收藏 分销(赏)

历年考研题——导数与微分.ppt

上传人:仙人****88 文档编号:12555307 上传时间:2025-10-29 格式:PPT 页数:6 大小:375KB 下载积分:10 金币
下载 相关 举报
历年考研题——导数与微分.ppt_第1页
第1页 / 共6页
历年考研题——导数与微分.ppt_第2页
第2页 / 共6页


点击查看更多>>
资源描述
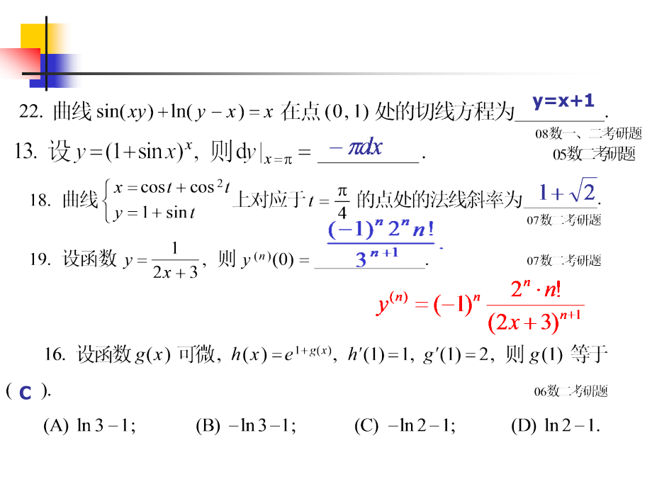
,单击此处编辑母版标题样式,*,历年考研题,导数与微分,0,10,年数一考研题,10,年数二考研题,09,年数二考研题,-3,D,y=x+1,C,C,-2,D,x-y,=0,y=x-1,B,D,
展开阅读全文

开通  VIP会员、SVIP会员  优惠大
下载10份以上建议开通VIP会员
下载20份以上建议开通SVIP会员


开通VIP      成为共赢上传

当前位置:首页 > 考试专区 > 研究生考试

移动网页_全站_页脚广告1

关于我们      便捷服务       自信AI       AI导航        抽奖活动

©2010-2026 宁波自信网络信息技术有限公司  版权所有

客服电话:0574-28810668  投诉电话:18658249818

gongan.png浙公网安备33021202000488号   

icp.png浙ICP备2021020529号-1  |  浙B2-20240490  

关注我们 :微信公众号    抖音    微博    LOFTER 

客服