收藏 分销(赏)

高中数学(北师大版)必修五教案:1.3-典型例题:等比数列.docx

上传人:天**** 文档编号:3804979 上传时间:2024-07-19 格式:DOCX 页数:1 大小:58.85KB 下载积分:5 金币
下载 相关 举报
高中数学(北师大版)必修五教案:1.3-典型例题:等比数列.docx_第1页
第1页 / 共1页
本文档共1页,全文阅读请下载到手机保存,查看更方便
资源描述
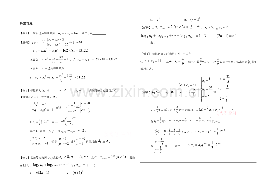
典型例题 【例1】已知为等比数列,,则 . 【解析】方法1: ∴ 方法2:, 方法3:为等比数列 · 【例2】等比数列中,,,求数列的通项公式. 【解析】方法1:设公比为, 解得 则 或 方法2:设公比为,知。 解得 或进而求出和. 【例3】已知等比数列满足,且,则当时,( ) A. B. C. D. 【解析】由得,,则,, 选C. 【例4】 等比数列同时满足下列三个条件: ⑴ ⑵ ⑶三个数成等差数列.试求数列的通项公式。 【解析】,或 又成等差数列,…………① 当时, 代入① (成立), 当时, 不成立.
展开阅读全文

开通  VIP会员、SVIP会员  优惠大
下载10份以上建议开通VIP会员
下载20份以上建议开通SVIP会员


开通VIP      成为共赢上传

当前位置:首页 > 教育专区 > 高中数学

移动网页_全站_页脚广告1

关于我们      便捷服务       自信AI       AI导航        抽奖活动

©2010-2025 宁波自信网络信息技术有限公司  版权所有

客服电话:0574-28810668  投诉电话:18658249818

gongan.png浙公网安备33021202000488号   

icp.png浙ICP备2021020529号-1  |  浙B2-20240490  

关注我们 :微信公众号    抖音    微博    LOFTER 

客服