收藏 分销(赏)

(2006年6月第6期)成都市造价信息电子版.XLS

上传人:xiaol****an189 文档编号:5082 上传时间:2020-06-18 格式:XLS 页数:77 大小:353KB 下载积分:1 金币
下载 相关 举报
(2006年6月第6期)成都市造价信息电子版.XLS_第1页
第1页 / 共77页
(2006年6月第6期)成都市造价信息电子版.XLS_第2页
第2页 / 共77页


点击查看更多>>
资源描述
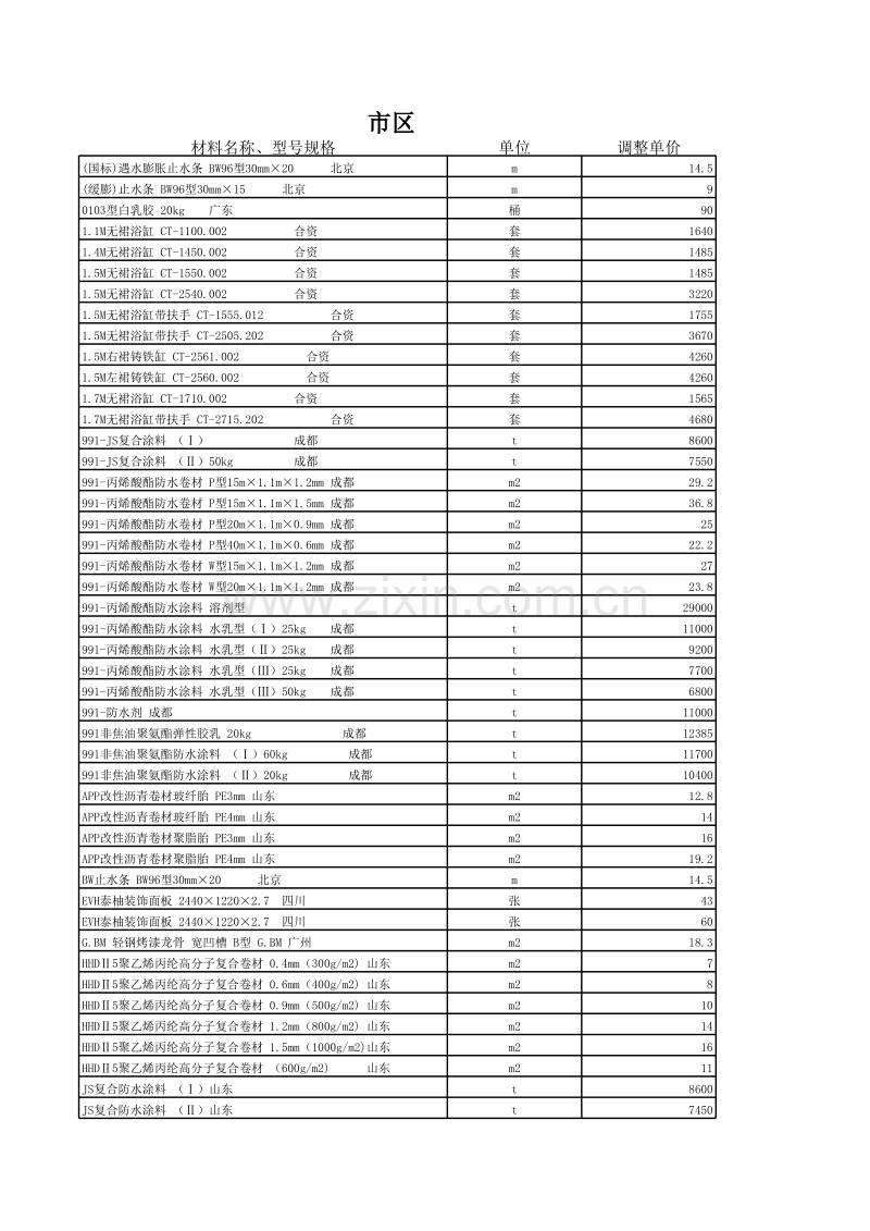
市市区区 材料名称、型号规格单位调整单价 (国标)遇水膨胀止水条 BW96型30mm20 北京m14.5 (缓膨)止水条 BW96型30mm15 北京m9 0103型白乳胶 20kg 广东桶90 1.1M无裙浴缸 CT-1100.002 合资套1640 1.4M无裙浴缸 CT-1450.002 合资套1485 1.5M无裙浴缸 CT-1550.002 合资套1485 1.5M无裙浴缸 CT-2540.002 合资套3220 1.5M无裙浴缸带扶手 CT-1555.012 合资套1755 1.5M无裙浴缸带扶手 CT-2505.202 合资套3670 1.5M右裙铸铁缸 CT-2561.002 合资套4260 1.5M左裙铸铁缸 CT-2560.002 合资套4260 1.7M无裙浴缸 CT-1710.002 合资套1565 1.7M无裙浴缸带扶手 CT-2715.202 合资套4680 991-JS复合涂料 (Ⅰ) 成都t8600 991-JS复合涂料 (Ⅱ)50kg 成都t7550 991-丙烯酸酯防水卷材 P型15m1.1m1.2mm 成都m229.2 991-丙烯酸酯防水卷材 P型15m1.1m1.5mm 成都m236.8 991-丙烯酸酯防水卷材 P型20m1.1m0.9mm 成都m225 991-丙烯酸酯防水卷材 P型40m1.1m0.6mm 成都m222.2 991-丙烯酸酯防水卷材 W型15m1.1m1.2mm 成都m227 991-丙烯酸酯防水卷材 W型20m1.1m1.2mm 成都m223.8 991-丙烯酸酯防水涂料 溶剂型t29000 991-丙烯酸酯防水涂料 水乳型(Ⅰ)25kg 成都t11000 991-丙烯酸酯防水涂料 水乳型(Ⅱ)25kg 成都t9200 991-丙烯酸酯防水涂料 水乳型(Ⅲ)25kg 成都t7700 991-丙烯酸酯防水涂料 水乳型(Ⅲ)50kg 成都t6800 991-防水剂 成都t11000 991非焦油聚氨酯弹性胶乳 20kg 成都t12385 991非焦油聚氨酯防水涂料 (Ⅰ)60kg 成都t11700 991非焦油聚氨酯防水涂料 (Ⅱ)20kg 成都t10400 APP改性沥青卷材玻纤胎 PE3mm 山东m212.8 APP改性沥青卷材玻纤胎 PE4mm 山东m214 APP改性沥青卷材聚脂胎 PE3mm 山东m216 APP改性沥青卷材聚脂胎 PE4mm 山东m219.2 BW止水条 BW96型30mm20 北京m14.5 EVH泰柚装饰面板 244012202.7 四川张43 EVH泰柚装饰面板 244012202.7 四川张60 G.BM 轻钢烤漆龙骨 宽凹槽 B型 G.BM 广州m218.3 HHDⅡ5聚乙烯丙纶高分子复合卷材 0.4mm(300g/m2) 山东m27 HHDⅡ5聚乙烯丙纶高分子复合卷材 0.6mm(400g/m2) 山东m28 HHDⅡ5聚乙烯丙纶高分子复合卷材 0.9mm(500g/m2) 山东m210 HHDⅡ5聚乙烯丙纶高分子复合卷材 1.2mm(800g/m2) 山东m214 HHDⅡ5聚乙烯丙纶高分子复合卷材 1.5mm(1000g/m2)山东m216 HHDⅡ5聚乙烯丙纶高分子复合卷材 (600g/m2) 山东m211 JS复合防水涂料 (Ⅰ)山东t8600 JS复合防水涂料 (Ⅱ)山东t7450 JS聚合物防水涂料 TT 杭州kg11.8 K99CPE氯化聚乙烯防水卷材 Ⅰ型 10m1m1.2mm 成都m222 K99CPE氯化聚乙烯防水卷材 Ⅰ型 10m1m1.5mm 成都m223 K99CPE氯化聚乙烯防水卷材 Ⅱ型 10m1m1.2mm 成都m225 K99CPE氯化聚乙烯防水卷材 Ⅱ型 10m1m1.5mm 成都m226 K99CPE氯化聚乙烯防水卷材粘合剂 (同材性专用)25Kg 成都kg15 K99EPDM三元乙丙橡胶卷材 Ⅰ型 10m1m1.2mm 成都m222 K99EPDM三元乙丙橡胶卷材 Ⅰ型 10m1m1.5mm 成都m229 K99EPDM三元乙丙橡胶卷材 Ⅱ型 10m1m1.2mm 成都m226 K99EPDM三元乙丙橡胶卷材 Ⅱ型 10m1m1.5mm 成都m230 K99EPDM三元乙丙橡胶卷材粘合剂 (同材性专用)25Kg 成都kg16 K99JS聚合物防水涂料 (Ⅰ)35Kg 成都kg8 K99JS聚合物防水涂料 (Ⅱ)35Kg 成都kg7 K99弹性体改性沥青防水卷材 Ⅰ.PY.S3 成都m222 K99弹性体改性沥青防水卷材 Ⅰ.PY.S4 成都m224 K99弹性体改性沥青防水卷材 Ⅱ.PY.S3 成都m227 K99弹性体改性沥青防水卷材 Ⅱ.PY.S4 成都m226 K99环保型彩色丙烯酸防水涂料 Ⅰ型 成都kg7.5 K99环保型彩色丙烯酸防水涂料 Ⅱ型 成都kg9 K99环保型彩色聚氨酯防水涂料 Ⅰ型 成都kg11.5 K99水泥基渗透结晶型防水材料 (Ⅰ)35Kg 成都(抗渗王)kg11 K99塑性体改性沥青防水卷材 Ⅰ.PY.S3 成都m221 K99塑性体改性沥青防水卷材 Ⅰ.PY.S4 成都m224 K99橡塑共混橡胶卷材 Ⅰ型 10m1m1.2mm 成都m222 K99橡塑共混橡胶卷材 Ⅰ型 10m1m1.5mm 成都m222 K99橡塑共混橡胶卷材 Ⅱ型 10m1m1.2mm 成都m223 K99橡塑共混橡胶卷材 Ⅱ型 10m1m1.5mm 成都m227 K99橡塑共混橡胶卷材粘合剂 (同材性专用)25Kg 成都kg15 PN止水条 BW96型30mm20 北京m14.5 PPR给水冷水管 S4 1.6Mpa DN110 成都m61.85 PPR给水冷水管 S4 1.6Mpa DN20 成都m2.15 PPR给水冷水管 S4 1.6Mpa DN25 成都m3.33 PPR给水冷水管 S4 1.6Mpa DN32 成都m5.01 PPR给水冷水管 S4 1.6Mpa DN40 成都m7.94 PPR给水冷水管 S4 1.6Mpa DN50 成都m12.78 PPR给水冷水管 S4 1.6Mpa DN63 成都m20.45 PPR给水冷水管 S4 1.6Mpa DN75 成都m28.85 PPR给水冷水管 S4 1.6Mpa DN90 成都m42.32 PPR给水冷水管 S5 1.25Mpa DN110 成都m48.06 PPR给水冷水管 S5 1.25Mpa DN20 成都m1.75 PPR给水冷水管 S5 1.25Mpa DN25 成都m2.52 PPR给水冷水管 S5 1.25Mpa DN32 成都m4.21 PPR给水冷水管 S5 1.25Mpa DN40 成都m6.52 PPR给水冷水管 S5 1.25Mpa DN50 成都m10.11 PPR给水冷水管 S5 1.25Mpa DN63 成都m16.04 PPR给水冷水管 S5 1.25Mpa DN75 成都m22.63 PPR给水冷水管 S5 1.25Mpa DN90 成都m32.26 PPR给水热水管 S2.5 2.5Mpa DN110 成都m98.52 PPR给水热水管 S2.5 2.5Mpa DN20 成都m3.3 PPR给水热水管 S2.5 2.5Mpa DN25 成都m5.12 PPR给水热水管 S2.5 2.5Mpa DN32 成都m8.43 PPR给水热水管 S2.5 2.5Mpa DN40 成都m13.08 PPR给水热水管 S2.5 2.5Mpa DN50 成都m20.32 PPR给水热水管 S2.5 2.5Mpa DN63 成都m32.36 PPR给水热水管 S2.5 2.5Mpa DN75 成都m45.87 PPR给水热水管 S2.5 2.5Mpa DN90 成都m66.04 PPR给水热水管 S3.2 2.0Mpa DN110 成都m79.16 PPR给水热水管 S3.2 2.0Mpa DN20 成都m2.45 PPR给水热水管 S3.2 2.0Mpa DN25 成都m4.15 PPR给水热水管 S3.2 2.0Mpa DN32 成都m6.7 PPR给水热水管 S3.2 2.0Mpa DN40 成都m10.48 PPR给水热水管 S3.2 2.0Mpa DN50 成都m16.42 PPR给水热水管 S3.2 2.0Mpa DN63 成都m25.83 PPR给水热水管 S3.2 2.0Mpa DN75 成都m36.81 PPR给水热水管 S3.2 2.0Mpa DN90 成都m52.78 PVC卷材 1.2mm 山东m229.8 PVC卷材 1.5mm 山东m232.5 PVC卷材 2.0mm 山东m235 REV黑胡桃山纹装饰面板 244012202.7 四川张38 R紫玫瑰装饰面板 244012202.7 四川张65 SBS改性沥青卷材玻纤胎 PE3mm 山东m218 SBS改性沥青卷材玻纤胎 PE4mm 山东m217.8 SBS改性沥青卷材聚脂胎 PE3mm 山东m219.55 SBS改性沥青卷材聚脂胎 PE4mm 山东m222 TM抗黄变哑光白面漆 5.5kg 广东套345 TM专用白底漆 5kg 广东套220 UPNC排水管 Ф1102.8mm 四川m15.61 UPNC排水管 Ф1103.2mm 四川m17.18 UPNC排水管 Ф1104.0mm 四川m22.3 UPNC排水管 Ф1603.2mm 四川m28.29 UPNC排水管 Ф1604.0mm 四川m35.2 UPNC排水管 Ф1604.7mm 四川m39.89 UPNC排水管 Ф2003.9mm 四川m42.64 UPNC排水管 Ф2004.9mm 四川m53.57 UPNC排水管 Ф2005.9mm 四川m64.5 UPNC排水管 Ф2008.0mm 四川m87.44 UPNC排水管 Ф2504.9mm 四川m77.35 UPNC排水管 Ф2506.2mm 四川m85.22 UPNC排水管 Ф2507.3mm 四川m100.34 UPNC排水管 Ф2509.6mm 四川m132.68 UPNC排水管 Ф362.0mm 四川m3.22 UPNC排水管 Ф422.0mm 四川m4.07 UPNC排水管 Ф552.0mm 四川m4.9 UPNC排水管 Ф822.8mm 四川m9.12 UPNC排水管(括口) Ф2008.0mm 四川m76.94 WPS-1000渗透性防水剂 50kg 石家庄t1000 WPS-4000渗透性沙浆防水剂 50kg 石家庄t50000 WT PVC土工膜 0.8mm GB17688-1999 资阳m219 WT PVC土工膜 0.9mm GB17688-1999 资阳m221 WT PVC土工膜 1.0mm GB17688-1999 资阳m223 WT PVC土工膜 1.1mm GB17688-1999 资阳m225 WT PVC土工膜 1.2mm GB17688-1999 资阳m227 WT SBS改性沥青卷材 聚酯胎 3mmⅠ型GB18242-2000 资阳m221 WT SBS改性沥青卷材 聚酯胎 3mmⅠ型GB18243-2000 资阳m220 WT SBS改性沥青卷材 聚酯胎 4mmⅠ型GB18242-2000 资阳m226 WT SBS改性沥青卷材 聚酯胎 4mmⅠ型GB18243-2000 资阳m225 WT非焦油聚氨酯防水涂料 Ⅰ型 GB/T19250-2003 资阳kg12.5 WT非焦油聚氨酯防水涂料 Ⅱ型 GB/T19250-2003 资阳kg14 WT宽幅PVC高分子防水卷材 1.0mmⅠ型N类GB12952-2003 2.4m宽资阳m224 WT宽幅PVC高分子防水卷材 1.2mmⅠ型N类GB12952-2003 2.4m宽资阳m228.5 WT宽幅PVC高分子防水卷材 1.5mmⅠ型N类GB12952-2003 2.4m宽资阳m234 WT宽幅PVC高分子防水卷材 2.0mmⅠ型N类GB12952-2003 2.4m宽资阳m240 “封板宝”清漆 5L 北京桶135 “美特”穿孔吸音板 5955955-10 成都m260-120 阿林顿3.5mm钢板无裙浴缸 CT-1744.002 合资套3700 阿林顿3.5mm钢板有裙浴缸带扶手 CT-1745.012 合资套4150 阿林顿3mm钢板有裙浴缸 CT-0740/0741.002 合资套4045 阿林顿3mm钢板有裙浴缸带扶手 CT-0740/0741.012 合资套4400 矮紫薇 h:35cm,冠30cm,土球20cm 成都株1.8 艾万斯亚克力有裙浴缸 CT-6530/6531 合资套3660 安提克美铸无裙浴缸 CT-2120.002 合资套3670 安提克美铸无裙浴缸带扶手 CT-2125.202 合资套4350 凹蒙玻璃 5mm 成都m280 凹蒙玻璃 5mm 青岛m2120 凹蒙玻璃 8mm 成都m2103 凹蒙玻璃 8mm 青岛m2165 奥顿亚克力无裙浴缸 CT-6508.002 合资套1690 奥顿亚克力有裙浴缸 CT-6502.002 合资套2250 芭蕉树 h:400-500cm 成都株10 巴蒂木实木地板 61011818mm 成都m2155 巴西酸枝树根饰面板 244012202.7 四川张170 白冰树饰面板 244012202.7 四川张320 白底漆 9.5kg 广东套280 白枫饰面板 244012202.7 四川张78 白乳胶 10kg 广东桶55 白乳胶 10kg 湖北桶72 白乳胶 10kg 四川桶40 白乳胶 2.5kg 广东桶17 白乳胶 20kg 湖北桶132 白乳胶 20kg 四川桶85 白乳胶 4kg 湖北桶30 白乳胶 5kg 广东桶22 白乳胶 5kg 四川桶16 白石子kg0.348 白石子t348 白石子(方解石)t348 白水泥kg0.49 白水泥t490 白水泥 二级白度t490 白松、樟子松锯材 4M以上自然宽 成都m31500-1570 白松、樟子松原木 4M以上Ф20-30cm以内 俄、蒙m31000-1420 白松、樟子松原木 4M以上Ф30cm以上 东北俄m31250-1500 白橡(山纹)饰面板 244012202.7 四川张68 白橡(直纹)饰面板 244012202.7 四川张68 白橡装饰面板 244012202.7 四川张53 白杨 Ф10cm 成都株90 白杨 Ф15cm 成都株150 白玉兰 Ф10cm 成都株900 白玉兰 Ф5.1-5.9cm 成都株150 白玉兰 Ф6cm 成都株480 百能牌聚合物水泥砂浆防水剂 FS-A1kg 深圳kg14.5 斑马木饰面板 244012202.7 四川张70 斑马木饰面板 244012202.7 四川张64 斑马木帖面板 244012003mm 广东张78 斑竹 3-5cm 成都株15 斑竹 5-7cm 成都株18 斑竹 Ф4.1-6cm,h:4-5m,冠100cm,土球60cm 成都株40 半哑清面漆 9.5kg 广东套315 宝丽雅铝塑板 122024403mm 内墙板 广东m280 宝丽雅铝塑板 122024404mm 外墙板 广东m2230-265 宝珠香 h:100cm,冠100cm,土球40cm 成都株35 北京卉 h:15cm 成都株1.5 贝壳砖 EV11-1 EV126 200400mm 中山m2135 贝壳砖 SQ120-1 SQ122-1 250333mm 中山m2117.6 贝壳砖 SQ120-2 SQ122-3 250333mm 中山m2216 扁二三极带开关插座 10A 250V GKB6/10S4 合资个18.69 冰裂玻璃 4+5+4mm 成都m2170 冰裂玻璃超板 5+5+5mm 成都m2218 菠萝格实木地板 6109318mm 成都m2130 菠萝格实木地板 76012218mm 成都m2155 菠萝格实木地板 9009218mm 成都m2135 菠萝格实木地板 91012218mm 成都m2166 不变黄纯正聚脂白底漆 2.8kg0.7kg3kg成都套222 不变黄纯正聚脂白面漆(亮光/半哑/全哑) 2.8kg0.7kg3kg成都套270 不锈钢管 DN15-20 浙江t39000 不锈钢管 DN20(管外径19壁厚0.8)浙江t37000 不锈钢截止阀 J41H-16C DN100 上海只588 不锈钢截止阀 J41H-16C DN150 上海只701 不锈钢截止阀 J41H-16C DN40 上海只218.4 不锈钢截止阀 J41H-16C DN50 上海只266 不锈钢截止阀 J41H-16C DN65 上海只384 不锈钢截止阀 J41H-16C DN80 上海只453 不锈钢止回阀 DN100 上海只865 不锈钢止回阀 DN150 上海只1060 不锈钢止回阀 DN25 上海只206 不锈钢止回阀 DN32 上海只288 不锈钢止回阀 DN40 上海只368 不锈钢止回阀 DN50 上海只465 不锈钢止回阀 DN65 上海只607 不锈钢止回阀 DN80 上海只722 布莱顿1.5M无裙浴缸 CT-6598.202 合资套1230 布纹花玻 4mm 成都m228 彩晶玻璃 10mm 成都m2285 彩晶玻璃 12mm 成都m2323 彩晶玻璃 5mm 成都m2247 彩晶玻璃 8mm 成都m2265 彩晶雕刻玻璃 10mm 成都m2494 彩晶雕刻玻璃 12mm 成都m2532 彩晶雕刻玻璃 8mm 成都m2456 彩色路沿石 1000150350mm 成都m24 彩色抛光方块砖 成都m242-46 彩色嵌边石 1000100150mm 成都m20 彩色石子t433 彩色石子kg0.433 彩色砼方块砖 成都m236 彩云石抛光砖 C1系列 10001000mm优等品 广东匹172.5 彩云石抛光砖 C1系列 10001000mm正品 广东匹120.8 彩云石抛光砖 C1系列 1200600mm 优等品 广东匹150 彩云石抛光砖 C1系列 1200600mm 正品 广东匹105 彩云石抛光砖 C1系列 1200800mm 优等品 广东匹206 彩云石抛光砖 C1系列 1200800mm 正品 广东匹144.4 彩云石抛光砖 C1系列 300600mm 优等品 广东匹22.5 彩云石抛光砖 C1系列 300600mm 正品 广东匹15.8 彩云石抛光砖 C1系列 450450mm 优等品 广东匹28.1 彩云石抛光砖 C1系列 450450mm 正品 广东匹19.7 彩云石抛光砖 C1系列 600600mm 优等品 广东匹41.3 彩云石抛光砖 C1系列 600600mm 正品 广东匹28.9 彩云石抛光砖 C1系列 800800mm 优等品 广东匹93.8 彩云石抛光砖 C1系列 800800mm 正品 广东匹65.6 彩云石抛光砖 C2系列 300600mm 优等品 广东匹25.3 彩云石抛光砖 C2系列 300600mm 正品 广东匹17.7 彩云石抛光砖 C2系列 450450mm 优等品 广东匹30.9 彩云石抛光砖 C2系列 450450mm 正品 广东匹21.7 彩云石抛光砖 C2系列 600600mm 优等品 广东匹48.8 彩云石抛光砖 C2系列 600600mm 正品 广东匹34.1 彩云石抛光砖 C2系列 800800mm 优等品 广东匹108.8 彩云石抛光砖 C2系列 800800mm 正品 广东匹76.1 槽钢 Q235 18# 鞍钢t3500-3650 茶花 h:100cm,冠80cm,土球40cm 成都株65 茶花 h:1m,冠100cm 成都株100 茶花 冠径81-100cm株180 柴油 基建施工0#kg5.67 承插钢筋混凝土管 Φ1000mmⅡ级m398 承插钢筋混凝土管 Φ1200mmⅡ级m585 承插钢筋混凝土管 Φ1400mmⅡ级m812 承插钢筋混凝土管 Φ1500mmⅡ级m896 承插钢筋混凝土管 Φ400mm Ⅱ级m78 承插钢筋混凝土管 Φ500mm Ⅱ级m92 承插钢筋混凝土管 Φ600mm Ⅱ级m180 承插钢筋混凝土管 Φ700mm Ⅱ级m198 承插钢筋混凝土管 Φ800mm Ⅱ级m240 承插钢筋混凝土管 Φ900mm Ⅱ级m285 冲水阀式座便器 CW705 北京套1045 冲水阀式座便器 CW708NJ 北京套1309 冲水阀式座便器冲水阀 DC601VB 北京套468 出线座 25A 250V GKB61TB 合资个36.57 垂柳 Ф8.1-10cm 成都株60 春鹃 冠径35-45cm 成都株3 春鹃 冠径50-60cm 成都株8 瓷力硅钙天花板 59559512-16 华美Ⅱ型 成都m229.8 刺桐 Ф20-25cm,h:7m 成都株300 刺桐 Ф25.1-30cm,h:6m 成都株400 葱兰 0.30.3cm 成都丛0.6 葱兰 冠径20cm 成都株1 翠竹饰面板 244012202.7 四川张170 大果阿拉豆胡桃色实木地板 7607418mm 成都m2185 大小水切换式座便器 CW573BSWD573B 北京套1067 大小水切换式座便器 CW851BSWD782RB 北京套886 大小水切换式座便器 CW851BSWN851B 北京套1100 大小水切换式座便器 CW980KTC381CS 北京套1254 大小水切换式座便器 CW980KTC391 北京套1144 大栀子 冠径30-50cm 成都株2 大栀子 冠径80-100cm 成都株8 带二分配器全屏蔽电视终端插座 GKB6TV1P 合资个58.34 带三分配器全屏蔽电视终端插座 GKB6TV2P 合资个66.47 带四分配器全屏蔽电视终端插座 GKB6TV3P 合资个74.59 单联八芯电脑信息插座 GKB6U100 合资个73.11 单联大跷板门铃开关 10A 250V GKB6B1BP 合资个21.94 单联带开关调光器 500W 250V GKB62V500 合资个56.72 单联带开关风扇调速器 400VA 250V GKB62V400F 合资个56.72 单联单控大跷板开关 16A 250V GKB6B1/1 合资个9.31 单联单控开关 10A 250V GKB61/1 合资个6.91 单联多功能单孔圆二极音频插座 GKB61T04 合资个36.4 单联六线电话插座 GKB61T01 合资个30.07 单联普通型电视终端插座 GKB61TV 合资个17.71 单联双控大跷板开关 16A 250V GKB6B1/2 合资个12.42 单联双控带门铃开关 2A 250V GKB62BP 合资个13.65 单联双控开关 10A 250V GKB61/2 合资个10.24 单联四线电话插座(美式带保护门) GKB60T01 合资个29.9 单相二极扁圆两用插座 10A 250V GKB6U 合资个7.32 单相二三极插座 10A 250V GKB6/10US 合资个12.65 单相三极插座 10A 250V GKB6/10S 合资个8.62 单相三极插座 16A 250V GKB6/16CS 合资个19.34 单相三极带开关插座 10A 250V GKB615/10S 合资个10.97 单相三极带开关插座 16A 250V GKB6/16C 合资个22.75 单相三极带双开关插座 10A 250V GKB622S 合资个14.47 单相双联二极扁圆两用插座 10A 250V GKB6U2 合资个10.4 地砖 MR043 MR943 MR398 333333mm 中山m2106.2 地砖 MR117 MR217 MR417 333333mm 中山m2116.1 地砖 MR917 333333mm 中山m2151.2 第五大道亚克力无裙浴缸 CT-6848.002 合资套4580 电 基建施工度1.1 电缆 VV-0.6/1KV-11.5 四川km2173.6 电缆 VV-0.6/1KV-110 四川km8213.7 电缆 VV-0.6/1KV-1120 四川km75240 电缆 VV-0.6/1KV-1150 四川km93423 电缆 VV-0.6/1KV-116 四川km11453.2 电缆 VV-0.6/1KV-1185 四川km117458 电缆 VV-0.6/1KV-12.5 四川km2737.9 电缆 VV-0.6/1KV-1240 四川km150480 电缆 VV-0.6/1KV-125 四川km16866.3 电缆 VV-0.6/1KV-1300 四川km188518 电缆 VV-0.6/1KV-135 四川km21756.9 电缆 VV-0.6/1KV-14 四川km3866.5 电缆 VV-0.6/1KV-1400 四川km248710 电缆 VV-0.6/1KV-150 四川km31350 电缆 VV-0.6/1KV-16 四川km5099.6 电缆 VV-0.6/1KV-170 四川km42636 电缆 VV-0.6/1KV-195 四川km59356 电缆 VV-0.6/1KV-21.5 四川km5434 电缆 VV-0.6/1KV-210 四川km18568 电缆 VV-0.6/1KV-2120 四川km159720 电缆 VV-0.6/1KV-2150 四川km196900 电缆 VV-0.6/1KV-216 四川km27060 电缆 VV-0.6/1KV-2185 四川km250800 电缆 VV-0.6/1KV-22.5 四川km6754 电缆 VV-0.6/1KV-2240 四川km321860 电缆 VV-0.6/1KV-225 四川km39380 电缆 VV-0.6/1KV-2300 四川km402600 电缆 VV-0.6/1KV-235 四川km49720 电缆 VV-0.6/1KV-24 四川km9746 电缆 VV-0.6/1KV-250 四川km69960 电缆 VV-0.6/1KV-26 四川km12672 电缆 VV-0.6/1KV-270 四川km91740 电缆 VV-0.6/1KV-295 四川km128260 电缆 VV-0.6/1KV-31.5 四川km6292 电缆 VV-0.6/1KV-310 四川km24860 电缆 VV-0.6/1KV-310+16 四川km29480 电缆 VV-0.6/1KV-310+26 四川km38720 电缆 VV-0.6/1KV-3120 四川km237600 电缆 VV-0.6/1KV-3120+135 四川km275000 电缆 VV-0.6/1KV-3120+270 四川km337942 电缆 VV-0.6/1KV-3150 四川km294800 电缆 VV-0.6/1KV-3150+150 四川km338800 电缆 VV-0.6/1KV-3150+270 四川km403524 电缆 VV-0.6/1KV-316 四川km38060 电缆 VV-0.6/1KV-316+16 四川km40040 电缆 VV-0.6/1KV-316+210 四川km58322 电缆 VV-0.6/1KV-3185 四川km374000 电缆 VV-0.6/1KV-3185+150 四川km426140 电缆 VV-0.6/1KV-3185+295 四川km500060 电缆 VV-0.6/1KV-32.5 四川km8382 电缆 VV-0.6/1KV-32.5+11.5 四川km12826 电缆 VV-0.6/1KV-32.5+21.5 四川km14498 电缆 VV-0.6/1KV-3240 四川km479600 电缆 VV-0.6/1KV-3240+170 四川km545600 电缆 VV-0.6/1KV-3240+2120 四川km644820 电缆 VV-0.6/1KV-325 四川km55220 电缆 VV-0.6/1KV-325+110 四川km66220 电缆 VV-0.6/1KV-325+216 四川km85580 电缆 VV-0.6/1KV-3300+2150 四川km860200 电缆 VV-0.6/1KV-335 四川km71720 电缆 VV-0.6/1KV-335+110 四川km84480 电缆 VV-0.6/1KV-335+216 四川km103026 电缆 VV-0.6/1KV-34 四川km11968 电缆 VV-0.6/1KV-34+11.5 四川km15004 电缆 VV-0.6/1KV-34+21.5 四川km19272 电缆 VV-0.6/1KV-350 四川km99220 电缆 VV-0.6/1KV-350+116 四川km116600 电缆 VV-0.6/1KV-350+225 四川km142362 电缆 VV-0.6/1KV-36 四川km16016 电缆 VV-0.6/1KV-36+14 四川km23980 电缆 VV-0.6/1KV-36+24 四川km27324 电缆 VV-0.6/1KV-370 四川km133760 电缆 VV-0.6/1KV-370+125 四川km156640 电缆 VV-0.6/1KV-370+235 四川km188320 电缆 VV-0.6/1KV-395 四川km183700 电缆 VV-0.6/1KV-395+135 四川km222200 电缆 VV-0.6/1KV-395+250 四川km260260 电缆 VV-0.6/1KV-41.5 四川km10120 电缆 VV-0.6/1KV-410 四川km33220 电缆 VV-0.6/1KV-410+16 四川km40326 电缆 VV-0.6/1KV-4120 四川km312400 电缆 VV-0.6/1KV-4120+170 四川km365860 电缆 VV-0.6/1KV-4150 四川km389400 电缆 VV-0.6/1KV-4150+170 四川km428560 电缆 VV-0.6/1KV-416 四川km49060 电缆 VV-0.6/1KV-416+110 四川km60060 电缆 VV-0.6/1KV-4185 四川km495000 电缆 VV-0.6/1KV-4185+195 四川km554400 电缆 VV-0.6/1KV-42.5 四川km14234 电缆 VV-0.6/1KV-42.5+11.5 四川km14740 电缆 VV-0.6/1KV-4240 四川km633600 电缆 VV-0.6/1KV-4240+1120 四川km741400 电缆 VV-0.6/1KV-425 四川km73260 电缆 VV-0.6/1KV-425+116 四川km86702 电缆 VV-0.6/1KV-435 四川km97900 电缆 VV-0.6/1KV-435+116 四川km114224 电缆 VV-0.6/1KV-44 四川km15818 电缆 VV-0.6/1KV-44+41.5 四川km20020 电缆 VV-0.6/1KV-450 四川km133760 电缆 VV-0.6/1KV-450+125 四川km155298 电缆 VV-0.6/1KV-46 四川km27060 电缆 VV-0.6/1KV-46+14 四川km32274 电缆 VV-0.6/1KV-470 四川km180400 电缆 VV-0.6/1KV-470+135 四川km209000 电缆 VV-0.6/1KV-495 四川km250800 电缆 VV-0.6/1KV-495+150 四川km285340 电缆 VV-0.6/1KV-51.5 四川km12160 电缆 VV-0.6/1KV-510 四川km44704 电缆 VV-0.6/1KV-5120 四川km407000 电缆 VV-0.6/1KV-5150 四川km500500 电缆 VV-0.6/1KV-516 四川km67078 电缆 VV-0.6/1KV-5185 四川km629200 电缆 VV-0.6/1KV-52.5 四川km15598 电缆 VV-0.6/1KV-5240 四川km811800 电缆 VV-0.6/1KV-525 四川km98340 电缆 VV-0.6/1KV-5300 四川km1036200 电缆 VV-0.6/1KV-535 四川km125202 电缆 VV-0.6/1KV-54 四川km22440 电缆 VV-0.6/1KV-550 四川km173426 电缆 VV-0.6/1KV-56 四川km32780 电缆 VV-0.6/1KV-570 四川km242440 电缆 VV-0.6/1KV-595 四川km321860 电缆
展开阅读全文

开通  VIP会员、SVIP会员  优惠大
下载10份以上建议开通VIP会员
下载20份以上建议开通SVIP会员


开通VIP      成为共赢上传

当前位置:首页 > 环境建筑 > 工程造价

移动网页_全站_页脚广告1

关于我们      便捷服务       自信AI       AI导航        抽奖活动

©2010-2026 宁波自信网络信息技术有限公司  版权所有

客服电话:0574-28810668  投诉电话:18658249818

gongan.png浙公网安备33021202000488号   

icp.png浙ICP备2021020529号-1  |  浙B2-20240490  

关注我们 :微信公众号    抖音    微博    LOFTER 

客服