收藏 分销(赏)

专升本高数公式大全.doc

上传人:精**** 文档编号:3070511 上传时间:2024-06-15 格式:DOC 页数:16 大小:345.50KB 下载积分:8 金币
下载 相关 举报
专升本高数公式大全.doc_第1页
第1页 / 共16页
专升本高数公式大全.doc_第2页
第2页 / 共16页


点击查看更多>>
资源描述
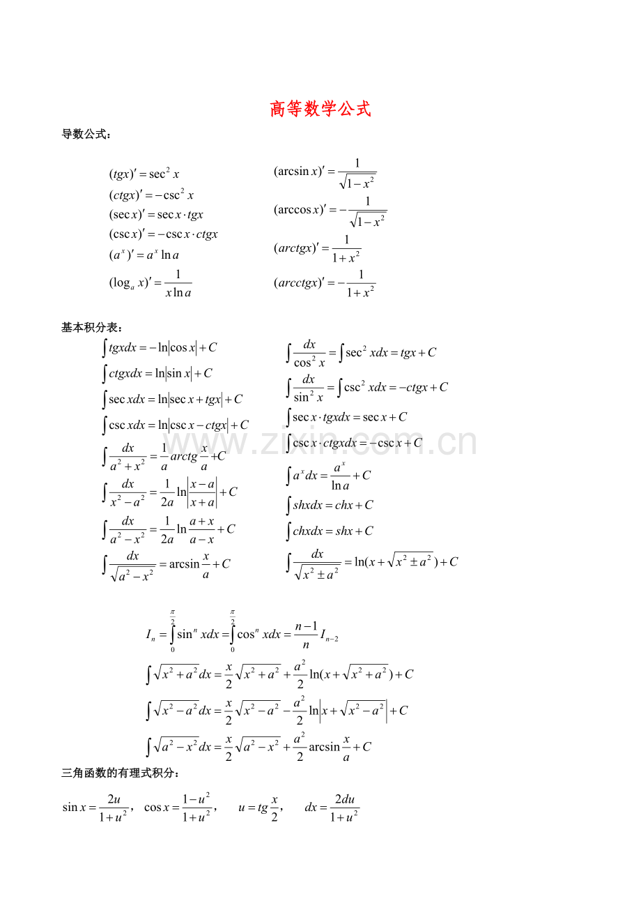
高等数学公式 导数公式: 基本积分表: 三角函数的有理式积分: 一些初等函数: 两个重要极限: 三角函数公式: ·诱导公式: 函数 角A sin cos tg ctg -α -sinα cosα -tgα -ctgα 90°-α cosα sinα ctgα tgα 90°+α cosα -sinα -ctgα -tgα 180°-α sinα -cosα -tgα -ctgα 180°+α -sinα -cosα tgα ctgα 270°-α -cosα -sinα ctgα tgα 270°+α -cosα sinα -ctgα -tgα 360°-α -sinα cosα -tgα -ctgα 360°+ sinα cosα tgα ctgα α ·和差角公式: ·和差化积公式: ·倍角公式: ·半角公式: ·正弦定理: ·余弦定理: ·反三角函数性质: 高阶导数公式——莱布尼兹(Leibniz)公式: 中值定理与导数应用: 曲率: 定积分的近似计算: 定积分应用相关公式: 空间解析几何和向量代数: 多元函数微分法及应用 微分法在几何上的应用: 方向导数与梯度: 多元函数的极值及其求法: 重积分及其应用: 柱面坐标和球面坐标: 曲线积分: 曲面积分: 高斯公式: 斯托克斯公式——曲线积分与曲面积分的关系: 常数项级数: 级数审敛法: 绝对收敛与条件收敛: 幂级数: 函数展开成幂级数: 一些函数展开成幂级数: 欧拉公式: 三角级数: 傅立叶级数: 周期为的周期函数的傅立叶级数: 微分方程的相关概念: 一阶线性微分方程: 全微分方程: 二阶微分方程: 二阶常系数齐次线性微分方程及其解法: (*)式的通解 两个不相等实根 两个相等实根 一对共轭复根 二阶常系数非齐次线性微分方程 (注:专业文档是经验性极强的领域,无法思考和涵盖全面,素材和资料部分来自网络,供参考。可复制、编制,期待你的好评与关注)
展开阅读全文

开通  VIP会员、SVIP会员  优惠大
下载10份以上建议开通VIP会员
下载20份以上建议开通SVIP会员


开通VIP      成为共赢上传

当前位置:首页 > 考试专区 > 专升本考试

移动网页_全站_页脚广告1

关于我们      便捷服务       自信AI       AI导航        抽奖活动

©2010-2026 宁波自信网络信息技术有限公司  版权所有

客服电话:0574-28810668  投诉电话:18658249818

gongan.png浙公网安备33021202000488号   

icp.png浙ICP备2021020529号-1  |  浙B2-20240490  

关注我们 :微信公众号    抖音    微博    LOFTER 

客服