收藏 分销(赏)

卫生部抗菌药物DDD值.doc

上传人:丰**** 文档编号:4421951 上传时间:2024-09-20 格式:DOC 页数:28 大小:981.54KB 下载积分:10 金币
下载 相关 举报
卫生部抗菌药物DDD值.doc_第1页
第1页 / 共28页
卫生部抗菌药物DDD值.doc_第2页
第2页 / 共28页


点击查看更多>>
资源描述
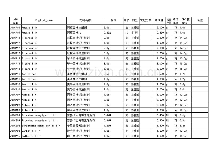
ATC code English_name 药物名称 规格 单位 剂型 管理分类 单剂量 剂量 单位 单位 DDD DDD值 (WHO) 备注 J01CE01 Benzylpenicillin 青霉素钠注射剂 1.6MU 支 注射剂 1.600 MU 克 3.6g J01CE01 Benzylpenicillin 青霉素钠注射剂 4MU 支 注射剂 4.000 MU 克 3.6g J01CE01 Benzylpenicillin 青霉素钠注射剂 0.8MU 支 注射剂 0.800 MU 克 3.6g J01CE02 Phenoxymethylpenicillin 青霉素Ⅴ片 0.125g 片 片剂 0.125 g 克 2.0g J01CE02 Phenoxymethylpenicillin 青霉素Ⅴ片 0.25g 片 片剂 0.250 g 克 2.0g J01CF04 Oxacillin 苯唑西林钠注射剂 0.5g 支 注射剂 0.500 g 克 2.0g J01CF04 Oxacillin 苯唑西林钠注射剂 1.0g 支 注射剂 1.000 g 克 2.0g J01CF02 cloxacillin 氯唑西林胶囊 0.125g 粒 胶囊 0.125 g 克 2.0g J01CF02 cloxacillin 氯唑西林胶囊 0.25g 粒 胶囊 0.250 g 克 2.0g J01CF02 cloxacillin 氯唑西林胶囊 0.5g 粒 胶囊 0.500 g 克 2.0g J01CF02 cloxacillin 氯唑西林颗粒剂 50mg 包 颗粒剂 50.000 mg 克 2.0g J01CF02 cloxacillin 氯唑西林注射剂 0.5g 支 注射剂 0.500 g 克 2.0g J01CF05 Flucloxacillin 氟氯西林胶囊 0.125g 片 片剂 0.125 g 克 2.0g J01CF05 Flucloxacillin 氟氯西林注射剂 0.5g 支 注射剂 0.500 g 克 2.0g J01CF05 Flucloxacillin 氟氯西林注射剂 1.0g 支 注射剂 1.000 g 克 2.0g J01CA01 Ampicillin 氨苄西林钠胶囊 0.25g 粒 胶囊 0.250 g 克 2.0g J01CA01 Ampicillin 氨苄西林钠注射剂 0.5g 支 注射剂 0.500 g 克 2.0g J01CA04 Amoxicillin 阿莫西林胶囊 0.25g 粒 胶囊 0.250 g 克 1.0g J01CA04 Amoxicillin 阿莫西林胶囊 0.5g 粒 胶囊 0.500 g 克 1.0g J01CA04 Amoxicillin 阿莫西林干糖浆 125mg 袋 混悬剂 125.000 mg 克 1.0g J01CA04 Amoxicillin 阿莫西林颗粒 125mg 袋 颗粒剂 125.000 mg 克 1.0g J01CA04 Amoxicillin 阿莫西林注射剂 0.5g 支 注射剂 0.500 g 克 1.0g ATC code English_name 药物名称 规格 单位 剂型 管理分类 单剂量 剂量 单位 单位 DDD DDD值 (WHO) 备注 J01CA04 Amoxicillin 阿莫西林注射剂 2.0g 支 注射剂 2.000 g 克 1.0g J01CA04 Amoxicillin 阿莫西林片 0.25g 片 片剂 0.250 g 克 1.0g J01CA12 Piperacilin 哌拉西林钠注射剂 0.5g 支 注射剂 0.500 g 克 14.0g J01CA12 Piperacilin 哌拉西林钠注射剂 1.0g 支 注射剂 1.000 g 克 14.0g J01CA12 Piperacilin 哌拉西林钠注射剂 2.0g 支 注射剂 2.000 g 克 14.0g J01CA12 Piperacilin 哌拉西林钠注射剂 3.0g 支 注射剂 3.000 g 克 14.0g J01CA13 Ticarcillin 替卡西林钠注射剂 1.0g 支 注射剂 1.000 g 克 15.0g J01CA13 Ticarcillin 替卡西林钠注射剂 3.0g 支 注射剂 3.000 g 克 15.0g J01CA13 Ticarcillin 替卡西林钠注射剂 6.0g 支 注射剂 6.000 g 克 15.0g J01CA11 Mecillinan 美西林钠注射剂 0.5g 支 注射剂 0.500 g 克 1.2g J01CA11 Mecillinan 美西林钠注射剂 1.0g 支 注射剂 1.000 g 克 1.2g J01CA10 Mezlocillin 美洛西林钠注射剂 1.0g 支 注射剂 1.000 g 克 6.0g J01CA10 Mezlocillin 美洛西林钠注射剂 2.0g 支 注射剂 2.000 g 克 6.0g J01CA09 Azlocillin 阿洛西林钠注射剂 1.0g 支 注射剂 1.000 g 克 12.0g J01CA09 Azlocillin 阿洛西林钠注射剂 2.0g 支 注射剂 2.000 g 克 12.0g J01CA09 Azlocillin 阿洛西林钠注射剂 3.0g 支 注射剂 3.000 g 克 12.0g J01CA09 Azlocillin 阿洛西林钠注射剂 4.0g 支 注射剂 4.000 g 克 12.0g J01CE09 Procaine benzylpenicillin 普鲁卡因青霉素注射剂 0.4MU 支 注射剂 0.400 MU 克 0.6g J01CE09 Procaine benzylpenicillin 普鲁卡因青霉素注射剂 0.8MU 支 注射剂 0.800 MU 克 0.6g J01CE08 Benzathine benzylpenicillin 苄星青霉素注射剂 1.2MU 支 注射剂 1.200 MU 克 3.6g J01CA03 Carbenicillin 羧苄西林钠注射剂 1.0g 支 注射剂 1.000 g 克 12.0g J01CA16 Sulbenicillin 磺苄西林钠注射剂 1.0g 支 注射剂 1.000 g 克 15.0g ATC code English_name 药物名称 规格 单位 剂型 管理分类 单剂量 剂量 单位 单位 DDD DDD值 (WHO) 备注 J01CA16 Sulbenicillin 磺苄西林钠注射剂 2.0g 支 注射剂 2.000 g 克 15.0g J01CA16 Sulbenicillin 磺苄西林钠注射剂 5.0g 支 注射剂 5.000 g 克 15.0g J01CA furbenicillin 呋布西林钠注射剂 0.5g 支 注射剂 0.500 g 克 6.0g J01CF Nafcillin 奈夫西林钠胶囊 0.25g 粒 胶囊 0.250 g 克 3.0g J01CF Nafcillin 奈夫西林注射剂 1.0g 支 注射剂 1.000 g 克 5.0g J01CF01 dicloxacillin 双氯西林钠胶囊 0.25g 粒 胶囊 0.250 g 克 2.0g J01CA Apalcillin 阿帕西林钠注射剂 1.0g 支 注射剂 1.000 g 克 8.0g J01CA Aspoxicillin 阿扑西林钠注射剂 0.5g 支 注射剂 0.500 g 克 3.0g J01CA08 Pivmecillinam 匹美西林钠胶囊 0.25g 粒 胶囊 0.250 g 克 0.6g J01CA lenampicillin 仑氨西林片 0.25g 粒 胶囊 0.250 g 克 0.8g J01CR Amoxicillin and Flucloxacillin 阿莫西林氟氯西林胶囊 0.25g 粒 胶囊 0.250 g 克 1 .5g J01CR Amoxicillin and Flucloxacillin 阿莫西林氟氯西林钠注射剂 0.5g 支 注射剂 0.500 g 克 5.0g J01CR Ampicillin and Cloxacillin 氨苄西林氯唑西林钠注射剂 0.5g 支 注射剂 0.500 g 克 3.0g J01CR Ampicillin and Cloxacillin 氨苄西林氯唑西林钠注射剂 1.0g 支 注射剂 1.000 g 克 3.0g J01CR Amoxicillin and Dicloxacillin 阿莫西林双氯西林钠胶囊 0.375g 粒 胶囊 0.375 g 克 1 .125g J01CR Ampicillin and Probenecid 氨苄西林丙磺舒胶囊 0.25g 粒 胶囊 0.250 g 克 2 .25g J01CR01 Ampicillin and Sulbactam 氨苄西林舒巴坦注射剂 0.125g 支 注射剂 0.125 g 克 2.0g J01CR01 Ampicillin and Sulbactam 氨苄西林舒巴坦注射剂 0.75g 支 注射剂 0.750 g 克 2.0g J01CR01 Ampicillin and Sulbactam 氨苄西林舒巴坦注射剂 1.5g 支 注射剂 1.500 g 克 2.0g J01CR01 Ampicillin and Sulbactam 氨苄西林舒巴坦注射剂 3.0g 支 注射剂 3.000 g 克 2.0g J01CR01 Ampicillin and Sulbactam 氨苄西林舒巴坦片 0.125g 片 片剂 0.125 g 克 1.5g J01CR01 Ampicillin and Sulbactam 氨苄西林舒巴坦片 0.25g 片 片剂 0.250 g 克 1.5g ATC code English_name 药物名称 规格 单位 剂型 管理分类 单剂量 剂量 单位 单位 DDD DDD值 (WHO) 备注 J01CR01 Ampicillin and Sulbactam 氨苄西林舒巴坦片 0.375g 片 片剂 0.375 g 克 1.5g J01CR02 Amoxicillin and Sulbactam 阿莫西林钠舒巴坦钠注射剂 0.75g 支 注射剂 0.750 g 克 3.0g J01CR02 Amoxiciliin and Sulbactam 阿莫西林钠舒巴坦钠注射剂 1.5g 支 注射剂 1.500 g 克 3.0g J01CR02 Amoxiciliin and Sulbactam 阿莫西林钠舒巴坦钠注射剂 3.0g 支 注射剂 3.000 g 克 3.0g J01CR02 Amoxiciliin and Sulbactam 阿莫西林钠舒巴坦钠混悬剂 0.25g:60ml 瓶 混悬剂 0.250 g 克 1.0g J01CR02 Amoxiciliin and Sulbactam 阿莫西林钠舒巴坦钠混悬剂 0.5g:60ml 瓶 混悬剂 0.500 g 克 1.0g J01CR02 Amoxiciliin and Sulbactam 阿莫西林钠舒巴坦钠片 0.5g 片 片剂 0.500 g 克 1.0g J01CR02 Amoxiciliin and Sulbactam 阿莫西林钠舒巴坦钠片 1.0g 片 片剂 1.000 g 克 1.0g J01CR Mezlocillin and Sulbactam 美洛西林钠舒巴坦钠注射剂 0.625g 支 注射剂 0.625 g 克 7.5g J01CR Mezlocillin and Sulbactam 美洛西林钠舒巴坦钠注射剂 1.25g 支 注射剂 1.250 g 克 7.6g J01CR Mezlocillin and Sulbactam 美洛西林钠舒巴坦钠注射剂 2.5g 支 注射剂 2.500 g 克 7.7g J01CR Mezlocillin and Sulbactam 美洛西林钠舒巴坦钠注射剂 3.75g 支 注射剂 3.750 g 克 7.8g J01CR05 Piperacilin and Tazobactam 哌拉西林钠他唑巴坦钠注射剂0.5625g 支 注射剂 0.562 g 克 14.0g J01CR05 Piperacilin and Tazobactam 哌拉西林钠他唑巴坦钠注射剂1.125g 支 注射剂 1.125 g 克 14.0g J01CR05 Piperacilin and Tazobactam 哌拉西林钠他唑巴坦钠注射剂2.25g 支 注射剂 2.250 g 克 14.0g J01CR05 Piperacilin and Tazobactam 哌拉西林钠他唑巴坦钠注射剂4.5g 支 注射剂 4.500 g 克 14.0g J01CR02 Amoxiciliin and Clavulanate Pot 阿莫西林克拉维酸钾干糖浆 1.0g:156.25mg 瓶 颗粒剂 0.457 g 克 1.0g J01CR02 Amoxiciliin and Clavulanate Pota阿莫西林克拉维酸钾干糖浆 1.5g:228.5mg 瓶 颗粒剂 1.500 g 克 1.0g J01CR02 Amoxiciliin and Clavulanate Pot 阿莫西林克拉维酸钾干糖浆 2.0g:156.25mg 瓶 颗粒剂 1.870 g 克 1.0g J01CR02 Amoxiciliin and Clavulanate Pota阿莫西林克拉维酸钾颗粒剂 156.25mg 包 颗粒剂 156.250 mg 克 1.0g J01CR02 Amoxiciliin and Clavulanate Pot 阿莫西林克拉维酸钾颗粒剂 187.5mg 包 颗粒剂 187.500 mg 克 1.0g J01CR02 Amoxiciliin and Clavulanate Pota阿莫西林克拉维酸钾颗粒剂 228.5mg 包 颗粒剂 228.500 mg 克 1.0g ATC code English_name 药物名称 规格 单位 剂型 管理分类 单剂量 剂量 单位 单位 DDD DDD值 (WHO) 备注 J01CR02 Amoxiciliin and Clavulanate Pot 阿莫西林克拉维酸钾注射剂 0.6g 支 注射剂 0.600 g 克 3.0g J01CR02 Amoxiciliin and Clavulanate Pota阿莫西林克拉维酸钾注射剂 1.2g 支 注射剂 1.200 g 克 3.0g J01CR02 Amoxiciliin and Clavulanate Pot 阿莫西林克拉维酸钾片 0.2285g 片 片剂 0.228 g 克 1.0g J01CR02 Amoxiciliin and Clavulanate Pota阿莫西林克拉维酸钾片 0.25g 片 片剂 0.250 g 克 1.0g J01CR02 Amoxiciliin and Clavulanate Pot 阿莫西林克拉维酸钾片 0.375g 片 片剂 0.375 g 克 1.0g J01CR02 Amoxiciliin and Clavulanate Pota阿莫西林克拉维酸钾片 0.457g 片 片剂 0.457 g 克 1.0g J01CR02 Amoxiciliin and Clavulanate Pot 阿莫西林克拉维酸钾片 0.5625g 片 片剂 0.563 g 克 1.0g J01CR02 Amoxiciliin and Clavulanate Pota阿莫西林克拉维酸钾片 0.625g 片 片剂 0.625 g 克 1.0g J01CR03 Ticarcillin and Clavulanate Pot 替卡西林克拉维酸钾注射剂 1.6g 支 注射剂 1.600 g 克 15.0g J01CR03 Ticarcillin and Clavulanate Pota替卡西林克拉维酸钾注射剂 3.2g 支 注射剂 3.200 g 克 15.0g J01CR05 Piperacillin and sulbactam 哌拉西林钠舒巴坦钠注射剂 1.25g 支 注射剂 1.250 g 克 14.0g J01CR05 Piperacillin and sulbactam 哌拉西林钠舒巴坦钠注射剂 1.5g 支 注射剂 1.500 g 克 14.0g J01CR05 Piperacillin and sulbactam 哌拉西林钠舒巴坦钠注射剂 2.5g 支 注射剂 2.500 g 克 14.0g J01CR04 sultamicillin 舒他西林片 0.125g 片 片剂 0.125 g 克 1.5g J01CR04 sultamicillin 舒他西林片 0.375g 片 片剂 0.375 g 克 1.5g J01DB01 Cefalexin 头孢氨苄胶囊 0.25g 粒 胶囊 0.250 g 克 2.0g J01DB01 Cefalexin 头孢氨苄颗粒剂 1.0g:0.5g 包 颗粒剂 1.000 g 克 2.0g J01DB01 Cefalexin 头孢氨苄片 0.25g 片 片剂 0.250 g 克 2.0g J01DB04 Cefazolin 头孢唑林钠注射剂 0.5 g 支 注射剂 0.500 g 克 3.0g J01DB04 Cefazolin 头孢唑林钠注射剂 1.0g 支 注射剂 1.000 g 克 3.0g J01DB05 Cefadroxil 头孢羟氨苄胶囊 0.125g 粒 胶囊 0.125 g 克 2.0g J01DB05 Cefadroxil 头孢羟氨苄胶囊 0.25g 粒 胶囊 0.250 g 克 2.0g ATC code English_name 药物名称 规格 单位 剂型 管理分类 单剂量 剂量 单位 单位 DDD DDD值 (WHO) 备注 J01DB09 Cefradine 头孢拉定胶囊 0.25g 粒 胶囊 0.250 g 克 2.0g J01DB09 Cefradine 头孢拉定胶囊 0.5g 粒 胶囊 0.500 g 克 2.0g J01DB09 Cefradine 头孢拉定干混悬剂 0.125g 包 混悬剂 0.125 g 克 2.0g J01DB09 Cefradine 头孢拉定干混悬剂 0.25g 包 混悬剂 0.250 g 克 2.0g J01DB09 Cefradine 头孢拉定注射剂 0.5g 支 注射剂 0.500 g 克 2.0g J01DB09 Cefradine 头孢拉定注射剂 1.0g 支 注射剂 1.000 g 克 2.0g J01DB03 Cefalotin 头孢噻吩注射剂 0.5g 支 注射剂 0.500 g 克 4.0g J01DB03 Cefalotin 头孢噻吩注射剂 1.0g 支 注射剂 1.000 g 克 4.0g J01DB03 Cefalotin 头孢噻吩注射剂 3.0g 支 注射剂 3.000 g 克 4.0g J01DB02 Cefaloridine 头孢噻啶注射剂 0.5g 支 注射剂 0.500 g 克 3.0g J01DB02 Cefaloridine 头孢噻啶注射剂 1.0g 支 注射剂 1.000 g 克 3.0g J01DB Cefathiamidine 头孢硫脒注射剂 0.5g 支 注射剂 0.500 g 克 3.0g J01DB Cefathiamidine 头孢硫脒注射剂 1.0g 支 注射剂 1.000 g 克 3.0g J01DB Cefathiamidine 头孢硫脒注射剂 2.0g 支 注射剂 2.000 g 克 3.0g J01DB10 Cefacetrile 头孢乙氰注射剂 0.5g 支 注射剂 0.500 g 克 4 .0g J01DB10 Cefacetrile 头孢乙氰注射剂 1.0g 支 注射剂 1.000 g 克 4 .0g J01DB12 Ceftezole 头孢替唑钠注射剂 0.5g 支 注射剂 0.500 g 克 6.0g J01DB12 Ceftezole 头孢替唑钠注射剂 1.0g 支 注射剂 1.000 g 克 6.0g J01DB11 Cefroxadine 头孢沙定胶囊 0.25g 粒 胶囊 0.250 g 克 0.75g J01DB11 Cefroxadine 头孢沙定干糖浆 1.0g 包 颗粒剂 1.000 g 克 0.75g J01DB08 Cefapirin 头孢匹林注射剂 0.5g 支 注射剂 0.500 g 克 4.0g J01DB08 Cefapirin 头孢匹林注射剂 1.0g 支 注射剂 1.000 g 克 4.0g ATC code English_name 药物名称 规格 单位 剂型 管理分类 单剂量 剂量 单位 单位 DDD DDD值 (WHO) 备注 J01DC02 Cafuroxime 头孢呋辛酯颗粒剂 0.125g 包 颗粒剂 0.125 g 克 0.5g J01DC02 Cafuroxime 头孢呋辛钠注射剂 0.5g 支 注射剂 0.500 g 克 3.0g J01DC02 Cafuroxime 头孢呋辛钠注射剂 0.75g 支 注射剂 0.750 g 克 3.0g J01DC02 Cafuroxime 头孢呋辛钠注射剂 1.0g 支 注射剂 1.000 g 克 3.0g J01DC02 Cafuroxime 头孢呋辛钠注射剂 1.5g 支 注射剂 1.500 g 克 3.0g J01DC02 Cafuroxime 头孢呋辛钠注射剂 2.25g 支 注射剂 2.250 g 克 3.0g J01DC02 Cafuroxime 头孢呋辛酯片 0.125g 片 片剂 0.125 g 克 0.5g J01DC02 Cafuroxime 头孢呋辛酯片 0.25g 片 片剂 0.250 g 克 0.5g J01DC04 Cefaclor 头孢克洛胶囊 0.25g 粒 胶囊 0.250 g 克 1.0g J01DC04 Cefaclor 头孢克洛胶囊 0.5g 粒 胶囊 0.500 g 克 1.0g J01DC04 Cefaclor 头孢克洛干混悬剂 0.125g 袋 混悬剂 0.125 g 克 1.0g J01DC04 Cefaclor 头孢克洛干糖浆 60ml 瓶 混悬剂 60.000 ml 克 1.0g J01DC04 Cefaclor 头孢克洛颗粒剂 0.25g 袋 颗粒剂 0.250 g 克 1.0g J01DC04 Cefaclor 头孢克洛片 0.125g 片 片剂 0.125 g 克 1.0g J01DC04 Cefaclor 头孢克洛片 0.25g 片 片剂 0.250 g 克 1.0g J01DC04 Cefaclor 头孢克洛片 0.375g 片 片剂 0.375 g 克 1.0g J01DC03 Cefamandole 头孢孟多(头孢羟唑)注射 剂0.5g 支 注射剂 0.500 g 克 6.0g J01DC03 Cefamandole 头孢孟多(头孢羟唑)注射 剂1.0g 支 注射剂 1.000 g 克 6.0g J01DC07 Cefotiam 头孢替安注射剂 0.5g 支 注射剂 0.500 g 克 4.0g J01DC07 Cefotiam 头孢替安注射剂 1.0g 支 注射剂 1.000 g 克 4.0g J01DC10 Cefprozil 头孢丙烯片 0.25g 片 片剂 0.250 g 克 1.0g J01DC11 Ceforanide 头孢雷特注射剂 1.0g 支 注射剂 1.000 g 克 4.0g ATC code English_name 药物名称 规格 单位 剂型 管理分类 单剂量 剂量 单位 单位 DDD DDD值 (WHO) 备注 J01DC06 Cefonicide 头孢尼西注射剂 1.0g 支 注射剂 1.000 g 克 1.0g J01DD05 Cefmenoxime 头孢甲肟注射剂 0.5g 支 注射剂 0.500 g 克 2.0g J01DD05 Cefmenoxime 头孢甲肟注射剂 1.0g 支 注射剂 1.000 g 克 2.0g J01DC09 Cefmetazole 头孢美唑钠注射剂 1.0g 支 注射剂 1.000 g 克 4.0g J01DD01 Cefotaxime 头孢噻肟钠注射剂 0.5g 支 注射剂 0.500 g 克 4.0g J01DD01 Cefotaxime 头孢噻肟钠注射剂 1.0g 支 注射剂 1.000 g 克 4.0g J01DD01 Cefotaxime 头孢噻肟钠注射剂 2.0g 支 注射剂 2.000 g 克 4.0g J01DD04 Ceftriaxone 头孢曲松钠注射剂 0.5g 支 注射剂 0.500 g 克 2.0g J01DD04 Ceftriaxone 头孢曲松钠注射剂 1.0g 支 注射剂 1.000 g 克 2.0g J01DD04 Ceftriaxone 头孢曲松钠注射剂 2.5g 支 注射剂 2.500 g 克 2.0g J01DD12 Cefoperazone 头孢哌酮注射剂 0.5g 支 注射剂 0.500 g 克 4.0g J01DD12 Cefoperazone 头孢哌酮注射剂 1.0g 支 注射剂 1.000 g 克 4.0g J01DD12 Cefoperazone 头孢哌酮注射剂 1.5g 支 注射剂 1.500 g 克 4.0g J01DD12 Cefoperazone 头孢哌酮注射剂 2.0g 支 注射剂 2.000 g 克 4.0g J01DD02 Ceftazidime 头孢他啶注射剂 0.5g 支 注射剂 0.500 g 克 4.0g J01DD02 Ceftazidime 头孢他啶注射剂 0.75g 支 注射剂 0.750 g 克 4.0g J01DD02 Ceftazidime 头孢他啶注射剂 1.0g 支 注射剂 1.000 g 克 4.0g J01DD02 Ceftazidime 头孢他啶注射剂 1.5g 支 注射剂 1.500 g 克 4.0g J01DD02 Ceftazidime 头孢他啶注射剂 2.0g 支 注射剂 2.000 g 克 4.0g J01DC01 Cefoxitin 头孢西丁钠注射剂 1.0g 支 注射剂 1.000 g 克 6.0g J01DD14 Ceftibuten 头孢布烯胶囊 0.2g 粒 胶囊 0.200 g 克 0.4g J01DD14 Ceftibuten 头孢布烯胶囊 0.2g 粒 胶囊 0.400 g 克 0.4g ATC code English_name 药物名称 规格 单位 剂型 管理分类 单剂量 剂量 单位 单位 DDD DDD值 (WHO) 备注 J01DI cefminox 头孢米诺钠注射剂 0.5g 支 注射剂 0.500 g 克 2.0g J01DI cefminox 头孢米诺钠注射剂 1.0g 支 注射剂 1.000 g 克 2.0g J01DD13 Cefpodoxime 头孢泊肟干糖浆 1.0g 瓶 混悬剂 1.000 g 克 0.4g J01DD13 Cefpodoxime 头孢泊肟片 0.1g 片 片剂 0.100 g 克 0.4g J01DD13 Cefpodoxime 头孢泊肟片 0.2g 片 片剂 0.200 g 克 0.4g J01DD09 Cefodizime 头孢地秦注射剂 0.25g 支 注射剂 0.250 g 克 2.0g J01DD09 Cefodizime 头孢地秦注射剂 0.5g 支 注射剂 0.500 g 克 2.0g J01DD09 Cefodizime 头孢地秦注射剂 1.0g 支 注射剂 1.000 g 克 2.0g J01DD09 Cefodizime 头孢地秦注射剂 2.0g 支 注射剂 2.000 g 克 2.0g J01DD07 Ceftizoxime 头孢唑肟钠注射剂 0.5g 支 注射剂 0.500 g 克 4.0g J01DD07 Ceftizoxime 头孢唑肟钠注射剂 0.75g 支 注射剂 0.750 g 克 4.0g J01DD07 Ceftizoxime 头孢唑肟钠注射剂 1.0g 支 注射剂 1.000 g 克 4.0g J01DD03 Cefsilodin 头孢磺啶钠(头孢磺吡苄) 注1.0g 支 注射剂 1.000 g 克 4.0g Cefuzonam 头孢唑喃钠注射剂 0.25g 支 注射剂 0.250 g 克 3 .0g Cefuzonam 头孢唑喃钠注射剂 0.5g 支 注射剂 0.500 g 克 3 .0g Cefuzonam 头孢唑喃钠注射剂 1.0g 支 注射剂 1.000 g 克 3 .0g Cefpimizolec 头孢咪唑注射剂 1.0g 支 注射剂 1.000 g 克 未查到 J01DD Cefteram 头孢特仑酯片 0.05g 片 片剂 0.050 g 克 0.4g J01DD Cefteram 头孢特仑酯片 0.1g 片 片剂 0.100 g 克 0.4g J01DD Cefteram 头孢特仑酯片 0.25g 片 片剂 0.250 g 克 0.4g J01DD14 Ceftibuten 头孢布坦干糖浆剂 1.08g 瓶 颗粒剂 1.080 g 克 0.4g J01DD14 Ceftibuten 头孢布坦片 0.1g 片 片剂 0.100 g 克 0.4g ATC code English_name 药物名称 规格 单位 剂型 管理分类 单剂量 剂量 单位 单位 DDD DDD值 (WHO) 备注 J01DD14 Ceftibuten 头孢布坦片 0.2g 片 片剂 0.200 g 克 0.4g J01DD14 Ceftibuten 头孢布坦片 0.4g 片 片剂 0.400 g 克 0.4g J01DD15 Cefdinir 头孢地尼胶囊 0.05g 粒 胶囊 0.
展开阅读全文

开通  VIP会员、SVIP会员  优惠大
下载10份以上建议开通VIP会员
下载20份以上建议开通SVIP会员


开通VIP      成为共赢上传

当前位置:首页 > 行业资料 > 医药制药

移动网页_全站_页脚广告1

关于我们      便捷服务       自信AI       AI导航        抽奖活动

©2010-2026 宁波自信网络信息技术有限公司  版权所有

客服电话:0574-28810668  投诉电话:18658249818

gongan.png浙公网安备33021202000488号   

icp.png浙ICP备2021020529号-1  |  浙B2-20240490  

关注我们 :微信公众号    抖音    微博    LOFTER 

客服