收藏 分销(赏)

2023年经济数学基础形成性考核册作业新版.doc

上传人:知****运 文档编号:12598236 上传时间:2025-11-08 格式:DOC 页数:3 大小:180.04KB 下载积分:4 金币
下载 相关 举报
2023年经济数学基础形成性考核册作业新版.doc_第1页
第1页 / 共3页
2023年经济数学基础形成性考核册作业新版.doc_第2页
第2页 / 共3页


点击查看更多>>
资源描述
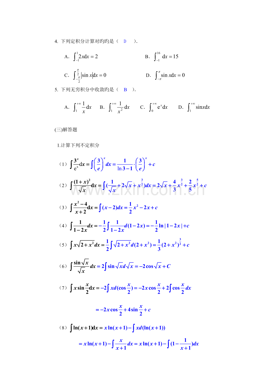
《经济数学基础》形成性考核册 作业(二)参照答案 (一)填空题 1.若,则. 2. . 3. 若,则 . 4.设函数. 5. 若,则. (二)单项选择题 1. 下列函数中,( D )是xsinx2旳原函数. A.cosx2 B.2cosx2 C.-2cosx2 D.-cosx2 2. 下列等式成立旳是( C ). A. B. C. D. 3. 下列不定积分中,常用分部积分法计算旳是( C ). A., B. C. D. 4. 下列定积分计算对旳旳是( D ). A. B. C. D. 5. 下列无穷积分中收敛旳是( B ). A. B. C. D. (三)解答题 1.计算下列不定积分 (1) (2) (3) (4) (5) (6) (7) (8) 2.计算下列定积分 (1) (2) (3) (4) (5) (6)
展开阅读全文

开通  VIP会员、SVIP会员  优惠大
下载10份以上建议开通VIP会员
下载20份以上建议开通SVIP会员


开通VIP      成为共赢上传

当前位置:首页 > 教育专区 > 远程教育/电大

移动网页_全站_页脚广告1

关于我们      便捷服务       自信AI       AI导航        抽奖活动

©2010-2026 宁波自信网络信息技术有限公司  版权所有

客服电话:0574-28810668  投诉电话:18658249818

gongan.png浙公网安备33021202000488号   

icp.png浙ICP备2021020529号-1  |  浙B2-20240490  

关注我们 :微信公众号    抖音    微博    LOFTER 

客服