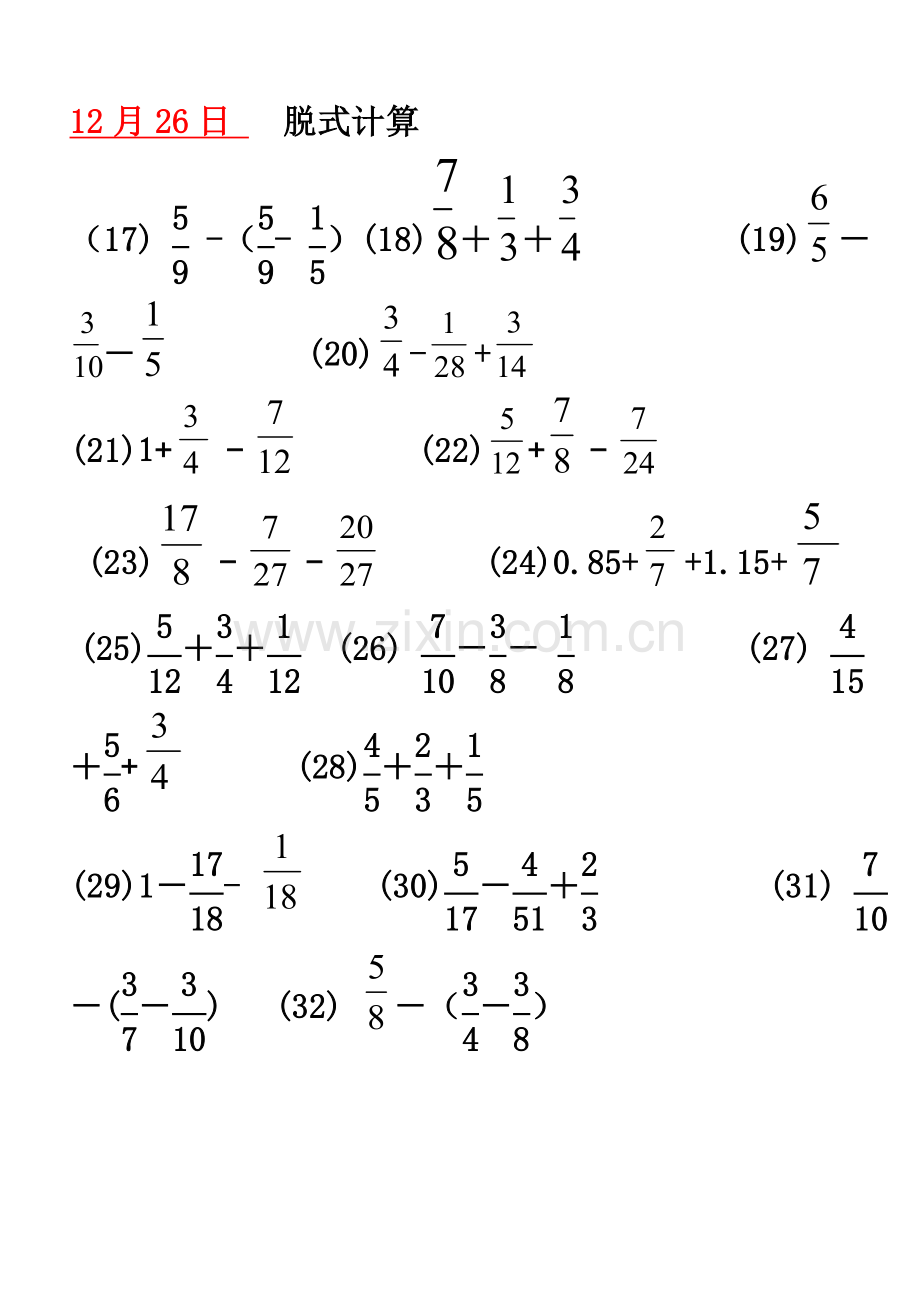
12月20日 计算下面各题,能简便计算的要简便计算。 (1) ++ (2) - + (3) -(-) (4) +(-) (5)-(- ) (6) -(- ) (7)6.12++2.88+ (8)-(+) (9) -(+ ) (10) +++ (11) ++- (12) - - (13) +(+ ) (14)- + (15)- + - (16) +- 12月26日 脱式计算 (17) -(- )(18)++   (19)--   (20)-+ (21)1+- (22)+- (23)-- (24)0.85++1.15+ (25)++ (26) -- (27) ++ (28)++ (29)1-- (30)-+ (31) -(-) (32) -(-) 1、人们把放大镜叫作凸透镜(边沿薄、中间厚、透明),它能把物体的图像放大,早在一千多年前,人们就发明了放大镜。放大镜在我们的生活、工作、学习中被广泛使用。 12月26日 2、人们通常处理垃圾的方法有填埋或焚烧。(33) +(-)(34) -+ (35)-+ (36)-- 16、空气是我们生命中生时每刻都需要的地球资源,大气污染影响着我们的健康,如大气中的飘尘易使呼吸系统发生病变。减少废气和废物排放是控制大气污染最根本的办法。(37) +++ (38) 6-- 6、化学变化伴随的现象有改变颜色、发光发热、产生气体、产生沉淀物。(39) -+- (40)-+ 一、填空:(41)+- (42) -(-) (43)-(- ) (44)+- (45)-(+ ) (46)+ (+) 一、填空:(47) -(+) (48) +++ 2、物质变化有快有慢,有些变化只改变了物质的形态、形状、大小,没有产生新的不同于原来的物质,我们把这类变化称为物理变化;有些变化产生了新的物质,我们把有新物质生成的变化称为化学变化。(49) + - + (50)-(- ) 12月29日 15、经过有效处理的废水,可以排放到湖泊、河流和海洋中,也可以渗入地下。(51) +(-) (52) - +    (53)2- (54) ++(+ ) (55) -(+) (56) + - 6、月球是一个不发光、不透明的球体,我们看到的月光是它反射太阳的光。(57)5--1   (58) +++     (59)-(-) (60)-(+) 答:水分和氧气是使铁容易生锈的原因。(61)+++ (62)+++ (63) -+ (64) 3-- (65)+++++ (66)1-+-+-+ (67)++++++
展开阅读全文

开通  VIP会员、SVIP会员  优惠大
下载10份以上建议开通VIP会员
下载20份以上建议开通SVIP会员


开通VIP      成为共赢上传

当前位置:首页 > 教育专区 > 小学数学

移动网页_全站_页脚广告1

关于我们      便捷服务       自信AI       AI导航        抽奖活动

©2010-2025 宁波自信网络信息技术有限公司  版权所有

客服电话:0574-28810668  投诉电话:18658249818

gongan.png浙公网安备33021202000488号   

icp.png浙ICP备2021020529号-1  |  浙B2-20240490  

关注我们 :微信公众号    抖音    微博    LOFTER 

客服