收藏 分销(赏)

蒙特卡洛模拟.doc

上传人:仙人****88 文档编号:11314571 上传时间:2025-07-16 格式:DOC 页数:5 大小:86KB 下载积分:10 金币
下载 相关 举报
蒙特卡洛模拟.doc_第1页
第1页 / 共5页
蒙特卡洛模拟.doc_第2页
第2页 / 共5页


点击查看更多>>
资源描述
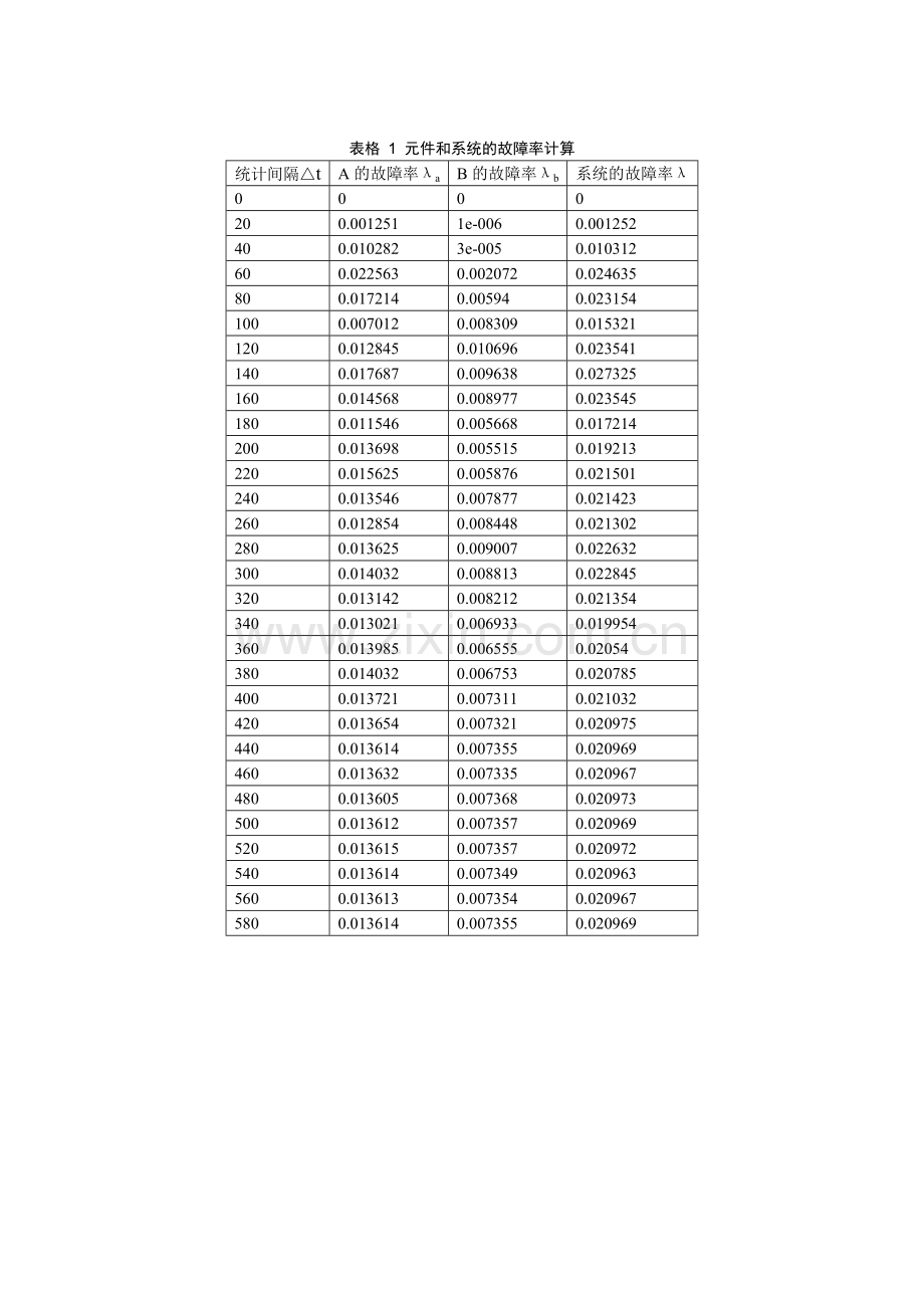
是一个论文里看到的,内容如下: 两元件A,B组成的串联系统,已知两元件A,B的寿命分布均为威布尔分布,则其概率密度函数和分布函数分别为: 式中,m为形状参数;η为尺度参数;δ为位置参数。 由上式可得威布尔分布的直接抽样方法如下: 假设元件A的参数γ=0小时,β=5,η=80小时;元件B的参数γ=0小时,β=4,η=150小时。则故障率的计算及曲线的绘制步骤为: (1)根据式(9)对元件进行抽样; (2)对系统进行50000次仿真; (3)统计寿命区间Δt=20小时时,每个区间的故障次数; (4)计算各个元件的故障率及系统的故障率,对于串联系统来说系统的故障率为各元件故障率的乘积; (5)绘制故障率曲线,如图2所示,其中A表示元件A的故障率,B表示元件B的故障率,S表示系统的故障率。 结果是这样的: 表格 1 元件和系统的故障率计算 统计间隔△t A的故障率λa B的故障率λb 系统的故障率λ 0 0 0 0 20 0.001251 1e-006 0.001252 40 0.010282 3e-005 0.010312 60 0.022563 0.002072 0.024635 80 0.017214 0.00594 0.023154 100 0.007012 0.008309 0.015321 120 0.012845 0.010696 0.023541 140 0.017687 0.009638 0.027325 160 0.014568 0.008977 0.023545 180 0.011546 0.005668 0.017214 200 0.013698 0.005515 0.019213 220 0.015625 0.005876 0.021501 240 0.013546 0.007877 0.021423 260 0.012854 0.008448 0.021302 280 0.013625 0.009007 0.022632 300 0.014032 0.008813 0.022845 320 0.013142 0.008212 0.021354 340 0.013021 0.006933 0.019954 360 0.013985 0.006555 0.02054 380 0.014032 0.006753 0.020785 400 0.013721 0.007311 0.021032 420 0.013654 0.007321 0.020975 440 0.013614 0.007355 0.020969 460 0.013632 0.007335 0.020967 480 0.013605 0.007368 0.020973 500 0.013612 0.007357 0.020969 520 0.013615 0.007357 0.020972 540 0.013614 0.007349 0.020963 560 0.013613 0.007354 0.020967 580 0.013614 0.007355 0.020969 主程序 function main() n=50000; %仿真次数 %产生均匀分布随机数 z1=rand(1,n); %元件A随机 m1=5;eta1=80;sgma1=0; lambda1=webull(z1,m1,eta1,sgma1,n); z2=rand(1,n); %元件B随机 m2=4;eta2=150;sgma2=0; figure lambda1=webull(z2,m2,eta2,sgma2,n); disp('系统的故障率') lambda=lambda1+lambda2; 调用的子程序 function lambda=webull(z,m,eta,sgma,n) E=eta*(-log(1-z)).^(1/m)+sgma;%转换成威布尔分布的随机数 y=zeros(1,30); for i=1:n for t=1:30 if (E(i)>20*t)&&(E(i)<=20*(t+1)) %对于每一个随机数判断在哪个微区间内,则该区间的故障数加1 y(t)=y(t)+1; end end end y=y/n; %故障次数除以抽样次数为故障率; t=1:30; plot(t,y,'.-') grid on xlabel('时间t(间隔为20小时)') ylabel('故障率') title('故障率曲线') legend('元件A','元件B','系统') grid off lambda=y;
展开阅读全文

开通  VIP会员、SVIP会员  优惠大
下载10份以上建议开通VIP会员
下载20份以上建议开通SVIP会员


开通VIP      成为共赢上传

当前位置:首页 > 包罗万象 > 大杂烩

移动网页_全站_页脚广告1

关于我们      便捷服务       自信AI       AI导航        抽奖活动

©2010-2026 宁波自信网络信息技术有限公司  版权所有

客服电话:0574-28810668  投诉电话:18658249818

gongan.png浙公网安备33021202000488号   

icp.png浙ICP备2021020529号-1  |  浙B2-20240490  

关注我们 :微信公众号    抖音    微博    LOFTER 

客服