收藏 分销(赏)

基金基础知识计算公式和考点.doc

上传人:w****g 文档编号:10921679 上传时间:2025-06-21 格式:DOC 页数:24 大小:312.24KB 下载积分:10 金币
下载 相关 举报
基金基础知识计算公式和考点.doc_第1页
第1页 / 共24页
基金基础知识计算公式和考点.doc_第2页
第2页 / 共24页


点击查看更多>>
资源描述
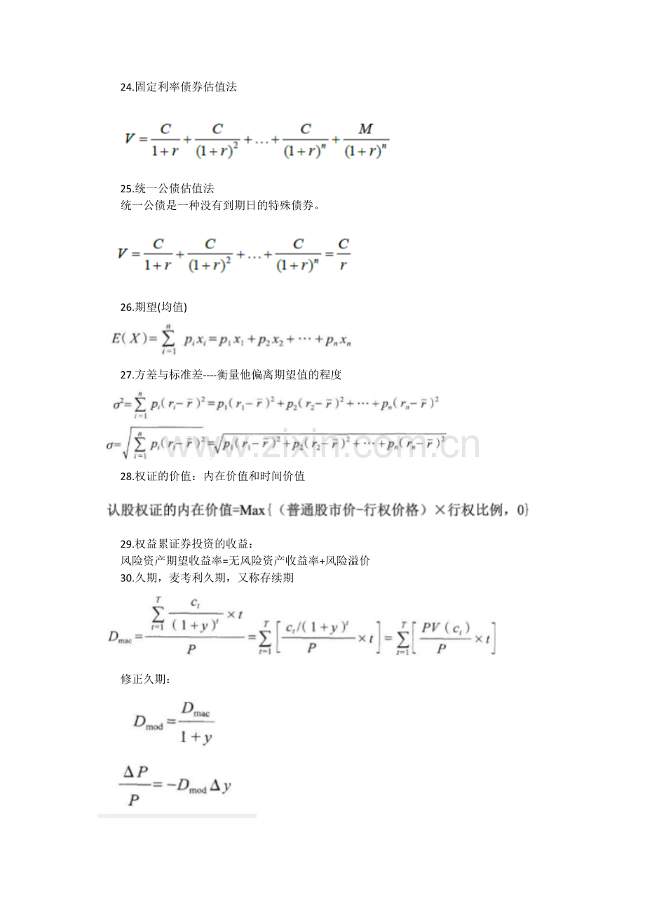
<p>1.资产=负债+所有者权益 收入-费用=利润   2.净现金流(NCF)公式:NCF=CFO+CFI+CFF   3.流动比率=流动资产÷流动负债   4.速动比率=(流动资产存货)÷流动负债   5.资产负债率=负债 ÷资产,资产负债率是使用频率最高的债务比率。   6.权益乘数(杠杆比率)=资产÷所有者权益=1 ÷(1-资产负债率)   负债权益比=负债÷所有者权益=资产负债率 ÷(1-资产负债率)   数值越大代表财务杠杆比率越高,负债越重。   7.利息倍数=EBIT÷利息,EBIT是息税前利润。   利息倍数衡量企业对于长期债务利息保障程度。资产负债率、权益乘数和负债权益比衡量的是对于长   期债务的本金保障程度。   8.存货周转率=年销售成本÷年均存货   存货周转天数=365天÷存货周转率   9.应收账款周转率=销售收入÷年均应收账款   应收账款周转天数=365天÷应收账款周转率   10.总资产周转率=年销售收入÷年均总资产   总资产周转率越大,说明企业的销售能力越强,资产利用效率越高。11.销售利润率=净利润÷销售收入   12.资产收益率=净利润÷总资产   13.净资产收益率(权益报酬率)=净利润÷所有者权益   14.FV=PV×(1+i)n, PV= FV ÷(1+i)n   FV表示终值,即在第n年年末的货币终值;n表示年限;i表示年利率;PV表示本金或现值。   15.ir=in-P   式中:in为名义利率;ir为实际利率;P为通货膨胀率。   16.I=PV×i×t   式中:I为利息;PV为本金;i为年利率;t为计息时间。   17.单利终值的计算公式为:FV=PV×(1+i×t)   18.单利现值的计算公式为:PV=FV÷(1+i×t)≈FV×(1-i×t)   19.贴现因子dt=1÷(1+St)t,其中st为即期利率。   20.市净率(P/B)=每股价格÷每股净资产 21.市现率(P/CF)=每股价格÷每股现金流   22.市销率(P/S)=每股价格÷每股销售收入   23.零息债券估值法   V表示贴现债券的内在价值;M表示面值;r表示市场利率;t表示债券到期时间。   由于多数零息债券期限小于一年,因此上述贴现公式应简单调整为:   24.固定利率债券估值法   25.统一公债估值法   统一公债是一种没有到期日的特殊债券。   26.期望(均值)   27.方差与标准差----衡量他偏离期望值的程度   28.权证的价值:内在价值和时间价值   29.权益累证券投资的收益:   风险资产期望收益率=无风险资产收益率+风险溢价   30.久期,麦考利久期,又称存续期   修正久期: 31.各类期权的损益状态:   32.夏普比率   特雷诺比率   詹森   信息比率   33.下行风险标准差   34. 认购费用和份额   净认购金额=认购金额/(1+认购费率)   认购费用=认购金额-净认购金额   认购份额=(净认购金额+认购利息)/基金份额面值   35.折(溢)价率   折(溢)价率=(二级市场价格–基金份额净值)/基金份额净值×100%   =(二级市场价格/基金份额净值–1)×100%   36.持股集中度的计算公式   37.基金股票换手率   38.绝对收益率   持有区间所获得的收益,通常有两部分组成:资产回报和收入回报。   39. 因送股,配股或派息而形成的剔除行为除权(息) &nbsp; &nbsp;   40.首期、到期资金结算额的计算   在质押式回购中:   首期资金结算额=正回购方融入资金数额   在买断式回购中:   首期资金结算额=(首期交易净价+首期结算日应计利息)×回购债券数量/100   在质押式回购中:   到期资金结算额=首期资金结算额×(1+回购利率×实际占款天数/365)   在买断式回购中:   到期资金结算额=(到期交易净价+到期结算日应计利息)×回购债券数量/100 31.各类期权的损益状态:   32.夏普比率   特雷诺比率   詹森   信息比率   33.下行风险标准差   34. 认购费用和份额   净认购金额=认购金额/(1+认购费率)   认购费用=认购金额-净认购金额   认购份额=(净认购金额+认购利息)/基金份额面值   35.折(溢)价率   折(溢)价率=(二级市场价格–基金份额净值)/基金份额净值×100%   =(二级市场价格/基金份额净值–1)×100%   36.持股集中度的计算公式   37.基金股票换手率   38.绝对收益率   持有区间所获得的收益,通常有两部分组成:资产回报和收入回报。   39. 因送股,配股或派息而形成的剔除行为除权(息) &nbsp; &nbsp;   40.首期、到期资金结算额的计算   在质押式回购中:   首期资金结算额=正回购方融入资金数额   在买断式回购中:   首期资金结算额=(首期交易净价+首期结算日应计利息)×回购债券数量/100   在质押式回购中:   到期资金结算额=首期资金结算额×(1+回购利率×实际占款天数/365)   在买断式回购中:   到期资金结算额=(到期交易净价+到期结算日应计利息)×回购债券数量/100 A根据若干个总账科目的期末余额分析计算填列   1))货币资金=库存现金+银行存款+其他货币资金   2))存货=在途物资(材料采购)+原材料+库存商品+生产成本+制造费用+周转材料+委托加工物资+材料成本差异+发出商品-存货跌价准备   3))未分配利润=本年利润+利润分配   B根据有关总账所属的明细账的期末余额分析计算填列   应收账款与预收账款;应付账款与预付账款在填制报表时的填列方法。   填写应收账款:应收账款+预收账款,取借方合计-坏账准备   填写预收账款:预收账款+应收账款,取贷方合计   填写应付账款:应付账款+预付账款,取贷方合计   填写预付账款:预付账款+应付账款,取借方合计   C根据有关总账及其明细账的期末余额分析填列;   1))长期借款=长期借款-将于1年内(含1年)到期的长期借款   2))应付债券=应付债券-将于1年内(含1年)到期的应付债券   3))长期应收款、长期待摊费用、长期应付款等   D根据有关资产类账户与其备抵账户抵消后的净额填列   1))应收账款=应收账款-坏账准备   2))其他应收款=其他应收款-坏账准备   3))应收票据=应收票据-坏账准备   4))存货=存货-存货跌价准备   5))固定资产=固定资产-累计折旧-固定资产减值准备   6))无形资产=无形资产-累计摊销-无形资产减值准备   7))长期股权投资=长期股权投资-长期股权投资减值准备   8))持有至到期投资=持有至到期投资-持有至到期投资减值准备   9))在建工程=在建工程-在建工程减值准备(在建工程包括待安装设备价值、工程用材料、工程用人员工资费用之和)   利润表必背公式   1、营业收入=主营业务收入+其他业务收入   2、营业成本=主营业务成本+其他业务成本   3、营业利润=营业收入-营业成本-营业税金及附加-销售费用-管理费用-财务费用-资产减值损失+公允价值变动收益+投资收益   4、利润总额=营业利润+营业外收入-营业外支出   5、净利润=利润总额-所得税费用 2016年基金从业资格考试真题考点汇总(证券投资基金基础) 1、流动性比率是用来衡量企业的短期偿债能力的比率,旨在分析短期内企业在不致使财务状况恶化的前提下,利用手中持有的流动资产偿还短期负债的能力大小。因此,流动性比率重点关注的是企业的流动资产和流动负债。包括(1.流动比率2.速动比率)   2、财务杠杆比率与流动性比率一样,财务杠杆比率同样是分析企业偿债能力的风险指标。不同的是,财务杠杆比率衡量的是企业长期偿债能力。由于企业的长期负债与企业的资本结构即使用的财务杠杆有关,所以称为财务杠杆比率。包括(1.资产负债率,2.权益乘数和负债权益比)   3、经纪人是为买卖双方介绍交易以获取佣金的中间商人。在某些特定商品的交易中,如大宗股票或债券、房地产等,由于商品具有特殊性或只在少数投资者之间交易,经纪人市场便出现了。经纪人可以根据自己客户的指令来寻找相应的交易者,也可以依靠自身的信息资源来寻觅买家和卖家,以此促成交易,赚取佣金。   4、普通股与优先股的区别:(1)优先股的股东以不享受表决权换取对公司盈利和剩余财产的优先分配权。(2)普通股股东有表决权,但是本息得不到保障。(3)公司破产清算时,债券持有者优于优先股股东,优先股股东优于普通股股东。   5、报价驱动(quotedriven)中,最为重要的角色就是做市商,因此报价驱动市场也被称为做市商制度。做市商通常由具备一定实力和信誉的证券投资法人承担,本身拥有大量可交易证券,买卖双方均直接与做市商交易,而买卖价格则由做市商报出。与股票不同的是,几乎所有的债券和外汇都是通过做市商交易的。   6、基金业绩评价需考虑的因素:(1)投资目标与范围;(2)基金风险水平;(3)基金规模;(4)时期选择。   7、期货与现货完全不同,现货是实实在在可以交易的货(商品),期货主要不是货,而是以某种大众产品如棉花、大豆、石油等及金融资产如股票、债券等为标的标准化可交易合约。因此,这个标的物可以是某种商品(例如黄金、原油、农产品),也可以是金融工具。   8、远期合约是相对简单的一种金融衍生工具。合约双方约定在未来某一时刻按约定的价格买卖约定数量的金融资产。   9、有效投资组合:在马可维茨的投资组合理论中,一个重要的概念是有效前沿。有效前沿是由全部有效投资组合构成的集合。如果一个投资组合在所有风险相同的投资组合中具有最高的预期收益率,或者在所有预期收益率相同的投资组合中具有最小的风险,那么这个投资组合就是有效的。换句话说,如果一个投资组合是有效的,那么投资者就无法找到另一个预期收益率更高且风险更低的投资组合。有效前沿中有无数预期收益率和风险各不相同的投资组合。有效投资组合A相对于有效投资组合B如果在预期收益率方面有优势,那么在风险方面就一定有劣势。   10、管理费按净资产前一日资产净值计提,逐日计提,逐月返还。   11、按偿还期限分类,债券可分为短期债券、中期债券和长期债券。但对具体年限的划分,不同的国家又有不同的标准。短期债券,一般而言,其偿还期在1年以下。例如,美国的短期国债的期限通常为3个月或6个月。中期债券的偿还期一般为1~10年,而长期债券的偿还期一般为10年以上。   12、基金的财务报表由基金管理人编制,托管人对外提供。   13、证券市场线(securitiesmarketline,SML)是以资本市场线为基础发展起来的。资本市场线给出了所有有效投资组合风险与预期收益率之间的关系,但没有指出每一个风险资产的风险与收益之间的关系。而证券市场线则给出每一个风险资产风险与预期收益率之间的关系。也就是说证券市场线为每一个风险资产进行定价,它是CAPM的核心。   14、另类投资包括:私募股权、不动产、大宗商品、艺术品。   15、最大回撤这个指标是要将损失控制在相对于其投资期间最大财富的一个固定比例。根据CFA协会的定义,最大回撤是从资产最高价格到接下来最低价格的损失。投资的期限越长,这个指标就越不利,因此在不同的基金之间使用该指标的时候,应尽量控制在同一个评估期间。   16、跨境资本流动涉及证监会审批。   17、贝塔系数是股票基金的净值增长率和市场指数增长率的相关系数;反应了基金净值变动对市场指数变动的敏感程度;贝塔系数和收益水平正相关,大小范围是-1到1。   18、名义利率—实际利率=通货膨胀率   19、证券的回转交易是指投资者买入的证券,经确认成交后,在交收完成前全部或部分卖出。(LOF基金可做回转交易)。   20、另类投资的优点:1、提高收益;2、分散风险21、风险价值(valueatrisk,VaR),又称在险价值、风险收益、风险报酬,是指在一定的持有期和给定的置信水平下,利率、汇率等市场风险要素发生变化时可能对某项资金头寸、资产组合或投资机构造成的潜在最大损失。   22、债券市场是债券发行和买卖交易的场所,将需要资金的政府机构或公司与资金盈余的投资者联系起来。债券承销商负责债券的发行与承销,他们在债券发行人和债券投资人之间起到金融中介作用。   23、内在价值法又称绝对价值法或收益贴现模型,是按照未来现金流的贴现对公司的内在价值进行评估。具体又分为股利贴现模型(DDM)、自由现金流量贴现模型(DCF)、超额收益贴现模型等。   24、我国债券市场形成了银行间债券市场、交易所市场和商业银行柜台市场三个基本子市场为主的统一分层的市场体系。   25、流动性比率是用来衡量企业的短期偿债能力的比率,旨在分析短期内企业在不致使财务状况恶化的前提下,利用手中持有的流动资产偿还短期负债的能力大小。因此,流动性比率重点关注的是企业的流动资产和流动负债。流动比率大于1,意味着企业可以运用流动资产的变现来足额偿付其短期债务,这是企业的短期债权人所希望看到的。对于短期债权人来说,流动比率越高越好,因为越高意味着他们收回债款的风险越低;但对于企业来说并不是这样。因为流动资产的收益率较低,这部分资产比重过大势必影响到企业的经营获利或者投资盈利状况。   26、基金相关当事人是指除基金份额持有人以外的参与投资基金活动的其他当事人,包括基金管理人、基金托管人、基金销售机构、为基金出具审计报告的会计师事务所、为基金出具法律意见书的律师事务所以及为基金提供资产评估或者验证服务的其他中介机构等。   27、短期政府债券主要有三个特点:(1)违约风险小,由国家信用和财政收入作保证,在经济衰退阶段尤其受投资者喜爱;(2)流动性强,交易成本和价格风险极低,十分容易变现;(3)利息免税,根据我国相关法律规定,国库券的利息收益免征所得税。   28、银行间债券市场的交易品种:债券、回购、远期交易。   29、资产收益率=净利润/总资产净资产收益率=净利润/所有者权益资产负债率=负债/资产销售利润率=净利润/销售收入总资产周转率=年销售收入/年均总资产   30、全球投资业绩标准(GIPS)要求不同期间收益率必须以几何平均方式相连接。   31、上交所规定的融券担保比例的下限为130%。   32、目前我国货币市场基金能够进行投资的金融工具主要包括:(1)现金;(2)1年以内(含1年)的银行定期存款、大额存单;(3)剩余期限在397天以内(含397天)的债券;(4)期限在1年以内(含1年)的债券回购;(5)期限在1年以内(含1年)的中央银行票据;(6)剩余期限在397天以内(含 397天)的资产支持证券。   33、备兑权证是由投资银行发行的,行权时备兑权证持有者认兑的是市场上已流通的股票而非增发的,上市公司股本不变。   34、即期利率(spotrate)是金融市场中的基本利率,常用St表示,是指已设定到期日的零息票债券的到期收益率,它表示的是从现在(t=0)到时间f的收益。利率和本金都是在时间t支付的。远期利率(forwardrate)指的是资金的远期价格,它是指隐含在给定的即期利率中从未来的某一时点到另一时点的利率水平。具体表示为未来两个日期间借入货币的利率,也可以表示投资者在未来特定日期购买的零息票债券的到期收益率。   35、基金利润是基金资产在运作过程中所产生的各种利润。基金利润来源主要包括利息收入、投资收益以及其他收入。基金资产估值引起的资产价值变动作为公允价值变动损益计入当期损益。   36、为保证多边净额清算结果的法律效力,一般需要引入共同对手方的制度安排。共同对手方(centralcounterparty,CCP)是指在结算过程中,同时作为所有买方和卖方的交收对手并保证交收顺利完成的主体,一般由结算机构充当。   37、战略资产配置(strategicassetallocation,SAA)是为了满足投资者风险与收益目标所做的长期资产的配比;是根据投资者的风险承受能力,对资产做出一种事前的、整体性的、最能满足投资者需求的规划和安排;是反映投资者的长期投资目标和政策,确定各主要大类资产的投资比例,建立最佳长期资产组合结构。战术资产配置(tacticalassetallocation,TAA)就是在遵守战略资产配置确定的大类资产比例基础上,根据短期内各特定资产类别的表现,对投资组合中各特定资产类别的权重配置进行调整。   38、做市商制度是指在债券市场上,由具有一定实力和信誉的市场参与者作为特许交易商,不断向投资者报出某些特定债券的买卖价格,双向报价并在该价位上接受投资者的买卖要求,以其自有资金和债券与投资者进行交易的制度。   39、股票之所以有价值,是因为它有潜在的现金流,即股票持有人预计从所拥有的公司获得股利。   40、封闭式基金的利润分配每年不得少于一次;封闭式基金年度收益分配比例不得低于基金年度可供分配利润的90%。基金收益分配后基金份额净值不得低于面值。封闭式基金只能采用现金分红。 41、认股权证的价值等于其内在价值与时间价值之和认股权证的内在价值是指权证持有者执行权证时可以获得的收益,它等于认购差价乘以行权比例,用公式表示为:认股权证的内在价值=Max{(普通股市价-行权价格)×行权比例,0}(7-1)当标的资产的市场价格低于行权价格时,认股权证持有者不会执行权证,因此权证的内在价值等于0。认股权证的时间价值是指在权证有效期内标的资产价格波动为权证持有者带来收益的可能性隐含的价值。   42、当投资组合的资产数量不断增加时,该投资组合所包含的非系统风险被分散,变得越来越小,但其系统风险无法被分散,会大致保持稳定。因此当其资产数量变得很大时,投资组合的总风险趋近于其系统性风险。   43、因送股或配股而形成的剔除行为成为除权,因派息而引起的剔除行为称为除息。   44、影响债券到期收益率的因素:息票利率、利息收入的在投资收益、债券到期货被提前赎回或卖出时的资本利得。   45、资产收益相关性:如果两种资产的收益受到某些因素的共同影响,那么它们的波动会存在一定的联系。由于存在一系列同时影响多个资产收益的因素,大多数资产的收益之间都会存在一定的相关性。   46、为提高交易效率和有效控制基金管理中交易执行的风险,基金采取集中交易制度,即基金的投资决策与交易执行职能分别由基金经理与基金交易部门承担。   47、私募基金中的合伙人由有限合伙人和普通合伙人。   48、债券的估值方法:零息债券估值法、固定利率债券估值法、统一公债估值法。   49、基金净值公告的第一责任主体是基金管理人。   50、关注投资组合的风险调整后收益,可以采用夏普(Sharp)比率、特雷诺(Treynor)比率和詹森(Jensen)比率等指标衡量。   51、基金会计报表包括资产负债表、利润表和净值变动表等报表。基金会计报表附注包括重要会计政策和会计估计,会计政策和会计估计变更以及差错更正的说明,报表重要项目的说明和关联方关系及其交易等内容。   52、参数法。参数法又称为方差一协方差法,该方法以投资组合中的金融工具是基本风因子的现行组合,且风险因子收益率服从某特定类型的概率分布为假设,依据历史数据计算出风险因子收益率分布的参数值,例如方差、均值和风险因子间的相关系数等。   53、历史模拟法。历史模拟法假设市场未来的变化方向与市场的历史发展状况大致相同,该种方法依据风险因子收益的近期历史数据的估算,模拟出未来的风险因子收益变化。利用历史模拟法可以根据历史样本分布求出风险价值,组合收益的数据可利用组合中投资工具收益的历史数据求得。由于历史模拟法是以发生过的数据为依据的,投资者容易接受该种方法对未来的预测。历史模拟法十分简单,因为该种方法无须在事先确定风险因子收益或概率分布,只需利用历史数据对未来方向进行估算,然而也正是因为风险因子收益的历史数据是VaR值的来源,历史模拟法也有其局限性,即VaR所选用的历史样本期间非常重要。选用的历史区间应尽量与所测算区间大致相同,而且时间上越相近的区间越会有相似的发展方向,因此要选用最近的历史数据作为数据来源。   54、蒙特卡洛模拟法。蒙特卡洛模拟法在估算之前,需要有风险因子的概率分布模型,继而重复模拟风险因子变动的过程。蒙特卡洛模拟每次都可以得到组合在期末可能出现的值,在进行足够数量的模拟之后,组合价值的模拟分布将会收敛于组合的真实分布,继而求出最后的组合VaR值。蒙特卡洛模拟法虽然计算量较大,但这种方法被认为是最精准贴近的计算VaR值方法。   55、利润表反映了一定时期的整体经营成果,解释企业财务状况发生变动的直接原因。   56、α投资策略是寻找价值被低估的资产。   57、流动资产一般包括:现金、银行存款、其他货币资金、交易性金融资产、应收票据、应收账款、预付账款、应收利息、应收股利其他应收款、一年内到期的非流动资产(就是固定资产使用期限不够1年的)、其他流动资产。   58、非流动资产一般包括:可供出售金融资产、持有至到期投资、长期应收款、长期股权投资、投资性房地产、固定资产、在建工程、累计折旧、工程物资、固定资产清理、无形资产、开发支出、商誉、长期待摊费用、递延所得税资产、其他非流动资产。   59、系统风险是市场风险,是有整个政治、经济、社会等环境因素对证券价格所造成的影响。   60、最能反映系统风险的指数是上证指数。  61、基金绩效评价就是在剔除了市场一般收益率水平、基金的市场风险和盈利偶然性的前提下,对基金经理人投资才能的公正客观的评价。   62、另类投资的局限性:1、缺乏监管和信息透明度;2、流动性较差,杠杆率偏高。   63、基金业绩评价的意义:只有通过完备的投资业绩评估,投资者才可以有足够的信息来了解自己的投资状况。   64、基金管理公司投资决策的一般程序是:研究发展部剔除研究报告-投资决策委员会决定基金的总体投资计划-基金投资部制定投资组合的具体方案-风险控制委员会提出风险控制建议。   65、资本市场(CML)线实际上指出了有效投资组合风险与预期收益率之间的关系,提供了衡量有效投资组合风险的方法。有效投资组合即是分布于资本市场线上的点,代表了有效前沿。特别是它指出了以标准差来表示的有效投资组合的风险与回报率之间是一种线性关系,以标准差来度量风险是更为合适的。对于每一个有效投资组合而言,给定其风险的大小,便可根据资本市场线知道其预期收益率的大小。   66、下行风险是一个受到广泛关注的风险衡量指标。下行风险是指由于市场环境变化,未来价格走势有可能低于基金经理或投资者所预期的目标价位。下行风险是投资可能出现的最坏的情况,也是投资者可能需要承担的损失。   67、晨星风险调整后收益:晨星公司根据每只基金在计算期间月度回报率的波动程度尤其是下行波动的情况,以“风险惩罚”的方式对该基金的回报率进行调整;波动越大,调整越多。如果有两只基金回报率相近,晨星公司对其中回报波动较大者给予更多的“风险惩罚”。通过上述方法,体现基金各月度业绩表现的波动变化,并更加注重反映基金资产的下行波动风险,从而奖励业绩持续稳定者,并减少由于基金短期业绩突出而掩盖内在风险的可能性。该方法产生的结果与建立在均值方差基础上的夏普比率所得出的排名类似但并不完全相同。   68、债券应计利息和到期收益率的计算遵循《中国人民银行关于完善全国银行间债券市场债券到期收益率计算标准有关事项的通知》。   69、为降低投资组合风险,人们更愿意选择与现有资产在收益上呈现反向关系的资产。   70、两种资产的相关系数越小,越有力降低组合风险,当卖空受限时,组合收益可超出两种资产的收益率。   71、投资者在基本面分析中要研究分析哪些项目和内容:公司财务报表的分析、公司所在行业的分析、公司产品和市场的分析、公司文化和管理层素质的分析、公司的实地考察。   72、可转换债券简称可转债,是指在一段时期内,持有者有权按照约定的转换价格或转换比率将其转换成普通股股票的公司债券。   73、与普通债券相比,可转换债券的价值包含两部分:纯粹债券价值和转换权利价值。   74、债券的信用风险又叫违约风险,是指债券发行人未按照契约的规定支付债券的本金和利息,给债券投资者带来损失的可能性。   75、金融期货主要包括货币期货、利率期货、股票指数期货和股票期货四种。   76、操作风险是来源于人力、系统、流程出错,以及其他不可控但会影响公司运营的风险,例如认为失误、内部欺诈、系统失灵和合同纠纷等。   77、投资风险来源于投资价值的波动。投资风险的主要因素包括:市场价格(市场风险),在规定时间和价格范围内买卖证券的难度(流动性风险),借款方还债的能力和意愿(信用风险)。   78、所有的公司都面临如何在竞争和变化市场环境下不能正常运转并取得利润的风险,这是商业风险。   79、特雷诺比率由美国经济学家“杰克。特雷诺”(JackTreynor)发明的测算投资回报的指标。用于在系统风险基础之上对投资的收益风险进行调整。该指标反映基金承担单位系统风险所获得的超额收益。指数值越大,承担单位系统风险所获得的超额收益越高。   80、跟踪误差是证券组合相对基准组合的跟踪偏离度的标准差。 81、跟踪误差产生的原因:复制误差、现金留存、各项费用、其他影响。   82、个人投资者以自然人身份从事股票买卖的投资者。   83、个人投资者买卖基金份额获得的差价收入,在对个人买卖股票的差价收入未恢复征收个人所得税以前,暂不征收个人所得税。   84、股票价值与相关资产的现金流水平和预期增长直接相关,从而投资者可以通过分析公司价值的基本面——公司股利和利润——制定投资评估值决策。股票之所以有价值,是因为它有潜在的现金流,即股票持有人预计从所拥有的公司获得股利。   85、债券有无保证是影响债券信用等级的重要因素,因此可分为有保证债券(securedbond)和无保证债券(unsecuredbond),后者也称为信用债券(debenture)。有保证的债券意味着投资者对相关资产及其产生的现金流有直接受偿权;无保证债券只是对债务人的资产有普遍的受偿权,在破产清偿时在有保证债券之后获得清偿。   86、香港职业投资人可通过沪港通来内地进行资产配置。   87、证券交易的显性成本包括佣金、印花税、过户费等。   88、证券交易的隐形成本:由于经济周期、市场破洞等因素,基金管理人需要定期或不定期地对现有投资组合进行调整。在交易的过程中会产生多种交易成本。如买卖价差、市场冲击、对冲费用、机会成本等,往往容易被忽视。   89、夏普比率是用某一时期内投资组合平均超额收益除以这个时期收益的标准差。   90、詹森α是基金组合收益中超过CAPM模型预测值的那一部分超额收益。   91、信息比率是单位跟踪误差所对应的超额收益。   92、券商结算模式也称为第三方存管模式,是指托管资产场内交易形成的交收资金由证券公司(即经纪人)作为结算参与人与中国结算公司进行交收,然后由证券公司负责与其客户进行二级清算,客户的交易资金完全独立保管于存管银行,而不存放在证券公司。   93、提前赎回风险(prepaymentrisk)又称为回购风险(callrisk),是指债券发行者在债券到期日前赎回有提前赎回条款的债券所带来的风险。债券发行人通常在市场利率下降时执行提前赎回条款。因此投资者只好将收益和本金再投资于其他利率更低的债券,导致再投资风险。可赎回债券和大多数的住房贷款抵押支持证券允许债券发行人在到期日前赎回债券,此类债券面临提前赎回风险。   94、赎回条款是指发行企业有权在约定的条件触发时按照事先约定的价格赎回所发行的可转债的规定。一般在公司股票价格升至超过转换价格一定倍数时,公司为避免股本被过度稀释,以及支付可转换债券持有者过多的盈利而行使赎回权利。   95、投资债券的风险:信用风险、利率风险、通胀风险、流动性风险、再投资风险、提前赎回风险。   96、货币工具一般指短期的(1年之内)、具有高流动性的低风险证券,具体包括银行回购协议、定期存款、商业票据、银行承兑汇票、短期国债、中央银行票据等。   97、货币市场工具有一下特点:1、均是债务契约;2、期限在1年以内(含1年);3、流动性高;4、大宗交易,主要由机构投资者参与,个人投资者很少有机会参与买卖;5、本会安伞性高,风险较低。   98、主动投资的业绩主要取决于投资者使用信息的能力和投资者所掌握的投资机会的个数,即信息深度和信息广度。   99、主动投资者常常采用基本面分析和基数分析方法。   100、在金融市场上,风险与收益常常是相伴而生的。高风险意味着高预期收益,而低风险意味着低预期收益。 2016年基金从业资格考试基础知识考点精选 1.什么是混合型基金?   混合型基金是同时投资于股票和债券,但投资比例又不符合股票基金或债券基金定义的基金品种。因此,混合型基金与股票型基金和债券型基金相比,仓位变化更加灵活。   一般来说,混合基金中股票和债券的投资比例会随着市场行情和基金经理对市场看法的变化而发生改变。   因此,一些优秀的混合型基金能够在牛市中取得与股票型基金相当的收益,而在熊市中又能够通过大幅降低仓位而表现得比股票型基金更加抗跌。   2.什么是 QDII 基金?   QDII 基金是指在一国境内设立,经该国有关部门批准从事境外证券市场的股票、债券等有价证券投资的基金。由于境外证券市场和国内证券市场常常在走势上存在较大的差异,因而配置一定比例的 QDII 基金可以分散风险,在一定程度上规避单一市场的系统性风险。   值得提醒投资者的是,QDII 基金的申购、赎回时间通常较长(赎回款支付一般需一个星期以上),对投资者的资金流动性提出了一定要求。   3.什么是货币市场基金?   货币市场基金仅投资于货币市场工具,主要包括短期(一年以内)的货币工具如国债、商业票据、银行定期存单、金融债、政府短期债券、企业债券等短期有价证券,具有良好的流动性。   货币基金单位净值一般始终保持在 1 元,超过 1 元的收益会自动转化为基金份额,拥有多少基金份额即拥有多少资产。另外,货币基金的交易费用低廉,无需申赎费用。   货币市场基金是厌恶风险、对资产流动性和安全性要求较高的投资者进行短期投资的理想工具,或是暂时存放现金的理想场所,但其长期收益率并不具备明显优势。   4.什么是发起式基金?   发起式基金指符合证监会规定,由基金管理人、基金管理人股东、基金管理人高级管理人员或基金经理承诺认购一定金额并持有一定期限的证券投资基金。   发起式基金降低了募集成立的门槛,同时强化了基金退出机制,根据有关法规,发起式基金中基金管理人、管理人股东、基金管理人高管或基金经理认购基金的金额不少于一千万元人民币,且持有期限不少于三年。   基金合同生效三年后,若基金资产规模低于 2 亿元的,基金合同自动终止并不得通过召开持有人大会的方式延续。   将基金投资者的利益与基金公司利益进行一定的捆绑是发起式基金最大的特点,在一定程度上起到督促基金管理人更加积极努力为投资者创造收益的效果。   5.什么是 ETF?   交易所开放式指数基金(ETF)又被称为交易所交易基金,是在交易所上市交易的、基金份额可变的一种开放式基金。ETF 一般采用被动式投资策略跟踪某一标的市场指数,因此具有指数基金的特点。   ETF 结合了封闭式基金与开放式基金的运作特点;投资者既可以像封闭式基金那样在交易所二级市场买卖,又可以像开放式基金那样申购、赎回。不同的是,它的申购是用一篮子股票换取 ETF 份额,赎回时则是换回一篮子股票而不是现金。   这种交易制度使该类基金存在一级和二级市场之间的套利机制,可有效防止类似封闭式基金的大幅折价。此外,ETF 还具有交易费用低廉、投资组合透明、实时交易的特点。   2013 年,ETF 成为公募基金的主要创新领域之一,黄金 ETF、债券 ETF 和跨境 ETF 相继获批。   其中,黄金 ETF 是指将绝大部分基金财产投资于上海黄金交易所挂盘交易的黄金品种,紧密跟踪黄金价格,使用黄金品种组合或基金合同约定的方式进行申购赎回,并在证券交易所上市交易的开放式基金。   债券 ETF 与股票 ETF 类似,采用被动投资方式,对某个债券指数进行紧密跟踪,并可在交易所上市交易。跨境 ETF 是指依法募集的,投资特定跨境指数所对应组合证券的开放式基金。   6.什么是联接基金?   联接基金是指将大部分基金资产(通常在 90%以上)投资于跟踪同一标的指数的 ETF,密切跟踪标的指数表现,追求跟踪误差最小化的开放式基金。投资者可以通过一级市场申购联接基金,增加了普通投资者投资 ETF 的渠道。   7.什么是 LOF 基金?   LOF 基金,也称为“上市型开放式基金”。投资者既可以通过一级市场开放式基金账户申购与赎回基金份额,也可以在二级市场交易所买卖基金。   不过,投资者如果是通过一级市场开放式基金账户申购的基金份额,想要在二级市场交易所抛出,则须办理转托管手续;同样,如果是在交易所买进的基金份额,想要在一级市场赎回,也要办理转托管手续。   8.什么是保本基金?   保本基金是指通过一定的保本投资策略进行运作,同时引入保本保障机制,以保证基金份额持有人在保本周期到期时,可以获得投资本金保证的基金。   保本基金在相关法律文件(如招募说明书、基金合同)中明确规定相关本金担保条款,投资者在满足一定的持有期限(通常为 3 年)后可以获得本金保证(通常是指扣除一定交易费用后的本金)。   值得投资者注意的是,如果未到保本期赎回基金,需要承担不保本的风险和较高的赎回费用。   9.什么是短期理财债券基金?   短期理财债券型基金是指定位于短期理财投资需求,期限在 1 年以内,滚动运作,采用摊余成本法定价的债券型基金。   相比其他类型基金,由于短期理财债券基金多采用持有到期投资组合策略,在风险控制和管理成本上更低。因此,其费率通常也较普通债券基金、货币基金更低。   10.什么是分级基金?   分级基金又叫结构型基金,是通过事先约定基金的风险收益分配,将基金基础份额分为预期风险收益不同的子份额,并可将其中部分或全部类别份额上市交易的结构化证券投资基金。   其中,分级基金的基础份额称为母基金份额,预期风险和收益较低的子份额称为 A 类份额,此类份额一般约定年收益率与定存利率挂钩,具有低风险的特征;   预期风险、收益较高的子份额称为 B 类份额,此类份额适合投资理念成熟、风险承受力较高的投资者。   需要注意的是,对于分级基金中上市交易的份额,由于受二级市场供需的影响会出现折溢价情况,如股票型分级基金的 B 份额在市场预期后市上涨时会受到追捧,其溢价率会上升;对于有份额折算机制的分级基金,在折算日前后折溢价水平也可能发生较大变化。  11.什么是定期折算?   定期折算是指根据基金合同中约定的频率,对某一类或几类份额净值进行重新调整的行为。分级基金可以约定份额折算,一般来说是将预期风险、收益较低的子份额期末的约定应得收益(即该子份额参考份额净值超出 1 元部分), 折算为母基金份额分配给该子份额持有人。   由于每份母基金由两类子份额按固定比例构成,因此,当预期风险、收益</p>
展开阅读全文

开通  VIP会员、SVIP会员  优惠大
下载10份以上建议开通VIP会员
下载20份以上建议开通SVIP会员


开通VIP      成为共赢上传

当前位置:首页 > 考试专区 > 银行/金融从业资格考试

移动网页_全站_页脚广告1

关于我们      便捷服务       自信AI       AI导航        抽奖活动

©2010-2026 宁波自信网络信息技术有限公司  版权所有

客服电话:0574-28810668  投诉电话:18658249818

gongan.png浙公网安备33021202000488号   

icp.png浙ICP备2021020529号-1  |  浙B2-20240490  

关注我们 :微信公众号    抖音    微博    LOFTER 

客服